Suppr超能文献

(2R,6R; 2S,6S)-羟基去甲氯胺酮(HNK)及其衍生物的抗抑郁活性研究。

Study on the antidepressant activity of (2R,6R; 2S,6S)-Hydroxynorketamine (HNK) and its derivatives.

机构信息

Department of Neonatology, Shenzhen Children's Hospital, Shenzhen City, Guangdong Province, China.

Health Management Center, Shenzhen University General Hospital, Shenzhen University Clinical Medical Academy, Shenzhen University, Shenzhen City, Guangdong Province, China.

出版信息

Clinics (Sao Paulo). 2024 Jul 11;79:100435. doi: 10.1016/j.clinsp.2024.100435. eCollection 2024.

Abstract

OBJECTIVE

This study mainly explores (2R,6R; 2S,6S)-HNK and its compounds whether there are antidepressant effects.

METHODS

Four HNK compounds were obtained from 2-(Chlorophenyl) Cyclopentylmethanone. Forced swimming test, locomotor sensitization test, and conditioned location preference test were used to screen the antidepressant activity of the synthesized target compounds.

RESULTS

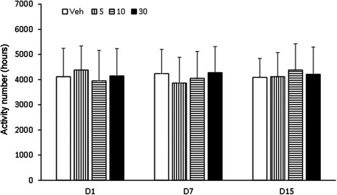
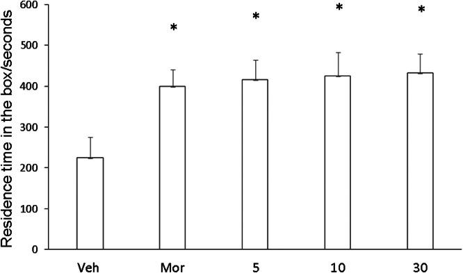
In the case of 10 mg HNK treatment, compared with saline, the immobile time of mice in the HNK group, I5 group and I6 group at 1 h and 7 days had statistical significance. In the case of 10 mg HNK treatment, compared with saline, the immobile time of compound C and D groups in the glass cylinder area was significantly different. In the locomotor sensitization test, the movement distance of compound C and D groups on day 15 and day 7 mice increased significantly compared with the first day. In the conditioned place preference experiment, compound C and compound D induced conditioned place preference in mice compared with the Veh group.

CONCLUSION

The results of the forced swimming test, locomotor sensitization test, and conditioned location preference test showed that compounds C and D may have certain anti-depressant activity. However, HNK exerts a rapid and significant antidepressant effect within 1 week, but the duration is short.

摘要

目的

本研究主要探讨(2R,6R;2S,6S)-HNK 及其化合物是否具有抗抑郁作用。

方法

从 2-(氯苯基)环戊基甲酮中获得了 4 种 HNK 化合物。采用强迫游泳试验、运动敏化试验和条件性位置偏爱试验筛选合成目标化合物的抗抑郁活性。

结果

在 10mg HNK 治疗的情况下,与生理盐水相比,HNK 组、I5 组和 I6 组在 1 小时和 7 天时的不动时间具有统计学意义。在 10mg HNK 治疗的情况下,与生理盐水相比,玻璃圆筒区域中化合物 C 和 D 组的不动时间差异显著。在运动敏化试验中,化合物 C 和 D 组在第 15 天和第 7 天的运动距离与第一天相比显著增加。在条件性位置偏爱实验中,与 Veh 组相比,化合物 C 和化合物 D 诱导了小鼠的条件性位置偏爱。

结论

强迫游泳试验、运动敏化试验和条件性位置偏爱试验的结果表明,化合物 C 和 D 可能具有一定的抗抑郁活性。然而,HNK 在 1 周内迅速产生显著的抗抑郁作用,但持续时间短。

https://cdn.ncbi.nlm.nih.gov/pmc/blobs/f1d0/11301192/e707ab826128/gr1.jpg

文献AI研究员

20分钟写一篇综述,助力文献阅读效率提升50倍。

立即体验

用中文搜PubMed

大模型驱动的PubMed中文搜索引擎

马上搜索

文档翻译

学术文献翻译模型,支持多种主流文档格式。

立即体验