Kim Hyeong Jin, Cho Jin-Rae
Department of Mechanical Engineering, University College London, London WC1E 7JE, UK.
Department of Naval Architecture and Ocean Engineering, Hongik University, Sejong 30016, Republic of Korea.
Materials (Basel). 2024 Jul 5;17(13):3332. doi: 10.3390/ma17133332.
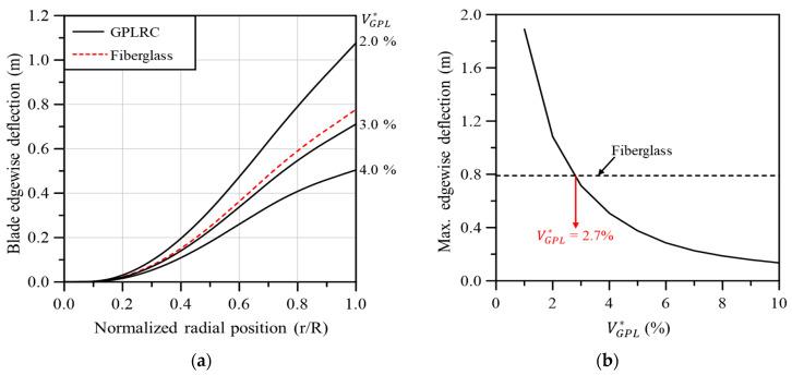
Renewable energy markets, particularly wind energy, have experienced remarkable growth, predominantly driven by the urgent need for decarbonization in the face of accelerating global warming. As the wind energy sector expands and turbines increase in size, there is a growing demand for advanced composite materials that offer both high strength and low density. Among these materials, graphene stands out for its excellent mechanical properties and low density. Incorporating graphene reinforcement into wind turbine blades has the potential to enhance generation efficiency and reduce the construction costs of foundation structures. As a pilot study of graphene reinforcement on wind turbine blades, this study aims to investigate the variations of mechanical characteristics and weights between traditional fiberglass-based blades and those reinforced with graphene platelets (GPLs). A finite element model of the SNL 61.5 m horizontal wind turbine blade is used and validated by comparing the analysis results with those presented in the existing literature. Case studies are conducted to explore the effects of graphene reinforcement on wind turbine blades in terms of mechanical characteristics, such as free vibration, bending, and torsional deformation. Furthermore, the masses and fabrication costs are compared among fiberglass, CNTRC, and GPLRC-based wind turbine blades. Finally, the results obtained from this study demonstrate the effectiveness of graphene reinforcement on wind turbine blades in terms of both their mechanical performance and weight reduction.
可再生能源市场,尤其是风能市场,经历了显著增长,这主要是由面对全球变暖加速时对脱碳的迫切需求所驱动。随着风能行业的扩张以及涡轮机尺寸的增大,对兼具高强度和低密度的先进复合材料的需求日益增长。在这些材料中,石墨烯因其出色的机械性能和低密度而脱颖而出。将石墨烯增强材料融入风力涡轮机叶片有提高发电效率和降低基础结构建造成本的潜力。作为对风力涡轮机叶片进行石墨烯增强的一项初步研究,本研究旨在探究传统玻璃纤维基叶片与用石墨烯片层(GPLs)增强的叶片之间机械特性和重量的差异。使用了SNL 61.5米水平风力涡轮机叶片的有限元模型,并通过将分析结果与现有文献中的结果进行比较来进行验证。开展案例研究以探讨石墨烯增强对风力涡轮机叶片机械特性的影响,如自由振动、弯曲和扭转变形。此外,还比较了基于玻璃纤维、碳纳米管增强复合材料(CNTRC)和基于石墨烯片层增强复合材料(GPLRC)的风力涡轮机叶片的质量和制造成本。最后,本研究所得结果证明了石墨烯增强在风力涡轮机叶片的机械性能和减重方面的有效性。