• 文献检索
  • 文档翻译
  • 深度研究
  • 学术资讯
  • Suppr Zotero 插件Zotero 插件
  • 邀请有礼
  • 套餐&价格
  • 历史记录
应用&插件
Suppr Zotero 插件Zotero 插件浏览器插件Mac 客户端Windows 客户端微信小程序
定价
高级版会员购买积分包购买API积分包
服务
文献检索文档翻译深度研究API 文档MCP 服务
关于我们
关于 Suppr公司介绍联系我们用户协议隐私条款
关注我们

Suppr 超能文献

核心技术专利:CN118964589B侵权必究
粤ICP备2023148730 号-1Suppr @ 2026

文献检索

告别复杂PubMed语法,用中文像聊天一样搜索,搜遍4000万医学文献。AI智能推荐,让科研检索更轻松。

立即免费搜索

文件翻译

保留排版,准确专业,支持PDF/Word/PPT等文件格式,支持 12+语言互译。

免费翻译文档

深度研究

AI帮你快速写综述,25分钟生成高质量综述,智能提取关键信息,辅助科研写作。

立即免费体验

在原发性硬化性胆管炎患者的 simtuzumab 2b 期临床试验中,血清细胞外基质重塑标志物与纤维化分期和预后相关。

Serologic extracellular matrix remodeling markers are related to fibrosis stage and prognosis in a phase 2b trial of simtuzumab in patients with primary sclerosing cholangitis.

机构信息

Sheila Sherlock Liver Centre and UCL Institute for Liver and Digestive Health, Royal Free Hospital, London, UK.

Nordic Bioscience A/S, Herlev, Denmark.

出版信息

Hepatol Commun. 2024 Jul 5;8(7). doi: 10.1097/HC9.0000000000000467. eCollection 2024 Jul 1.

DOI:10.1097/HC9.0000000000000467
PMID:38967589
原文链接:https://pmc.ncbi.nlm.nih.gov/articles/PMC11227354/
Abstract

BACKGROUND

Novel noninvasive predictors of disease severity and prognosis in primary sclerosing cholangitis (PSC) are needed. This study evaluated the ability of extracellular matrix remodeling markers to diagnose fibrosis stage and predict PSC-related fibrosis progression and clinical events.

METHODS

Liver histology and serum markers of collagen formation (propeptide of type III collagen [Pro-C3], propeptide of type IV collagen, propeptide of type V collagen), collagen degradation (type III collagen matrix metalloproteinase degradation product and type IV collagen matrix metalloproteinase degradation product), and fibrosis (enhanced liver fibrosis [ELF] score and its components [metalloproteinase-1, type III procollagen, hyaluronic acid]) were assessed in samples from baseline to week 96 in patients with PSC enrolled in a study evaluating simtuzumab (NCT01672853). Diagnostic performance for advanced fibrosis (Ishak stages 3-6) and cirrhosis (Ishak stages 5-6) was evaluated by logistic regression and AUROC. Prognostic performance for PSC-related clinical events and fibrosis progression was assessed by AUROC and Wilcoxon rank-sum test.

RESULTS

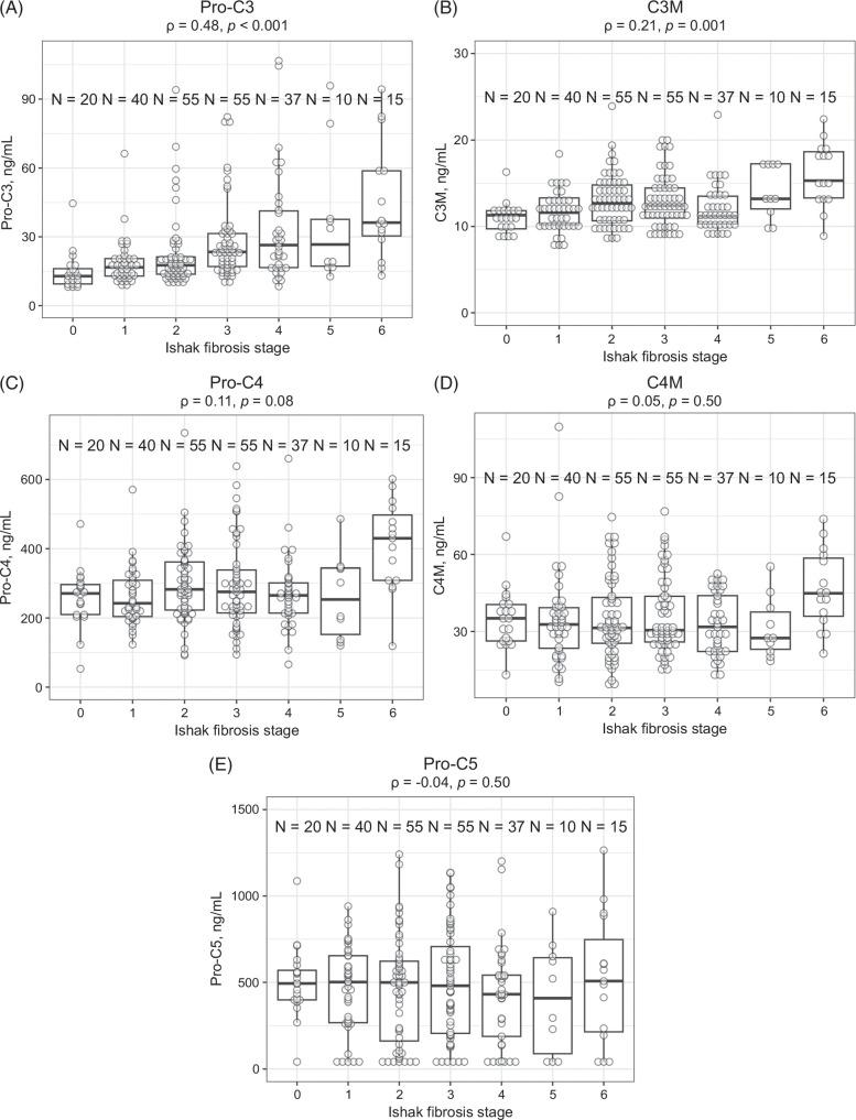
Among 234 patients, 51% had advanced fibrosis and 11% had cirrhosis at baseline. Baseline Pro-C3 and ELF score and its components provided moderate diagnostic ability for discrimination of advanced fibrosis (AUROC 0.73-0.78) and cirrhosis (AUROC 0.73-0.81). Baseline Pro-C3, ELF score, and type III procollagen provided a moderate prognosis for PSC-related clinical events (AUROC 0.70-0.71). Among patients without cirrhosis at baseline, median changes in Pro-C3 and ELF score to week 96 were higher in those with than without progression to cirrhosis (both p < 0.001).

CONCLUSIONS

Pro-C3 correlated with fibrosis stage, and Pro-C3 and ELF score provided discrimination of advanced fibrosis and cirrhosis and predicted PSC-related events and fibrosis progression. The results support the clinical utility of Pro-C3 and ELF score for staging and as prognostic markers in PSC.

摘要

背景

原发性硬化性胆管炎(PSC)需要新的非侵入性疾病严重程度和预后预测指标。本研究评估了细胞外基质重塑标志物诊断纤维化分期、预测 PSC 相关纤维化进展和临床事件的能力。

方法

在一项评估 simtuzumab 的研究中,对 PSC 患者的基线至第 96 周的肝组织学和胶原形成的血清标志物(III 型胶原前肽 [Pro-C3]、IV 型胶原前肽、V 型胶原前肽)、胶原降解(III 型胶原基质金属蛋白酶降解产物和 IV 型胶原基质金属蛋白酶降解产物)和纤维化(增强肝脏纤维化 [ELF] 评分及其成分[基质金属蛋白酶-1、III 型前胶原、透明质酸])进行了评估。采用逻辑回归和 AUROC 评估晚期纤维化(Ishak 分期 3-6)和肝硬化(Ishak 分期 5-6)的诊断性能。采用 AUROC 和 Wilcoxon 秩和检验评估 PSC 相关临床事件和纤维化进展的预后性能。

结果

在 234 例患者中,51%的患者基线时存在晚期纤维化,11%的患者存在肝硬化。基线 Pro-C3 和 ELF 评分及其成分对诊断晚期纤维化(AUROC 0.73-0.78)和肝硬化(AUROC 0.73-0.81)具有中等鉴别能力。基线 Pro-C3、ELF 评分和 III 型前胶原对 PSC 相关临床事件(AUROC 0.70-0.71)具有中等预后价值。在基线时无肝硬化的患者中,基线至第 96 周时 Pro-C3 和 ELF 评分的中位数变化在进展为肝硬化的患者中高于未进展为肝硬化的患者(均 p<0.001)。

结论

Pro-C3 与纤维化分期相关,Pro-C3 和 ELF 评分可区分晚期纤维化和肝硬化,并预测 PSC 相关事件和纤维化进展。这些结果支持 Pro-C3 和 ELF 评分在 PSC 分期和预后标志物中的临床应用。

https://cdn.ncbi.nlm.nih.gov/pmc/blobs/3c63/11227354/b58b9fe17de0/hc9-8-e0467-g005.jpg
https://cdn.ncbi.nlm.nih.gov/pmc/blobs/3c63/11227354/811551a09ab7/hc9-8-e0467-g001.jpg
https://cdn.ncbi.nlm.nih.gov/pmc/blobs/3c63/11227354/db4934c4735c/hc9-8-e0467-g002.jpg
https://cdn.ncbi.nlm.nih.gov/pmc/blobs/3c63/11227354/480cf70eb881/hc9-8-e0467-g003.jpg
https://cdn.ncbi.nlm.nih.gov/pmc/blobs/3c63/11227354/378d3c1d2f66/hc9-8-e0467-g004.jpg
https://cdn.ncbi.nlm.nih.gov/pmc/blobs/3c63/11227354/b58b9fe17de0/hc9-8-e0467-g005.jpg
https://cdn.ncbi.nlm.nih.gov/pmc/blobs/3c63/11227354/811551a09ab7/hc9-8-e0467-g001.jpg
https://cdn.ncbi.nlm.nih.gov/pmc/blobs/3c63/11227354/db4934c4735c/hc9-8-e0467-g002.jpg
https://cdn.ncbi.nlm.nih.gov/pmc/blobs/3c63/11227354/480cf70eb881/hc9-8-e0467-g003.jpg
https://cdn.ncbi.nlm.nih.gov/pmc/blobs/3c63/11227354/378d3c1d2f66/hc9-8-e0467-g004.jpg
https://cdn.ncbi.nlm.nih.gov/pmc/blobs/3c63/11227354/b58b9fe17de0/hc9-8-e0467-g005.jpg

相似文献

1
Serologic extracellular matrix remodeling markers are related to fibrosis stage and prognosis in a phase 2b trial of simtuzumab in patients with primary sclerosing cholangitis.在原发性硬化性胆管炎患者的 simtuzumab 2b 期临床试验中,血清细胞外基质重塑标志物与纤维化分期和预后相关。
Hepatol Commun. 2024 Jul 5;8(7). doi: 10.1097/HC9.0000000000000467. eCollection 2024 Jul 1.
2
Serological markers of extracellular matrix remodeling predict transplant-free survival in primary sclerosing cholangitis.细胞外基质重塑的血清学标志物可预测原发性硬化性胆管炎患者的无移植生存率。
Aliment Pharmacol Ther. 2018 Jul;48(2):179-189. doi: 10.1111/apt.14806. Epub 2018 May 30.
3
Comprehensive assessment of ECM turnover using serum biomarkers establishes PBC as a high-turnover autoimmune liver disease.使用血清生物标志物对细胞外基质(ECM)周转进行综合评估,证实原发性胆汁性胆管炎(PBC)是一种高周转的自身免疫性肝病。
JHEP Rep. 2020 Sep 3;3(1):100178. doi: 10.1016/j.jhepr.2020.100178. eCollection 2021 Feb.
4
Enhanced liver fibrosis test predicts transplant-free survival in primary sclerosing cholangitis, a multi-centre study.增强型肝纤维化检测可预测原发性硬化性胆管炎的无移植生存率:一项多中心研究。
Liver Int. 2017 Oct;37(10):1554-1561. doi: 10.1111/liv.13402. Epub 2017 Apr 13.
5
Simtuzumab for Primary Sclerosing Cholangitis: Phase 2 Study Results With Insights on the Natural History of the Disease.西姆土单抗治疗原发性硬化性胆管炎:2 期研究结果及对疾病自然史的见解。
Hepatology. 2019 Feb;69(2):684-698. doi: 10.1002/hep.30237. Epub 2019 Jan 11.
6
Enhanced liver fibrosis score predicts transplant-free survival in primary sclerosing cholangitis.增强型肝纤维化评分可预测原发性硬化性胆管炎患者的无移植生存率。
Hepatology. 2015 Jul;62(1):188-97. doi: 10.1002/hep.27825. Epub 2015 Apr 28.
7
Inter- and Intra-individual Variation, and Limited Prognostic Utility, of Serum Alkaline Phosphatase in a Trial of Patients With Primary Sclerosing Cholangitis.原发性硬化性胆管炎患者临床试验中血清碱性磷酸酶的个体内和个体间差异及预后预测价值有限。
Clin Gastroenterol Hepatol. 2021 Jun;19(6):1248-1257. doi: 10.1016/j.cgh.2020.07.032. Epub 2020 Jul 22.
8
Effect of NGM282, an FGF19 analogue, in primary sclerosing cholangitis: A multicenter, randomized, double-blind, placebo-controlled phase II trial.NGM282,一种 FGF19 类似物,在原发性硬化性胆管炎中的作用:一项多中心、随机、双盲、安慰剂对照的 II 期临床试验。
J Hepatol. 2019 Mar;70(3):483-493. doi: 10.1016/j.jhep.2018.10.035. Epub 2018 Nov 9.
9
The Enhanced Liver Fibrosis (ELF) score: normal values, influence factors and proposed cut-off values.增强型肝脏纤维化(ELF)评分:正常值、影响因素和建议截断值。
J Hepatol. 2013 Aug;59(2):236-42. doi: 10.1016/j.jhep.2013.03.016. Epub 2013 Mar 21.
10
Cholangiocarcinoma is associated with a raised enhanced liver fibrosis score independent of primary sclerosing cholangitis.胆管癌与肝纤维化评分升高有关,与原发性硬化性胆管炎无关。
Eur J Clin Invest. 2019 May;49(5):e13088. doi: 10.1111/eci.13088. Epub 2019 Mar 18.

引用本文的文献

1
Macrophages drive a fibrogenic gene program of periductal fibroblasts in pediatric primary sclerosing cholangitis.巨噬细胞驱动小儿原发性硬化性胆管炎中导管周围成纤维细胞的促纤维化基因程序。
bioRxiv. 2025 Aug 21:2025.08.14.670195. doi: 10.1101/2025.08.14.670195.
2
Extracellular Matrix Signaling Cues: Biological Functions, Diseases, and Therapeutic Targets.细胞外基质信号线索:生物学功能、疾病及治疗靶点
MedComm (2020). 2025 Jul 17;6(8):e70281. doi: 10.1002/mco2.70281. eCollection 2025 Aug.

本文引用的文献

1
AASLD practice guidance on primary sclerosing cholangitis and cholangiocarcinoma.美国肝病研究学会关于原发性硬化性胆管炎和胆管癌的实践指南。
Hepatology. 2023 Feb 1;77(2):659-702. doi: 10.1002/hep.32771. Epub 2022 Oct 20.
2
EASL Clinical Practice Guidelines on sclerosing cholangitis.欧洲肝脏研究学会肝硬化临床实践指南。
J Hepatol. 2022 Sep;77(3):761-806. doi: 10.1016/j.jhep.2022.05.011. Epub 2022 Jun 21.
3
Potent suppression of hydrophobic bile acids by aldafermin, an FGF19 analogue, across metabolic and cholestatic liver diseases.
FGF19类似物aldafermin对代谢性和胆汁淤积性肝病中疏水性胆汁酸的强效抑制作用。
JHEP Rep. 2021 Feb 19;3(3):100255. doi: 10.1016/j.jhepr.2021.100255. eCollection 2021 Jun.
4
Performance of the PRO-C3 collagen neo-epitope biomarker in non-alcoholic fatty liver disease.PRO-C3胶原蛋白新表位生物标志物在非酒精性脂肪性肝病中的表现
JHEP Rep. 2019 Jul 4;1(3):188-198. doi: 10.1016/j.jhepr.2019.06.004. eCollection 2019 Sep.
5
Collagen biology and non-invasive biomarkers of liver fibrosis.胶原蛋白生物学与肝纤维化的非侵入性生物标志物
Liver Int. 2020 Apr;40(4):736-750. doi: 10.1111/liv.14390. Epub 2020 Feb 19.
6
The Nonsteroidal Farnesoid X Receptor Agonist Cilofexor (GS-9674) Improves Markers of Cholestasis and Liver Injury in Patients With Primary Sclerosing Cholangitis.非甾体法尼醇 X 受体激动剂西利福昔(GS-9674)可改善原发性硬化性胆管炎患者的胆汁淤积和肝损伤标志物。
Hepatology. 2019 Sep;70(3):788-801. doi: 10.1002/hep.30509. Epub 2019 Mar 10.
7
Effect of NGM282, an FGF19 analogue, in primary sclerosing cholangitis: A multicenter, randomized, double-blind, placebo-controlled phase II trial.NGM282,一种 FGF19 类似物,在原发性硬化性胆管炎中的作用:一项多中心、随机、双盲、安慰剂对照的 II 期临床试验。
J Hepatol. 2019 Mar;70(3):483-493. doi: 10.1016/j.jhep.2018.10.035. Epub 2018 Nov 9.
8
Simtuzumab for Primary Sclerosing Cholangitis: Phase 2 Study Results With Insights on the Natural History of the Disease.西姆土单抗治疗原发性硬化性胆管炎:2 期研究结果及对疾病自然史的见解。
Hepatology. 2019 Feb;69(2):684-698. doi: 10.1002/hep.30237. Epub 2019 Jan 11.
9
ADAPT: An Algorithm Incorporating PRO-C3 Accurately Identifies Patients With NAFLD and Advanced Fibrosis.ADAPT:一种纳入 PRO-C3 的算法可准确识别非酒精性脂肪性肝病伴进展性肝纤维化患者。
Hepatology. 2019 Mar;69(3):1075-1086. doi: 10.1002/hep.30163.
10
Serological markers of extracellular matrix remodeling predict transplant-free survival in primary sclerosing cholangitis.细胞外基质重塑的血清学标志物可预测原发性硬化性胆管炎患者的无移植生存率。
Aliment Pharmacol Ther. 2018 Jul;48(2):179-189. doi: 10.1111/apt.14806. Epub 2018 May 30.