Suppr超能文献

斑块破裂与斑块侵蚀所致急性冠脉综合征患者残留病变的组织学特征:一项单中心、回顾性、观察性研究。

Tissue characteristics of residual lesion in patients with acute coronary syndrome caused by plaque rupture versus plaque erosion: a single-center, retrospective, observational study.

机构信息

Department of Cardiology, Aichi Medical University, Nagakute, Japan.

出版信息

Nagoya J Med Sci. 2024 May;86(2):189-200. doi: 10.18999/nagjms.86.2.189.

Abstract

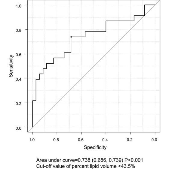
Patients with acute coronary syndrome (ACS), frequently caused by plaque rupture (PR), often have vulnerable plaques in residual lesions as well as in culprit lesions. However, whether this occurs in patients with plaque erosion (PE) as well is unknown. We retrospectively analyzed the data of 88 patients with ACS who underwent both optimal coherence tomography (OCT) and intravascular ultrasound (IVUS). Based on plaque morphology of the culprit lesions identified using OCT, patients were classified into PE (n=23) and PR (n=35) groups. The tissue characteristics of residual lesions evaluated using integrated backscatter IVUS were compared between both groups after percutaneous coronary intervention. The PE group had a significantly lower percent lipid volume and a higher percent fibrous volume than the PR group (35.0±17.8% vs 49.2±13.4%, p<0.001; 63.2±17.1% vs 50.3±13.1%, p=0.002, respectively). Receiver operating characteristic curve analysis revealed that percent lipid volume in the residual lesions was a significant discriminant factor in estimating the plaque morphology of the culprit lesion (optimal cut-off value, <43.5%; sensitivity and specificity values were 73.9% and 68.6%, respectively). In conclusion, patients with PE had a significantly lower percent lipid volume and a significantly higher percent fibrous volume in the residual lesions than those with PR, suggesting that the nature of coronary plaques in patients with PE is different from that of those with PR.

摘要

急性冠状动脉综合征(ACS)患者常由斑块破裂(PR)引起,在残余病变和罪犯病变中常有易损斑块。然而,斑块侵蚀(PE)患者是否也如此尚不清楚。我们回顾性分析了 88 例接受最佳相干断层扫描(OCT)和血管内超声(IVUS)检查的 ACS 患者的数据。根据 OCT 确定的罪犯病变的斑块形态,将患者分为 PE(n=23)和 PR(n=35)组。在经皮冠状动脉介入治疗后,比较两组残余病变的积分背向散射 IVUS 组织特征。PE 组的脂质体积百分比明显低于 PR 组(35.0±17.8% vs 49.2±13.4%,p<0.001;63.2±17.1% vs 50.3±13.1%,p=0.002)。受试者工作特征曲线分析显示,残余病变中的脂质体积百分比是估计罪犯病变斑块形态的显著判别因素(最佳截断值,<43.5%;灵敏度和特异性值分别为 73.9%和 68.6%)。总之,PE 患者残余病变中的脂质体积百分比明显低于 PR 患者,纤维体积百分比明显高于 PR 患者,提示 PE 患者的冠状动脉斑块性质与 PR 患者不同。

https://cdn.ncbi.nlm.nih.gov/pmc/blobs/0117/11219232/ace6883e5c9b/2186-3326-86-0189-g001.jpg

文献AI研究员

20分钟写一篇综述,助力文献阅读效率提升50倍。

立即体验

用中文搜PubMed

大模型驱动的PubMed中文搜索引擎

马上搜索

文档翻译

学术文献翻译模型,支持多种主流文档格式。

立即体验