• 文献检索
  • 文档翻译
  • 深度研究
  • 学术资讯
  • Suppr Zotero 插件Zotero 插件
  • 邀请有礼
  • 套餐&价格
  • 历史记录
应用&插件
Suppr Zotero 插件Zotero 插件浏览器插件Mac 客户端Windows 客户端微信小程序
定价
高级版会员购买积分包购买API积分包
服务
文献检索文档翻译深度研究API 文档MCP 服务
关于我们
关于 Suppr公司介绍联系我们用户协议隐私条款
关注我们

Suppr 超能文献

核心技术专利:CN118964589B侵权必究
粤ICP备2023148730 号-1Suppr @ 2026

文献检索

告别复杂PubMed语法,用中文像聊天一样搜索,搜遍4000万医学文献。AI智能推荐,让科研检索更轻松。

立即免费搜索

文件翻译

保留排版,准确专业,支持PDF/Word/PPT等文件格式,支持 12+语言互译。

免费翻译文档

深度研究

AI帮你快速写综述,25分钟生成高质量综述,智能提取关键信息,辅助科研写作。

立即免费体验

接种本地发酵剂对中国传统发酵鱼在体外人体消化过程中亚硝胺及其前体变化的影响。

Effects of Inoculating Autochthonous Starter Cultures on Changes of Nitrosamines and Their Precursors in Chinese Traditional Fermented Fish during In Vitro Human Digestion.

作者信息

Li Han, Li Qian, Wang Qi, Chen Jiwang, Xia Wenshui, Liao E

机构信息

College of Food Science and Engineering, Wuhan Polytechnic University, Wuhan 430023, China.

Hubei Key Laboratory for Processing and Transformation of Agricultural Products, Ministry of Education, Wuhan 430023, China.

出版信息

Foods. 2024 Jun 26;13(13):2021. doi: 10.3390/foods13132021.

DOI:10.3390/foods13132021
PMID:38998527
原文链接:https://pmc.ncbi.nlm.nih.gov/articles/PMC11241300/
Abstract

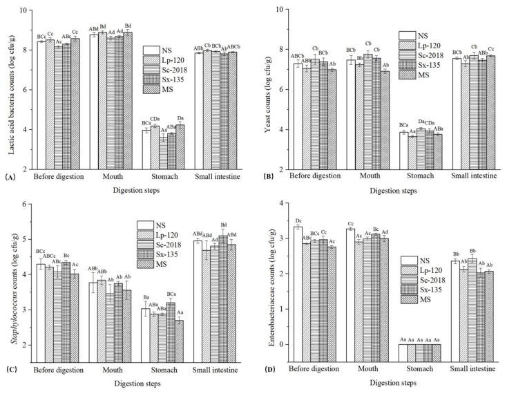
The objective of this research was to investigate the impact of inoculating autochthonous starter cultures on the alterations in microorganisms, biogenic amines, nitrite, and nitrosamines in Chinese traditional fermented fish products (CTFPs) during in vitro human digestion. The results revealed that gastric digestion significantly ( < 0.05) inhibited the proliferation of lactic acid bacteria, yeast, , and Enterobacteriaceae, whereas various microorganisms proliferated extensively during small intestine digestion. Meanwhile, small intestine digestion could significantly increase ( < 0.05) levels of putrescine, cadaverine, and tyramine. The reduced content observed in inoculated fermentation groups suggests that starter cultures may have the ability to deplete biogenic amines in this digestion stage. Gastric digestion significantly ( < 0.05) inhibited nitrite accumulation in all CTFPs samples. Conversely, the nitrite content increased significantly ( < 0.05) in all groups during subsequent small intestine digestion. However, the rise in the inoculated fermentation groups was smaller than that observed in the spontaneous fermentation group, indicating a potentially positive role of inoculated fermentation in inhibiting nitrite accumulation during this phase. Additionally, gastric digestion significantly ( < 0.05) elevated the levels of nitrosodimethylamine (NDMA) and nitrosopiperidine in CTFPs. Inoculation with 120, 2018, and mixed starter cultures ( 120, 2018, and 135 [1:1:1]) effectively increased the degree of depletion of NDMA during this digestion process.

摘要

本研究的目的是调查接种本地发酵剂对中国传统发酵鱼制品(CTFPs)在体外人体消化过程中微生物、生物胺、亚硝酸盐和亚硝胺变化的影响。结果表明,胃消化显著(<0.05)抑制了乳酸菌、酵母菌和肠杆菌科的增殖,而在小肠消化过程中各种微生物大量增殖。同时,小肠消化可显著(<0.05)提高腐胺、尸胺和酪胺的水平。接种发酵组中观察到的含量降低表明发酵剂在这个消化阶段可能具有消耗生物胺的能力。胃消化显著(<0.05)抑制了所有CTFPs样品中亚硝酸盐的积累。相反,在随后的小肠消化过程中,所有组中亚硝酸盐含量均显著(<0.05)增加。然而,接种发酵组的增幅小于自然发酵组,表明接种发酵在该阶段抑制亚硝酸盐积累方面可能具有积极作用。此外,胃消化显著(<0.05)提高了CTFPs中亚硝基二甲胺(NDMA)和亚硝基哌啶的水平。接种120、2018和混合发酵剂(120、2018和135 [1:1:1])在这个消化过程中有效提高了NDMA的消耗程度。

https://cdn.ncbi.nlm.nih.gov/pmc/blobs/7f12/11241300/ccf0afc42e4d/foods-13-02021-g004.jpg
https://cdn.ncbi.nlm.nih.gov/pmc/blobs/7f12/11241300/fbbb1917b49a/foods-13-02021-g001.jpg
https://cdn.ncbi.nlm.nih.gov/pmc/blobs/7f12/11241300/d7273f0a3f13/foods-13-02021-g002.jpg
https://cdn.ncbi.nlm.nih.gov/pmc/blobs/7f12/11241300/b6e7dcd3c50b/foods-13-02021-g003.jpg
https://cdn.ncbi.nlm.nih.gov/pmc/blobs/7f12/11241300/ccf0afc42e4d/foods-13-02021-g004.jpg
https://cdn.ncbi.nlm.nih.gov/pmc/blobs/7f12/11241300/fbbb1917b49a/foods-13-02021-g001.jpg
https://cdn.ncbi.nlm.nih.gov/pmc/blobs/7f12/11241300/d7273f0a3f13/foods-13-02021-g002.jpg
https://cdn.ncbi.nlm.nih.gov/pmc/blobs/7f12/11241300/b6e7dcd3c50b/foods-13-02021-g003.jpg
https://cdn.ncbi.nlm.nih.gov/pmc/blobs/7f12/11241300/ccf0afc42e4d/foods-13-02021-g004.jpg

相似文献

1
Effects of Inoculating Autochthonous Starter Cultures on Changes of Nitrosamines and Their Precursors in Chinese Traditional Fermented Fish during In Vitro Human Digestion.接种本地发酵剂对中国传统发酵鱼在体外人体消化过程中亚硝胺及其前体变化的影响。
Foods. 2024 Jun 26;13(13):2021. doi: 10.3390/foods13132021.
2
Effects of inoculating autochthonous starter cultures on N-nitrosodimethylamine and its precursors formation during fermentation of Chinese traditional fermented fish.接种土著发酵剂对中式发酵鱼发酵过程中 N-亚硝基二甲胺及其前体形成的影响。
Food Chem. 2019 Jan 15;271:174-181. doi: 10.1016/j.foodchem.2018.07.186. Epub 2018 Jul 26.
3
Nitrite, biogenic amines and volatile -nitrosamines in commercial Chinese traditional fermented fish products.商业中国传统发酵鱼制品中的亚硝酸盐、生物胺和挥发性亚硝胺。
Food Addit Contam Part B Surveill. 2022 Mar;15(1):10-19. doi: 10.1080/19393210.2021.1971303. Epub 2021 Aug 24.
4
The occurrence of N-nitrosamines, residual nitrite and biogenic amines in commercial dry fermented sausages and evaluation of their occasional relation.商业干发酵香肠中 N-亚硝胺、亚硝酸盐残留和生物胺的产生及其偶然关系的评价。
Meat Sci. 2014 Feb;96(2 Pt A):821-8. doi: 10.1016/j.meatsci.2013.09.010. Epub 2013 Sep 20.
5
Effects of starter cultures and nitrite levels on formation of biogenic amines in sucuk.发酵剂和亚硝酸盐水平对干腌牛肉香肠中生物胺形成的影响。
Meat Sci. 2007 Nov;77(3):424-30. doi: 10.1016/j.meatsci.2007.04.018. Epub 2007 Apr 29.
6
Novel starter cultures to inhibit biogenic amines accumulation during fish sauce fermentation.新型发酵剂抑制鱼露发酵过程中生物胺的积累。
Int J Food Microbiol. 2011 Jan 31;145(1):84-91. doi: 10.1016/j.ijfoodmicro.2010.11.031. Epub 2010 Nov 26.
7
Effect of six different starter cultures on the concentration of residual nitrite in fermented sausages during in vitro human digestion.六种不同发酵剂对发酵香肠在体外人体消化过程中亚硝酸盐残留量的影响。
Food Chem. 2018 Jan 15;239:556-560. doi: 10.1016/j.foodchem.2017.06.160. Epub 2017 Jul 1.
8
Investigating the effect on biogenic amines, nitrite, and N-nitrosamine degradation in cultured sausage ripening through inoculation of and .通过接种和研究其对发酵香肠成熟过程中生物胺、亚硝酸盐和N-亚硝胺降解的影响。
Front Microbiol. 2023 Mar 9;14:1156413. doi: 10.3389/fmicb.2023.1156413. eCollection 2023.
9
Effect of Fermentation with Different Lactic Acid Bacteria Starter Cultures on Biogenic Amine Content and Ripening Patterns in Dry Fermented Sausages.不同乳酸菌发酵剂对干发酵香肠生物胺含量和成熟模式的影响。
Nutrients. 2018 Oct 13;10(10):1497. doi: 10.3390/nu10101497.
10
The microbial community, biogenic amines content of soybean paste, and the degradation of biogenic amines by HM24.大豆酱的微生物群落、生物胺含量以及HM24对生物胺的降解作用。
Food Sci Nutr. 2021 Oct 26;9(12):6458-6470. doi: 10.1002/fsn3.2528. eCollection 2021 Dec.

本文引用的文献

1
A review of biogenic amines in fermented foods: Occurrence and health effects.发酵食品中生物胺的综述:存在情况及健康影响。
Heliyon. 2024 Jan 17;10(2):e24501. doi: 10.1016/j.heliyon.2024.e24501. eCollection 2024 Jan 30.
2
Characteristics of Lactic Acid Bacteria as Potential Probiotic Starters and Their Effects on the Quality of Fermented Sausages.乳酸菌作为潜在益生菌发酵剂的特性及其对发酵香肠品质的影响。
Foods. 2024 Jan 8;13(2):198. doi: 10.3390/foods13020198.
3
Antioxidant Activity of Beef, Pork and Chicken Burgers before and after Cooking and after In Vitro Intestinal Digestion.
牛肉、猪肉和鸡肉汉堡在烹饪前后以及体外肠道消化后的抗氧化活性
Foods. 2023 Nov 12;12(22):4100. doi: 10.3390/foods12224100.
4
Risk assessment of nitrosamines in food.食品中亚硝胺的风险评估。
EFSA J. 2023 Mar 28;21(3):e07884. doi: 10.2903/j.efsa.2023.7884. eCollection 2023 Mar.
5
Biogenic amines and volatile -nitrosamines in Chinese smoked-cured bacon (Larou) from industrial and artisanal origins.中式熏肉(腊肉)中生物胺和挥发性亚硝胺的研究(工业和手工来源)
Food Addit Contam Part B Surveill. 2023 Jun;16(2):143-160. doi: 10.1080/19393210.2023.2186489. Epub 2023 Mar 16.
6
Levels of nitrate, nitrite and nitrosamines in model sausages during heat treatment and in vitro digestion - The impact of adding nitrite and spinach (Spinacia oleracea L.).模型香肠在热处理和体外消化过程中硝酸盐、亚硝酸盐和亚硝胺的水平 - 添加亚硝酸盐和菠菜(Spinacia oleracea L.)的影响。
Food Res Int. 2023 Apr;166:112595. doi: 10.1016/j.foodres.2023.112595. Epub 2023 Feb 23.
7
Nitrite, biogenic amines and volatile -nitrosamines in commercial Chinese traditional fermented fish products.商业中国传统发酵鱼制品中的亚硝酸盐、生物胺和挥发性亚硝胺。
Food Addit Contam Part B Surveill. 2022 Mar;15(1):10-19. doi: 10.1080/19393210.2021.1971303. Epub 2021 Aug 24.
8
A narrative review on biogenic amines in fermented fish and meat products.发酵鱼和肉制品中生物胺的叙述性综述。
J Food Sci Technol. 2021 May;58(5):1623-1639. doi: 10.1007/s13197-020-04686-x. Epub 2020 Aug 6.
9
Correlations between microbiota succession and flavor formation during fermentation of Chinese low-salt fermented common carp (Cyprinus carpio L.) inoculated with mixed starter cultures.混合发酵剂接种的低盐发酵鲤鱼(Cyprinus carpio L.)发酵过程中微生物演替与风味形成的相关性。
Food Microbiol. 2020 Sep;90:103487. doi: 10.1016/j.fm.2020.103487. Epub 2020 Mar 18.
10
Lifetime cumulative exposure to rubber dust, fumes and N-nitrosamines and non-cancer mortality: a 49-year follow-up of UK rubber factory workers.一生中接触橡胶粉尘、烟雾和 N-亚硝胺以及非癌症死亡率:英国橡胶厂工人 49 年的随访研究。
Occup Environ Med. 2020 May;77(5):316-323. doi: 10.1136/oemed-2019-106269. Epub 2020 Jan 23.