Suppr超能文献

烟草烟雾暴露与抑郁症之间的关联:2005 - 2018年美国国家健康与营养检查调查及孟德尔随机化研究

Association between tobacco smoke exposure and depression: the NHANES 2005-2018 and Mendelian randomization study.

作者信息

Guo Yikun, Yan Jun

机构信息

Department of Respiratory, Dongzhimen Hospital, Beijing University of Chinese Medicine, Dongcheng District, Beijing, 100700, China.

Beijing University of Chinese medicine, Chaoyang District, Beijing, 100029, China.

出版信息

Arch Public Health. 2024 Jul 3;82(1):100. doi: 10.1186/s13690-024-01322-4.

Abstract

OBJECTIVE

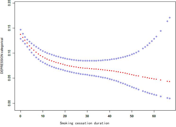
The relationship between tobacco smoke exposure (TSE) and depression is controversial. This study combined observational research and Mendelian randomization (MR) to explore the relationship of depression with both smoking status and cotinine levels.

METHOD

We collected relevant data from the National Health and Nutrition Examination Survey (NHANES) database from 2005 to 2018, and used weighted multifactorial logistic regression modelling to assess the correlation between TSE and depression, and assessed the causal relationship of depression with both smoking status and cotinine levels by MR.

RESULT

Current smokers had the highest risk of depression (OR 1.94; P < 0.01); there was a positive trend for correlation between daily smoking and depression (OR 1.66; P for trend < 0.01). Serum ketamine levels above 3.00 ng/ml had a higher risk of depression (OR 2.13; P < 0.001). MR results showed that current smoking (OR = 4.66; P < 0.001) and previous smoking (OR 2.09; P < 0.01) were risk factors for the onset of depression, and that there was no causal association between cotinine levels and depression.

CONCLUSION

Smoking is significantly associated with depression and plays a potential causal role in the development of depression. Cotinine was significantly associated with depression, however MR results showed no causal relationship between cotinine and depression.

摘要

目的

烟草烟雾暴露(TSE)与抑郁症之间的关系存在争议。本研究结合观察性研究和孟德尔随机化(MR)方法,探讨抑郁症与吸烟状况及可替宁水平之间的关系。

方法

我们从2005年至2018年的美国国家健康与营养检查调查(NHANES)数据库中收集相关数据,采用加权多因素逻辑回归模型评估TSE与抑郁症之间的相关性,并通过MR评估抑郁症与吸烟状况及可替宁水平之间的因果关系。

结果

当前吸烟者患抑郁症的风险最高(比值比[OR]为1.94;P<0.01);每日吸烟量与抑郁症之间存在正相关趋势(OR为1.66;趋势P<0.01)。血清可替宁水平高于3.00 ng/ml者患抑郁症的风险更高(OR为2.13;P<0.001)。MR结果显示,当前吸烟(OR = 4.66;P<0.001)和既往吸烟(OR为2.09;P<0.01)是抑郁症发病的危险因素,且可替宁水平与抑郁症之间不存在因果关联。

结论

吸烟与抑郁症显著相关,并在抑郁症的发生发展中发挥潜在的因果作用。可替宁与抑郁症显著相关,然而MR结果显示可替宁与抑郁症之间不存在因果关系。

https://cdn.ncbi.nlm.nih.gov/pmc/blobs/2a40/11221044/23d76cc833a3/13690_2024_1322_Fig1_HTML.jpg

文献AI研究员

20分钟写一篇综述,助力文献阅读效率提升50倍。

立即体验

用中文搜PubMed

大模型驱动的PubMed中文搜索引擎

马上搜索

文档翻译

学术文献翻译模型,支持多种主流文档格式。

立即体验