Suppr超能文献

与内镜干预相比,微创手术治疗感染性胰腺坏死的荟萃分析。

Minimally invasive surgery compared to endoscopic intervention for treating infected pancreatic necrosis. A meta-analysis.

作者信息

Wu Guangjiang, Cui Can, Song Qingkun

机构信息

Department of Infection Management and Disease Prevention and Control, Beijing Youan Hospital, Capital Medical University, Beijing, China.

Center of Biobank, Beijing Youan Hospital, Capital Medical University, Beijing, China.

出版信息

Wideochir Inne Tech Maloinwazyjne. 2024 Jun;19(2):141-151. doi: 10.5114/wiitm.2024.139175. Epub 2024 Apr 24.

Abstract

INTRODUCTION

The current study aimed to compare the outcomes of endoscopic and minimally invasive surgical treatment for infected necrotizing pancreatitis.

MATERIAL AND METHODS

A meta-analysis of clinical studies on minimally invasive operations for necrotic infection was conducted. A systematic review and study inclusion were done on multiple databases. English-language prospective comparison studies were included. Random design was used to analyze research with continuous and dichotomous variables.

RESULTS

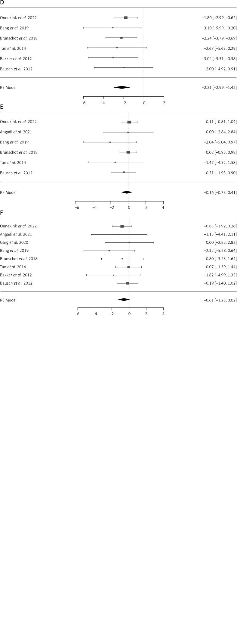
Ten studies were included in the current study. When compared to minimally invasive surgery, endoscopic procedures showed significant beneficial outcomes regarding low post-operative complication rates (p = 0.006), new onset organ failure (p < 0.001), and pancreatic fistula (p < 0.001). However, there was no significant difference between the two interventions regarding hospital stay, postoperative bleeding, incisional hernia, endocrine insufficiency, and perforation of a visceral organ.

CONCLUSIONS

Endoscopic therapy appears to have potential advantages over minimally invasive surgery. However, there is no difference between interventions regarding several parameters.

摘要

引言

本研究旨在比较内镜治疗与微创外科手术治疗感染性坏死性胰腺炎的效果。

材料与方法

对坏死感染的微创外科手术临床研究进行荟萃分析。在多个数据库进行系统评价和纳入研究。纳入英文前瞻性对照研究。采用随机设计分析连续变量和二分变量的研究。

结果

本研究纳入10项研究。与微创手术相比,内镜治疗在术后并发症发生率低(p = 0.006)、新发器官功能衰竭(p < 0.001)和胰瘘(p < 0.001)方面显示出显著的有益效果。然而,在住院时间、术后出血、切口疝、内分泌功能不全和内脏器官穿孔方面,两种干预措施之间没有显著差异。

结论

内镜治疗似乎比微创手术具有潜在优势。然而,在几个参数方面,两种干预措施之间没有差异。

https://cdn.ncbi.nlm.nih.gov/pmc/blobs/2b8a/11223556/5808af9c8be6/WIITM-19-54041-g001.jpg

文献检索

告别复杂PubMed语法,用中文像聊天一样搜索,搜遍4000万医学文献。AI智能推荐,让科研检索更轻松。

立即免费搜索

文件翻译

保留排版,准确专业,支持PDF/Word/PPT等文件格式,支持 12+语言互译。

免费翻译文档

深度研究

AI帮你快速写综述,25分钟生成高质量综述,智能提取关键信息,辅助科研写作。

立即免费体验