Suppr超能文献

新辅助放化疗治疗食管鳞癌过程中免疫细胞和骨髓的有效剂量与血液学毒性的关系。

Association of effective dose to immune cells and vertebral marrow dose with hematologic toxicity during neoadjuvant chemoradiotherapy in esophageal squamous cell carcinoma.

机构信息

Shandong University Cancer Center, Shandong University, Jinan, Shandong, China.

Department of Radiation Oncology Physics and Technology, Shandong Cancer Hospital and Institute, Shandong First Medical University, Shandong Academy of Medical Sciences, Jinan, Shandong, China.

出版信息

BMC Cancer. 2024 Jun 28;24(1):779. doi: 10.1186/s12885-024-12531-z.

Abstract

BACKGROUND

To explore the correlation between effective dose to immune cells (EDIC) and vertebral bone marrow dose and hematologic toxicity (HT) for esophageal squamous cell carcinoma (ESCC) during neoadjuvant chemoradiotherapy (nCRT).

METHODS

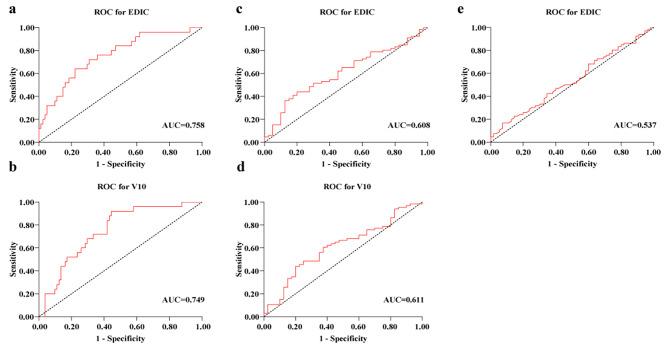
The study included 106 ESCC patients treated with nCRT. We collected dosimetric parameters, including vertebral body volumes receiving 10-40 Gy (V10, V20, V30, V40) and EDIC and complete blood counts. Associations of the cell nadir and dosimetric parameters were examined by linear and logistic regression analysis. The receiver operating characteristic (ROC) curves were used to determine the cutoff values for the dosimetric parameters.

RESULTS

During nCRT, the incidence of grade 3-4 lymphopenia, leukopenia, and neutropenia was 76.4%, 37.3%, and 37.3%, respectively. Patients with EDIC ≤ 4.63 Gy plus V10 ≤ 140.3 ml were strongly associated with lower risk of grade 3-4 lymphopenia (OR, 0.050; P < 0.001), and patients with EDIC ≤ 4.53 Gy plus V10 ≤ 100.9 ml were strongly associated with lower risk of grade 3-4 leukopenia (OR, 0.177; P = 0.011), and patients with EDIC ≤ 5.79 Gy were strongly associated with lower risk of grade 3-4 neutropenia (OR, 0.401; P = 0.031). Kaplan-Meier analysis showed that there was a significant difference among all groups for grade 3-4 lymphopenia, leukopenia, and neutropenia (P < 0.05).

CONCLUSION

The dose of vertebral bone marrow irradiation and EDIC were significantly correlated with grade 3-4 leukopenia and lymphopenia, and EDIC was significantly correlated with grade 3-4 neutropenia. Reducing vertebral bone marrow irradiation and EDIC effectively reduce the incidence of HT.

摘要

背景

为了探讨新辅助放化疗(nCRT)期间有效剂量至免疫细胞(EDIC)与椎体骨髓剂量和血液学毒性(HT)之间的相关性,我们对 106 例接受 nCRT 的食管鳞癌(ESCC)患者进行了研究。我们收集了剂量学参数,包括接受 10-40Gy 的椎体体积(V10、V20、V30、V40)和 EDIC 以及全血细胞计数。通过线性和逻辑回归分析检查细胞最低点与剂量学参数的相关性。使用受试者工作特征(ROC)曲线确定剂量学参数的截止值。

结果

在 nCRT 期间,3-4 级淋巴细胞减少、白细胞减少和中性粒细胞减少的发生率分别为 76.4%、37.3%和 37.3%。EDIC≤4.63Gy 加 V10≤140.3ml 的患者与 3-4 级淋巴细胞减少的风险较低显著相关(OR,0.050;P<0.001),EDIC≤4.53Gy 加 V10≤100.9ml 的患者与 3-4 级白细胞减少的风险较低显著相关(OR,0.177;P=0.011),而 EDIC≤5.79Gy 的患者与 3-4 级中性粒细胞减少的风险较低显著相关(OR,0.401;P=0.031)。Kaplan-Meier 分析表明,所有组之间 3-4 级淋巴细胞减少、白细胞减少和中性粒细胞减少均有显著差异(P<0.05)。

结论

椎体骨髓照射剂量和 EDIC 与 3-4 级白细胞减少和淋巴细胞减少显著相关,而 EDIC 与 3-4 级中性粒细胞减少显著相关。减少椎体骨髓照射剂量和 EDIC 可有效降低 HT 的发生率。

https://cdn.ncbi.nlm.nih.gov/pmc/blobs/e963/11212421/aa04c3436066/12885_2024_12531_Fig1_HTML.jpg

文献AI研究员

20分钟写一篇综述,助力文献阅读效率提升50倍。

立即体验

用中文搜PubMed

大模型驱动的PubMed中文搜索引擎

马上搜索

文档翻译

学术文献翻译模型,支持多种主流文档格式。

立即体验