Suppr超能文献

苜蓿根际菌株通过诱导植物激素相关基因的表达来抑制杂草生长。

Rhizosphere strain of alfalfa exerted weed growth inhibition by inducing expression of plant hormone-related genes.

作者信息

Du Taotao, Qu Xudong, Wang Yibo, Li Meixuan, Qie Xihu, Jin Jing, Gao Yuxuan, Wang Zengyu, Lin Kejian, Yang Chao, Sun Juan

机构信息

Key Laboratory of National Forestry and Grassland Administration on Grassland Resources and Ecology in the Yellow River Delta, College of Grassland Science, Qingdao Agricultural University, Qingdao, Shandong, China.

College of Plant Health and Medicine, Qingdao Agricultural University, Qingdao, Shandong, China.

出版信息

Front Microbiol. 2024 Jun 17;15:1385992. doi: 10.3389/fmicb.2024.1385992. eCollection 2024.

Abstract

INTRODUCTION

Weeds are significant factors that detrimentally affect crop health and hinder optimal herbage yield. Rhizosphere microorganisms play crucial roles in plant growth, development, and nutrient uptake. Therefore, research focusing on weed control through the lens of microorganisms has emerged as a prominent area of study. The oil-producing fungus , which is known for its numerous agricultural benefits, has garnered significant attention in recent years.

METHODS

In this study, we conducted inoculation experiments in a controlled artificial culture climate chamber to investigate the effects of differential hormones and differentially expressed genes in the stems and leaves of using Liquid Chromatography Tandem Mass Spectrometry and RNA-seq techniques, respectively. Additionally, Pearson's correlation analysis was used to establish correlations between differential hormones and growth indicators of .

RESULTS AND DISCUSSION

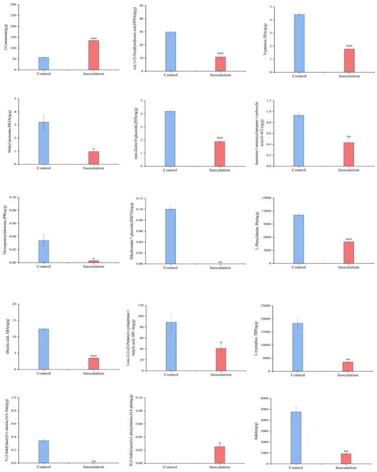
The results demonstrated that inoculation with sp. MXBP304 effectively suppressed aboveground biomass and plant height in . Furthermore, there was significant upregulation and downregulation in the expression of genes involved in the synthesis and metabolism of phenylalanine and L-phenylalanine. Conversely, the expression of genes related to tryptophan, L-tryptophan, and indole was significantly downregulated. The addition of sp. MXBP304 can influence the gene expression associated with phenylalanine and tryptophan synthesis and metabolism during growth, subsequently reducing the relative contents of phenylalanine and tryptophan, thereby directly inhibiting growth.

摘要

引言

杂草是对作物健康产生不利影响并阻碍牧草最佳产量的重要因素。根际微生物在植物生长、发育和养分吸收中发挥着关键作用。因此,通过微生物视角聚焦杂草控制的研究已成为一个突出的研究领域。产油真菌因其众多农业益处而闻名,近年来受到了广泛关注。

方法

在本研究中,我们在可控的人工培养气候箱中进行接种实验,分别使用液相色谱串联质谱法和RNA测序技术研究差异激素以及[具体植物名称]茎和叶中差异表达基因的影响。此外,使用皮尔逊相关分析来建立差异激素与[具体植物名称]生长指标之间的相关性。

结果与讨论

结果表明,接种[真菌名称]sp. MXBP304有效抑制了[具体植物名称]的地上生物量和株高。此外,参与苯丙氨酸和L - 苯丙氨酸合成与代谢的基因表达有显著上调和下调。相反,与色氨酸、L - 色氨酸和吲哚相关的基因表达显著下调。添加[真菌名称]sp. MXBP304可影响[具体植物名称]生长过程中与苯丙氨酸和色氨酸合成与代谢相关的基因表达,随后降低苯丙氨酸和色氨酸的相对含量,从而直接抑制[具体植物名称]的生长。

https://cdn.ncbi.nlm.nih.gov/pmc/blobs/4b1a/11215053/480241d1b322/fmicb-15-1385992-g001.jpg

文献AI研究员

20分钟写一篇综述,助力文献阅读效率提升50倍。

立即体验

用中文搜PubMed

大模型驱动的PubMed中文搜索引擎

马上搜索

文档翻译

学术文献翻译模型,支持多种主流文档格式。

立即体验