Suppr超能文献

髋部骨折患者入院血尿素氮水平与术后住院时间的关系:一项回顾性研究。

Relationship between admission blood urea nitrogen levels and postoperative length of stay in patients with hip fracture: A retrospective study.

机构信息

Department of Orthopedics, Ningbo Medical Center Lihuili Hospital, Ningbo, Zhejiang, China.

Department of Medical Record Office, Ningbo Medical Center Lihuili Hospital, Ningbo, Zhejiang, China.

出版信息

Medicine (Baltimore). 2024 Jul 12;103(28):e38918. doi: 10.1097/MD.0000000000038918.

Abstract

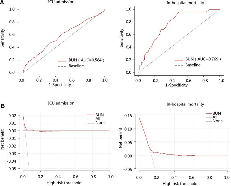
To investigate the relationship between admission blood urea nitrogen (BUN) levels and postoperative length of stay (LOS) in hip fracture (HF) patients. This retrospective study retrieved related data from the MIMIC-IV database, of which the laboratory variables were taken preoperatively. The patients were divided into 4 groups according to the BUN quartile levels. After exploring the nonlinear relationship between BUN and LOS by generalized additive model, their connection was further analyzed using the generalized linear models, quantile regression models, and interaction analysis. Receiver operating characteristic curve analysis and decision curve analysis were performed to evaluate its value in predicting first intensive care unit admission and in-hospital mortality. Totally 1274 patients with HF were enrolled in the study. There was a nonlinear relationship between BUN and LOS (P < .05). Besides, BUN was an independent predictor for LOS after adjusting different covariates in 3 models (P < .05). Age served as a significant interactor in this relationship (P < .05). Moreover, receiver operating characteristic curve and decision curve analysis revealed the predictive value of BUN for intensive care unit admission and in-hospital mortality in HF. Admission BUN level as a cost-effective and easy-to-collect biomarker is significantly related to LOS in patients with HF. It helps clinicians to identify potential high-risk populations and take effective preventions before surgery to reduce postoperative LOS.

摘要

探讨髋部骨折(HF)患者入院时血尿素氮(BUN)水平与术后住院时间(LOS)的关系。本回顾性研究从 MIMIC-IV 数据库中检索相关数据,其中实验室变量在术前采集。根据 BUN 四分位水平将患者分为 4 组。在通过广义加性模型探索 BUN 和 LOS 之间的非线性关系后,使用广义线性模型、分位数回归模型和交互分析进一步分析它们之间的关系。进行受试者工作特征曲线分析和决策曲线分析,以评估其在预测首次入住重症监护病房和院内死亡率方面的价值。共纳入 1274 例 HF 患者。BUN 和 LOS 之间存在非线性关系(P<0.05)。此外,在 3 种模型中,在调整了不同协变量后,BUN 是 LOS 的独立预测因子(P<0.05)。年龄在这种关系中是一个显著的交互因素(P<0.05)。此外,受试者工作特征曲线和决策曲线分析显示,BUN 对 HF 患者入住重症监护病房和院内死亡率具有预测价值。入院时 BUN 水平作为一种具有成本效益且易于采集的生物标志物,与 HF 患者的 LOS 显著相关。它有助于临床医生识别潜在的高危人群,并在手术前采取有效预防措施,以减少术后 LOS。

https://cdn.ncbi.nlm.nih.gov/pmc/blobs/79fd/11245248/961dccb266e5/medi-103-e38918-g001.jpg

相似文献

6
Blood urea nitrogen in the prediction of in-hospital mortality of patients with acute aortic dissection.
Cardiol J. 2018;25(3):371-376. doi: 10.5603/CJ.a2017.0075. Epub 2017 Jun 27.

文献AI研究员

20分钟写一篇综述,助力文献阅读效率提升50倍。

立即体验

用中文搜PubMed

大模型驱动的PubMed中文搜索引擎

马上搜索

文档翻译

学术文献翻译模型,支持多种主流文档格式。

立即体验