Suppr超能文献

心脏手术后患者急性肾损伤的发病率、危险因素及预后

The incidence, risk factors, and prognosis of acute kidney injury in patients after cardiac surgery.

作者信息

Wang Xian-Dong, Bao Rui, Lan Yang, Zhao Zhen-Zhen, Yang Xin-Yue, Wang Yun-Yun, Quan Zhi-Yong, Wang Jia-Feng, Bian Jin-Jun

机构信息

Faculty of Anesthesiology, Changhai Hospital, Naval Medical University, Shanghai, China.

出版信息

Front Cardiovasc Med. 2024 Jul 16;11:1396889. doi: 10.3389/fcvm.2024.1396889. eCollection 2024.

Abstract

BACKGROUND

Acute kidney injury (AKI) represents a significant complication following cardiac surgery, associated with increased morbidity and mortality rates. Despite its clinical importance, there is a lack of universally applicable and reliable methods for the early identification and diagnosis of AKI. This study aimed to examine the incidence of AKI after cardiac surgery, identify associated risk factors, and evaluate the prognosis of patients with AKI.

METHOD

This retrospective study included adult patients who underwent cardiac surgery at Changhai Hospital between January 7, 2021, and December 31, 2021. AKI was defined according to the Kidney Disease: Improving Global Outcomes (KDIGO) criteria. Perioperative data were retrospectively obtained from electronic health records. Logistic regression analyses were used to identify independent risk factors for AKI. The 30-day survival was assessed using the Kaplan-Meier method, and differences between survival curves for different AKI severity levels were compared using the log-rank test.

RESULTS

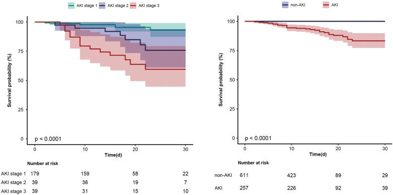
Postoperative AKI occurred in 257 patients (29.6%), categorized as stage 1 (179 patients, 20.6%), stage 2 (39 patients, 4.5%), and stage 3 (39 patients, 4.5%). The key independent risk factors for AKI included increased mean platelet volume (MPV) and the volume of intraoperative cryoprecipitate transfusions. The 30-day mortality rate was 3.2%. Kaplan-Meier analysis showed a lower survival rate in the AKI group (89.1%) compared to the non-AKI group (100%,  < 0.001).

CONCLUSION

AKI was notably prevalent following cardiac surgery in this study, significantly impacting survival rates. Notably, MPV and administration of cryoprecipitate may have new considerable predictive significance. Proactive identification and management of high-risk individuals are essential for reducing postoperative complications and mortality.

摘要

背景

急性肾损伤(AKI)是心脏手术后的一种严重并发症,与发病率和死亡率的增加相关。尽管其具有临床重要性,但目前缺乏普遍适用且可靠的AKI早期识别和诊断方法。本研究旨在探讨心脏手术后AKI的发生率,确定相关危险因素,并评估AKI患者的预后。

方法

本回顾性研究纳入了2021年1月7日至2021年12月31日在长海医院接受心脏手术的成年患者。AKI根据肾脏病:改善全球预后(KDIGO)标准进行定义。围手术期数据通过电子健康记录进行回顾性获取。采用逻辑回归分析确定AKI的独立危险因素。使用Kaplan-Meier方法评估30天生存率,并使用对数秩检验比较不同AKI严重程度水平生存曲线之间的差异。

结果

术后257例患者(29.6%)发生AKI,分为1期(179例患者,20.6%)、2期(39例患者,4.5%)和3期(39例患者,4.5%)。AKI的关键独立危险因素包括平均血小板体积(MPV)增加和术中冷沉淀输注量。30天死亡率为3.2%。Kaplan-Meier分析显示,AKI组的生存率(89.1%)低于非AKI组(100%,P<0.001)。

结论

在本研究中,AKI在心脏手术后明显普遍存在,对生存率有显著影响。值得注意的是,MPV和冷沉淀的使用可能具有新的重要预测意义。积极识别和管理高危个体对于减少术后并发症和死亡率至关重要。

https://cdn.ncbi.nlm.nih.gov/pmc/blobs/f231/11286402/ed1eaf550817/fcvm-11-1396889-g001.jpg

文献检索

告别复杂PubMed语法,用中文像聊天一样搜索,搜遍4000万医学文献。AI智能推荐,让科研检索更轻松。

立即免费搜索

文件翻译

保留排版,准确专业,支持PDF/Word/PPT等文件格式,支持 12+语言互译。

免费翻译文档

深度研究

AI帮你快速写综述,25分钟生成高质量综述,智能提取关键信息,辅助科研写作。

立即免费体验