• 文献检索
  • 文档翻译
  • 深度研究
  • 学术资讯
  • Suppr Zotero 插件Zotero 插件
  • 邀请有礼
  • 套餐&价格
  • 历史记录
应用&插件
Suppr Zotero 插件Zotero 插件浏览器插件Mac 客户端Windows 客户端微信小程序
定价
高级版会员购买积分包购买API积分包
服务
文献检索文档翻译深度研究API 文档MCP 服务
关于我们
关于 Suppr公司介绍联系我们用户协议隐私条款
关注我们

Suppr 超能文献

核心技术专利:CN118964589B侵权必究
粤ICP备2023148730 号-1Suppr @ 2026

文献检索

告别复杂PubMed语法,用中文像聊天一样搜索,搜遍4000万医学文献。AI智能推荐,让科研检索更轻松。

立即免费搜索

文件翻译

保留排版,准确专业,支持PDF/Word/PPT等文件格式,支持 12+语言互译。

免费翻译文档

深度研究

AI帮你快速写综述,25分钟生成高质量综述,智能提取关键信息,辅助科研写作。

立即免费体验

不同时间点应用骨蜡减少全膝关节置换术后失血的疗效和安全性:一项前瞻性随机对照试验。

Efficacy and Safety of Bone Wax Application at Different Time Points to Reduce Postoperative Blood Loss in Total Knee Arthroplasty: A Prospective Randomized Controlled Trial.

机构信息

Department of Orthopaedics Surgery, West China Hospital, Sichuan University, Chengdu, China.

Department of Orthopaedics, Hospital of Chengdu Office of People's Government of Tibetan Autonomous Region, Chengdu, China.

出版信息

Orthop Surg. 2024 Oct;16(10):2447-2453. doi: 10.1111/os.14177. Epub 2024 Jul 28.

DOI:10.1111/os.14177
PMID:39073003
原文链接:https://pmc.ncbi.nlm.nih.gov/articles/PMC11456724/
Abstract

OBJECTIVE

In addition to the surface hemorrhage of cancellous bone after large-area osteotomy, the intramedullary hemorrhage after the reamed knee joint is also a major cause of postoperative bleeding after total knee arthroplasty (TKA). This study evaluated the efficacy and safety of bone wax application at different time points of prone hemorrhage to reduce perioperative blood loss.

METHODS

From August 2023 to December 2023, 150 patients undergoing primary unilateral TKA were included in this prospective, randomized controlled trial, patients were randomly divided into three groups: group A, after autogenous osteotomy plug was used to fill the femoral medullary cavity, the residual space was sealed with bone wax and the exposed cancellous bone surface around the prosthesis was coated with bone wax after the prosthesis adhesion; group B, only the exposed cancellous bone surface around the prosthesis was coated with bone wax; and group C, no bone wax was used. The primary outcome was total perioperative blood loss. Secondary outcomes included occult blood loss, postoperative hemoglobin reduction, blood transfusion rate, lower limb diameter, and knee function, while length of hospital stay was recorded. Tertiary outcomes included the incidence of postoperative related adverse events.

RESULTS

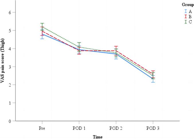
The total blood loss in group A (551.5 ± 224.5 mL) and group B (656.3 ± 267.7 mL) was significantly lower than that in group C (755.3 ± 248.3 ml, p < 0.001), and the total blood loss in group A was also lower than that in group B (p < 0.05). There were also significant differences in the reduction of hemoglobin level and hidden blood loss among the three groups (p < 0.05). However, there was no significant improvement in postoperative lower limb swelling, knee joint activity and hospitalization time; there was no significant difference in the incidence of complications such as thromboembolism.

CONCLUSION

The use of bone wax in TKA can safely and effectively reduce perioperative blood loss and hemoglobin drop rate, and multiple use at time points during the operation when blood loss is prone to occur can produce more significant hemostatic effect.

摘要

目的

除大面积截骨术后的松质骨表面出血外,扩髓后髓内出血也是全膝关节置换术后出血的主要原因。本研究评估了在俯卧位出血的不同时间点使用骨蜡以减少围手术期失血的效果和安全性。

方法

2023 年 8 月至 2023 年 12 月,前瞻性随机对照试验纳入了 150 例行初次单侧 TKA 的患者,患者被随机分为三组:A 组,在使用自体骨块填充股骨髓腔后,用骨蜡封闭残腔,在假体附着后涂覆假体周围暴露的松质骨表面;B 组,仅涂覆假体周围暴露的松质骨表面;C 组,不使用骨蜡。主要结局是总围手术期失血量。次要结局包括隐性失血量、术后血红蛋白降低、输血率、下肢直径和膝关节功能,同时记录住院时间。三级结局包括术后相关不良事件的发生率。

结果

A 组(551.5±224.5ml)和 B 组(656.3±267.7ml)的总失血量明显低于 C 组(755.3±248.3ml,p<0.001),A 组也明显低于 B 组(p<0.05)。三组血红蛋白水平下降和隐性失血减少也有显著差异(p<0.05)。然而,术后下肢肿胀、膝关节活动度和住院时间无明显改善;血栓栓塞等并发症的发生率无显著差异。

结论

TKA 中使用骨蜡可以安全有效地减少围手术期失血量和血红蛋白下降率,在容易发生出血的手术时点击使用可以产生更显著的止血效果。

https://cdn.ncbi.nlm.nih.gov/pmc/blobs/ec50/11456724/26e4c5ccf61b/OS-16-2447-g001.jpg
https://cdn.ncbi.nlm.nih.gov/pmc/blobs/ec50/11456724/6a628807f82e/OS-16-2447-g002.jpg
https://cdn.ncbi.nlm.nih.gov/pmc/blobs/ec50/11456724/26e4c5ccf61b/OS-16-2447-g001.jpg
https://cdn.ncbi.nlm.nih.gov/pmc/blobs/ec50/11456724/6a628807f82e/OS-16-2447-g002.jpg
https://cdn.ncbi.nlm.nih.gov/pmc/blobs/ec50/11456724/26e4c5ccf61b/OS-16-2447-g001.jpg

相似文献

1
Efficacy and Safety of Bone Wax Application at Different Time Points to Reduce Postoperative Blood Loss in Total Knee Arthroplasty: A Prospective Randomized Controlled Trial.不同时间点应用骨蜡减少全膝关节置换术后失血的疗效和安全性:一项前瞻性随机对照试验。
Orthop Surg. 2024 Oct;16(10):2447-2453. doi: 10.1111/os.14177. Epub 2024 Jul 28.
2
Bone Wax Is Effective in Reducing Blood Loss After Total Knee Arthroplasty.骨蜡在减少全膝关节置换术后失血方面有效。
J Arthroplasty. 2017 May;32(5):1483-1487. doi: 10.1016/j.arth.2016.12.028. Epub 2016 Dec 24.
3
Topical hemostatic procedures control blood loss in bilateral cemented single-stage total knee arthroplasty.局部止血程序可控制双侧骨水泥型单阶段全膝关节置换术中的失血。
J Orthop Sci. 2014 Nov;19(6):948-53. doi: 10.1007/s00776-014-0621-4. Epub 2014 Aug 27.
4
Use of bone wax reduces blood loss and transfusion rates after total knee arthroplasty.使用骨蜡可减少全膝关节置换术后的失血量和输血率。
Knee. 2020 Oct;27(5):1411-1417. doi: 10.1016/j.knee.2020.07.074. Epub 2020 Aug 19.
5
Multiple Boluses of Intravenous Tranexamic Acid to Reduce Hidden Blood Loss After Primary Total Knee Arthroplasty Without Tourniquet: A Randomized Clinical Trial.多次静脉注射氨甲环酸以减少无止血带的初次全膝关节置换术后隐性失血:一项随机临床试验
J Arthroplasty. 2016 Nov;31(11):2458-2464. doi: 10.1016/j.arth.2016.04.034. Epub 2016 May 6.
6
The use of fibrin tissue adhesive to reduce blood loss and the need for blood transfusion after total knee arthroplasty. A prospective, randomized, multicenter study.使用纤维蛋白组织粘合剂减少全膝关节置换术后的失血及输血需求。一项前瞻性、随机、多中心研究。
J Bone Joint Surg Am. 1999 Nov;81(11):1580-8. doi: 10.2106/00004623-199911000-00010.
7
Comparison of three methods for sealing of the intramedullary femoral canal during total knee arthroplasty; a randomized controlled trial.三种方法在全膝关节置换术中封闭髓内股骨髓腔的比较:一项随机对照试验。
Arch Orthop Trauma Surg. 2023 Jun;143(6):3309-3317. doi: 10.1007/s00402-022-04596-x. Epub 2022 Aug 26.
8
Efficacy and Safety of Postoperative Intravenous Tranexamic Acid in Total Knee Arthroplasty: A Prospective Randomized Controlled Study.术后静脉注射氨甲环酸在全膝关节置换术中的疗效和安全性:一项前瞻性随机对照研究。
Orthop Surg. 2021 Dec;13(8):2227-2235. doi: 10.1111/os.13045. Epub 2021 Oct 19.
9
Efficacy of Different Doses of Intra-Articular Tranexamic Acid for Reducing Blood Loss and Lower Limb Swelling After Total Knee Arthroplasty: A Prospective, Randomized, Controlled Trial.不同剂量关节腔内注射氨甲环酸对全膝关节置换术后减少失血及下肢肿胀的疗效:一项前瞻性、随机、对照试验
Orthop Surg. 2025 Mar;17(3):733-743. doi: 10.1111/os.14317. Epub 2024 Dec 13.
10
Efficacy and safety of bone wax to reduce sternal bleeding following coronary bypass surgery.骨蜡减少冠状动脉搭桥术后胸骨出血的有效性和安全性。
Ann Thorac Cardiovasc Surg. 2014;20(3):213-6. doi: 10.5761/atcs.oa.12.02186. Epub 2013 Apr 11.

本文引用的文献

1
Risk factors for blood transfusion and postoperative anaemia following total knee arthroplasty.全膝关节置换术后输血和术后贫血的危险因素。
Bone Joint J. 2023 Oct 1;105-B(10):1086-1093. doi: 10.1302/0301-620X.105B10.BJJ-2023-0030.R2.
2
Thromboprophylaxis with unilateral pneumatic device led to less edema and blood loss compared to enoxaparin after knee arthroplasty: randomized trial.与依诺肝素相比,膝关节置换术后使用单侧气动装置进行血栓预防可导致更少的水肿和出血:随机试验。
BMC Musculoskelet Disord. 2022 Nov 15;23(1):984. doi: 10.1186/s12891-022-05910-9.
3
Comparison of three methods for sealing of the intramedullary femoral canal during total knee arthroplasty; a randomized controlled trial.
三种方法在全膝关节置换术中封闭髓内股骨髓腔的比较:一项随机对照试验。
Arch Orthop Trauma Surg. 2023 Jun;143(6):3309-3317. doi: 10.1007/s00402-022-04596-x. Epub 2022 Aug 26.
4
The Efficacy of Bone Wax in Reduction of Perioperative Blood Loss in Total Hip Arthroplasty via Direct Anterior Approach: A Prospective Randomized Clinical Trial.骨蜡对直接前路全髋关节置换术围手术期失血的减少效果:一项前瞻性随机临床试验
J Bone Joint Surg Am. 2022 Oct 19;104(20):1805-1813. doi: 10.2106/JBJS.22.00376. Epub 2022 Aug 18.
5
Does the intramedullary femoral canal plug reduce blood loss during total knee arthroplasty?股骨髓内植骨栓能否减少全膝关节置换术中的失血?
Knee Surg Relat Res. 2022 Jun 28;34(1):31. doi: 10.1186/s43019-022-00160-4.
6
Complications and downsides of the robotic total knee arthroplasty: a systematic review.机器人全膝关节置换术的并发症和缺点:系统评价。
Knee Surg Sports Traumatol Arthrosc. 2023 Mar;31(3):736-750. doi: 10.1007/s00167-022-07031-1. Epub 2022 Jun 18.
7
Pathologic mechanism of hidden blood loss after total knee arthroplasty: oxidative stress induced by free fatty acids.全膝关节置换术后隐性失血的病理机制:游离脂肪酸诱导的氧化应激
Int J Clin Exp Pathol. 2022 Mar 15;15(3):88-96. eCollection 2022.
8
Avoiding Femoral Canal Instrumentation in Computer-Assisted Total Knee Arthroplasty With Contemporary Blood Management Had Minimal Differences in Blood Loss and Transfusion Rates Compared to Conventional Techniques.与传统技术相比,采用当代血液管理避免股道器械置入的计算机辅助全膝关节置换术在失血量和输血率方面差异极小。
J Arthroplasty. 2022 Jul;37(7):1278-1282. doi: 10.1016/j.arth.2022.02.072. Epub 2022 Feb 24.
9
Tourniquetless Total Knee Arthroplasty: History, Controversies, and Technique.无止血带全膝关节置换术:历史、争议和技术。
J Am Acad Orthop Surg. 2021 Jan 1;29(1):17-23. doi: 10.5435/JAAOS-D-20-00321.
10
Prevention of infection in primary THA and TKA.初次全髋关节置换术和全膝关节置换术中感染的预防。
EFORT Open Rev. 2020 Oct 26;5(10):604-613. doi: 10.1302/2058-5241.5.200004. eCollection 2020 Oct.