• 文献检索
  • 文档翻译
  • 深度研究
  • 学术资讯
  • Suppr Zotero 插件Zotero 插件
  • 邀请有礼
  • 套餐&价格
  • 历史记录
应用&插件
Suppr Zotero 插件Zotero 插件浏览器插件Mac 客户端Windows 客户端微信小程序
定价
高级版会员购买积分包购买API积分包
服务
文献检索文档翻译深度研究API 文档MCP 服务
关于我们
关于 Suppr公司介绍联系我们用户协议隐私条款
关注我们

Suppr 超能文献

核心技术专利:CN118964589B侵权必究
粤ICP备2023148730 号-1Suppr @ 2026

文献检索

告别复杂PubMed语法,用中文像聊天一样搜索,搜遍4000万医学文献。AI智能推荐,让科研检索更轻松。

立即免费搜索

文件翻译

保留排版,准确专业,支持PDF/Word/PPT等文件格式,支持 12+语言互译。

免费翻译文档

深度研究

AI帮你快速写综述,25分钟生成高质量综述,智能提取关键信息,辅助科研写作。

立即免费体验

倾斜几何结构中的光吸收作为层状铜酸盐中纵向等离子体波的间接测量方法

Optical Absorption in Tilted Geometries as an Indirect Measurement of Longitudinal Plasma Waves in Layered Cuprates.

作者信息

Sellati Niccolò, Fiore Jacopo, Castellani Claudio, Benfatto Lara

机构信息

Department of Physics and ISC-CNR, "Sapienza" University of Rome, P.le Aldo Moro 5, 00185 Rome, Italy.

出版信息

Nanomaterials (Basel). 2024 Jun 13;14(12):1021. doi: 10.3390/nano14121021.

DOI:10.3390/nano14121021
PMID:38921897
原文链接:https://pmc.ncbi.nlm.nih.gov/articles/PMC11206324/
Abstract

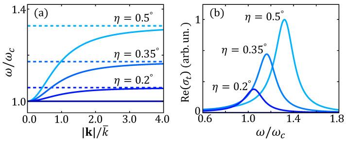
Electromagnetic waves propagating in a layered superconductor with arbitrary momentum, with respect to the main crystallographic directions, exhibit an unavoidable mixing between longitudinal and transverse degrees of freedom. Here we show that this basic physical mechanism explains the emergence of a well-defined absorption peak in the in-plane optical conductivity when light propagates at small tilting angles relative to the stacking direction in layered cuprates. More specifically, we show that this peak, often interpreted as a spurious leakage of the -axis Josephson plasmon, is instead a signature of the true longitudinal plasma mode occurring at larger momenta. By combining a classical approach based on Maxwell's equations with a full quantum derivation of the plasma modes based on modeling the superconducting phase degrees of freedom, we provide an analytical expression for the absorption peak as a function of the tilting angle and light polarization. We suggest that an all-optical measurement in tilted geometry can be used as an alternative way to access plasma-wave dispersion, usually measured by means of large-momenta scattering techniques like resonant inelastic X-ray scattering (RIXS) or electron energy loss spectroscopy (EELS).

摘要

在具有任意动量的层状超导体中传播的电磁波,相对于主要晶体学方向,会在纵向和横向自由度之间表现出不可避免的混合。在此我们表明,这种基本物理机制解释了当光在层状铜酸盐中相对于堆叠方向以小倾斜角传播时,面内光导率中明确吸收峰的出现。更具体地说,我们表明这个通常被解释为 c 轴约瑟夫森等离子体激元的虚假泄漏的峰,实际上是在更大动量下出现的真实纵向等离子体模式的特征。通过将基于麦克斯韦方程组的经典方法与基于对超导相位自由度建模的等离子体模式的完全量子推导相结合,我们给出了作为倾斜角和光偏振函数的吸收峰的解析表达式。我们建议在倾斜几何结构中的全光测量可以用作获取等离子体波色散的替代方法,等离子体波色散通常通过诸如共振非弹性 X 射线散射(RIXS)或电子能量损失谱(EELS)等大动量散射技术来测量。

https://cdn.ncbi.nlm.nih.gov/pmc/blobs/52a7/11206324/d81a2206d270/nanomaterials-14-01021-g003.jpg
https://cdn.ncbi.nlm.nih.gov/pmc/blobs/52a7/11206324/e18566d8baf4/nanomaterials-14-01021-g0A1.jpg
https://cdn.ncbi.nlm.nih.gov/pmc/blobs/52a7/11206324/837094fedf59/nanomaterials-14-01021-g0A2.jpg
https://cdn.ncbi.nlm.nih.gov/pmc/blobs/52a7/11206324/4bbc14a47a31/nanomaterials-14-01021-g001.jpg
https://cdn.ncbi.nlm.nih.gov/pmc/blobs/52a7/11206324/01a5d75740be/nanomaterials-14-01021-g002.jpg
https://cdn.ncbi.nlm.nih.gov/pmc/blobs/52a7/11206324/d81a2206d270/nanomaterials-14-01021-g003.jpg
https://cdn.ncbi.nlm.nih.gov/pmc/blobs/52a7/11206324/e18566d8baf4/nanomaterials-14-01021-g0A1.jpg
https://cdn.ncbi.nlm.nih.gov/pmc/blobs/52a7/11206324/837094fedf59/nanomaterials-14-01021-g0A2.jpg
https://cdn.ncbi.nlm.nih.gov/pmc/blobs/52a7/11206324/4bbc14a47a31/nanomaterials-14-01021-g001.jpg
https://cdn.ncbi.nlm.nih.gov/pmc/blobs/52a7/11206324/01a5d75740be/nanomaterials-14-01021-g002.jpg
https://cdn.ncbi.nlm.nih.gov/pmc/blobs/52a7/11206324/d81a2206d270/nanomaterials-14-01021-g003.jpg

相似文献

1
Optical Absorption in Tilted Geometries as an Indirect Measurement of Longitudinal Plasma Waves in Layered Cuprates.倾斜几何结构中的光吸收作为层状铜酸盐中纵向等离子体波的间接测量方法
Nanomaterials (Basel). 2024 Jun 13;14(12):1021. doi: 10.3390/nano14121021.
2
Non-linear Terahertz driving of plasma waves in layered cuprates.层状铜酸盐中太赫兹对等离子体波的非线性驱动
Nat Commun. 2021 Feb 2;12(1):752. doi: 10.1038/s41467-021-21041-6.
3
Surface Josephson plasma waves in layered superconductors.层状超导体中的表面约瑟夫森等离子体波。
Phys Rev Lett. 2005 Oct 28;95(18):187002. doi: 10.1103/PhysRevLett.95.187002. Epub 2005 Oct 26.
4
Transverse josephson plasma mode in T* cuprate superconductors.T* 铜酸盐超导体中的横向约瑟夫森等离子体模式。
Phys Rev Lett. 2001 Apr 30;86(18):4140-3. doi: 10.1103/PhysRevLett.86.4140.
5
Resonant absorption of electromagnetic waves in transition anisotropic media.过渡各向异性介质中电磁波的共振吸收
Opt Express. 2017 Nov 27;25(24):30162-30176. doi: 10.1364/OE.25.030162.
6
Raman and fluorescence characteristics of resonant inelastic X-ray scattering from doped superconducting cuprates.掺杂超导铜酸盐的共振非弹性X射线散射的拉曼和荧光特性。
Sci Rep. 2016 Jan 22;6:19657. doi: 10.1038/srep19657.
7
Gapped Collective Charge Excitations and Interlayer Hopping in Cuprate Superconductors.铜酸盐超导体中的带隙集体电荷激发与层间跃迁
Phys Rev Lett. 2022 Jul 22;129(4):047001. doi: 10.1103/PhysRevLett.129.047001.
8
Detection of Acoustic Plasmons in Hole-Doped Lanthanum and Bismuth Cuprate Superconductors Using Resonant Inelastic X-Ray Scattering.利用共振非弹性X射线散射探测空穴掺杂的镧铋铜酸盐超导体中的声学等离子体激元
Phys Rev Lett. 2020 Dec 18;125(25):257002. doi: 10.1103/PhysRevLett.125.257002.
9
Collective nature of spin excitations in superconducting cuprates probed by resonant inelastic X-ray scattering.通过共振非弹性X射线散射探测超导铜酸盐中自旋激发的集体性质。
Phys Rev Lett. 2015 May 29;114(21):217003. doi: 10.1103/PhysRevLett.114.217003. Epub 2015 May 28.
10
Crossover from Collective to Incoherent Spin Excitations in Superconducting Cuprates Probed by Detuned Resonant Inelastic X-Ray Scattering.通过失谐共振非弹性X射线散射探测超导铜酸盐中从集体到非相干自旋激发的转变
Phys Rev Lett. 2017 Sep 1;119(9):097001. doi: 10.1103/PhysRevLett.119.097001. Epub 2017 Aug 31.

引用本文的文献

1
Superconductivity and Magnetism in Two-Dimensional and Layered Materials.二维和层状材料中的超导性与磁性
Nanomaterials (Basel). 2025 Aug 21;15(16):1284. doi: 10.3390/nano15161284.

本文引用的文献

1
Jamming and unusual charge density fluctuations of strange metals.奇异金属的堵塞和非寻常电荷密度涨落。
Nat Commun. 2023 Jul 3;14(1):3919. doi: 10.1038/s41467-023-39499-x.
2
Direct observation of nodeless superconductivity and phonon modes in electron-doped copper oxide SrNdCuO.电子掺杂铜氧化物SrNdCuO中无节点超导性和声子模式的直接观测。
Natl Sci Rev. 2021 Dec 15;9(4):nwab225. doi: 10.1093/nsr/nwab225. eCollection 2022 Apr.
3
Detection of Acoustic Plasmons in Hole-Doped Lanthanum and Bismuth Cuprate Superconductors Using Resonant Inelastic X-Ray Scattering.
利用共振非弹性X射线散射探测空穴掺杂的镧铋铜酸盐超导体中的声学等离子体激元
Phys Rev Lett. 2020 Dec 18;125(25):257002. doi: 10.1103/PhysRevLett.125.257002.
4
Three-dimensional collective charge excitations in electron-doped copper oxide superconductors.电子掺杂铜氧化物超导体中的三维集体电荷激发。
Nature. 2018 Nov;563(7731):374-378. doi: 10.1038/s41586-018-0648-3. Epub 2018 Oct 31.
5
Anomalous density fluctuations in a strange metal.奇异金属中的异常密度涨落。
Proc Natl Acad Sci U S A. 2018 May 22;115(21):5392-5396. doi: 10.1073/pnas.1721495115. Epub 2018 May 7.
6
Probing optically silent superfluid stripes in cuprates.探究铜氧化物中超流条纹的光学惰性。
Science. 2018 Feb 2;359(6375):575-579. doi: 10.1126/science.aan3438. Epub 2018 Feb 1.
7
From quantum matter to high-temperature superconductivity in copper oxides.从量子物质到铜氧化物中的高温超导性。
Nature. 2015 Feb 12;518(7538):179-86. doi: 10.1038/nature14165.
8
Optically enhanced coherent transport in YBa2Cu3O6.5 by ultrafast redistribution of interlayer coupling.通过超快的层间耦合再分配实现 YBa2Cu3O6.5 中的光增强相干输运。
Nat Mater. 2014 Jul;13(7):705-11. doi: 10.1038/nmat3963. Epub 2014 May 11.
9
Evidence of a precursor superconducting phase at temperatures as high as 180 K in RBa2Cu3O(7-δ) (R=Y, Gd, Eu) superconducting crystals from infrared spectroscopy.红外光谱研究表明,在 RBa2Cu3O(7-δ)(R=Y,Gd,Eu)超导晶体中存在高达 180 K 的前驱超导相。
Phys Rev Lett. 2011 Jan 28;106(4):047006. doi: 10.1103/PhysRevLett.106.047006. Epub 2011 Jan 27.
10
Survival of the d-wave superconducting state near the edge of antiferromagnetism in the cuprate phase diagram.铜酸盐相图中反铁磁性边缘附近d波超导态的存活。
Phys Rev Lett. 2004 Sep 3;93(10):107003. doi: 10.1103/PhysRevLett.93.107003. Epub 2004 Sep 1.