Suppr超能文献

住院奶牛戊二醛凝固试验结果与血浆急性期蛋白浓度及血液学检查结果的相关性

Association of results of the glutaraldehyde coagulation test with plasma acute phase protein concentrations and hematologic findings in hospitalized cows.

作者信息

Trefz Florian M, Balmer Martina, Peters Laureen M, Bruckmaier Rupert M, Meylan Mireille

机构信息

Clinic for Ruminants, Vetsuisse Faculty, University of Bern, Bern, Switzerland.

Clinic for Ruminants with Ambulatory and Herd Health Services, Centre of Veterinary Clinical Medicine, Ludwig-Maximilians-Universität (LMU) München, Oberschleißheim, Germany.

出版信息

Front Vet Sci. 2024 Jun 19;11:1404809. doi: 10.3389/fvets.2024.1404809. eCollection 2024.

Abstract

INTRODUCTION

The glutaraldehyde test (GAT) allows for animal-side semi-quantitative estimation of fibrinogen and gamma-globulin concentrations in blood samples of adult cattle and therefore detection of inflammatory disease conditions. However, the test has potential limitations, especially due to the latency period until sufficiently high fibrinogen and/or gamma-globulin concentrations are reached. The aim of the present study was therefore to assess the association between results of GAT with other inflammatory markers including hematologic variables, fibrinogen, plasma haptoglobin and serum amyloid A (SAA) concentrations.

METHODS

For the purpose of this prospective observational study, a convenience sample of 202 cows with a broad range of inflammatory and non-inflammatory clinical conditions was included. The GAT was run on EDTA blood, fibrinogen was measured using the Clauss and the heat precipitation method, and commercially available ELISA tests were used for determination of plasma haptoglobin and SAA concentrations.

RESULTS

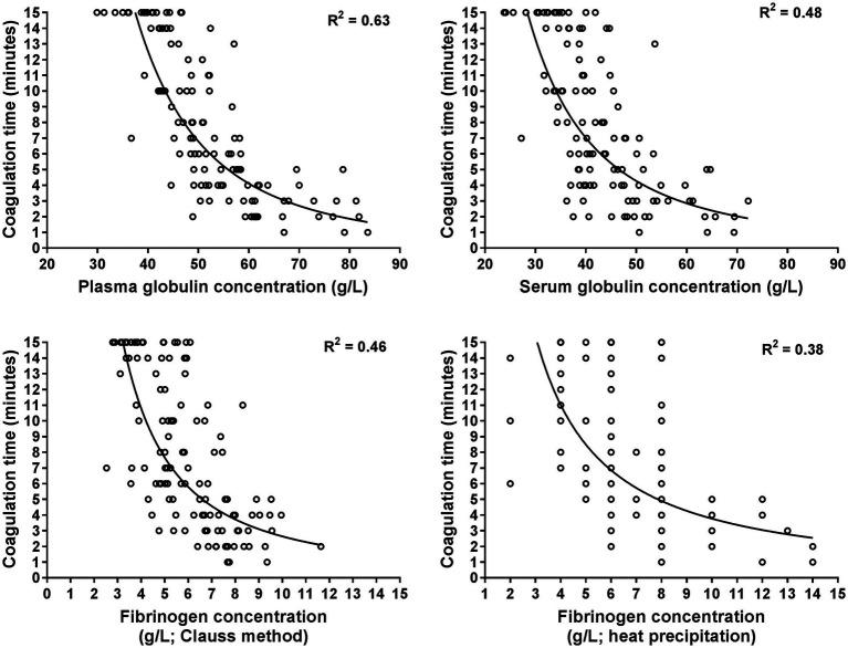
Shortened GAT coagulation times were more closely correlated to serum globulin (  = -0.72) than to plasma fibrinogen concentrations measured with the heat precipitation (  = -0.64) and the Clauss method (  = -0.70). Cows with a markedly (≤3 min) or moderately (4-6 min) shortened coagulation time had higher ( < 0.001) plasma haptoglobin and SAA concentrations than cows with a negative test result. Total leukocyte, monocyte and neutrophil concentrations did not differ significantly between groups. An identified cut-off for the GAT coagulation time of ≤14 min had a sensitivity and specificity of 54.4 and 100%, respectively, for the prediction of an inflammatory state based on clinical findings and/or increased plasma haptoglobin or SAA concentrations.

DISCUSSION

In conclusion, this study demonstrates considerable diagnostic agreement between positive GAT results and increased plasma concentrations of haptoglobin and SAA. Despite high specificity, the test lacks sensitivity in case of acute inflammatory conditions indicating that plasma acute phase protein concentrations and hematologic findings can provide additional diagnostic information if the GAT is negative.

摘要

引言

戊二醛试验(GAT)可对成年牛血液样本中的纤维蛋白原和γ球蛋白浓度进行动物现场半定量评估,从而检测炎症性疾病状况。然而,该试验存在潜在局限性,尤其是在达到足够高的纤维蛋白原和/或γ球蛋白浓度之前存在潜伏期。因此,本研究的目的是评估GAT结果与其他炎症标志物之间的关联,这些标志物包括血液学变量、纤维蛋白原、血浆触珠蛋白和血清淀粉样蛋白A(SAA)浓度。

方法

为了进行这项前瞻性观察研究,纳入了202头患有广泛炎症和非炎症临床病症的奶牛作为便利样本。在乙二胺四乙酸(EDTA)抗凝血上进行GAT检测,使用克劳斯法和热沉淀法测量纤维蛋白原,并使用市售酶联免疫吸附测定(ELISA)试验测定血浆触珠蛋白和SAA浓度。

结果

与用热沉淀法(r = -0.64)和克劳斯法(r = -0.70)测量的血浆纤维蛋白原浓度相比,缩短的GAT凝血时间与血清球蛋白(r = -0.72)的相关性更强。凝血时间明显缩短(≤3分钟)或中度缩短(4 - 6分钟)的奶牛,其血浆触珠蛋白和SAA浓度高于检测结果为阴性的奶牛(P < 0.001)。各组之间的总白细胞、单核细胞和中性粒细胞浓度无显著差异。确定的GAT凝血时间截止值≤14分钟,基于临床发现和/或血浆触珠蛋白或SAA浓度升高预测炎症状态时,敏感性和特异性分别为54.4%和100%。

讨论

总之,本研究表明GAT阳性结果与血浆触珠蛋白和SAA浓度升高之间存在相当大的诊断一致性。尽管特异性高,但该试验在急性炎症情况下缺乏敏感性,这表明如果GAT为阴性,血浆急性期蛋白浓度和血液学检查结果可提供额外的诊断信息。

https://cdn.ncbi.nlm.nih.gov/pmc/blobs/d6fb/11220118/759357094a89/fvets-11-1404809-g001.jpg

文献AI研究员

20分钟写一篇综述,助力文献阅读效率提升50倍。

立即体验

用中文搜PubMed

大模型驱动的PubMed中文搜索引擎

马上搜索

文档翻译

学术文献翻译模型,支持多种主流文档格式。

立即体验