Suppr超能文献

在急性胰腺炎严重程度床边指数评分预测系统中,使用酸中毒作为替代指标或补充指标效果不显著。

Using Acidosis as a Surrogate for or Supplement to the Bedside Index of Severity in Acute Pancreatitis Scoring Prediction System Has a Nonsignificant Effect.

作者信息

Checketts Thomas R, Sidhu Suhail, Reiche Will S, Walters Ryan W, Buaisha Haitam

机构信息

Internal Medicine, Creighton University School of Medicine, Omaha, USA.

Medicine, Creighton University School of Medicine, Omaha, USA.

出版信息

Cureus. 2024 Jul 4;16(7):e63826. doi: 10.7759/cureus.63826. eCollection 2024 Jul.

Abstract

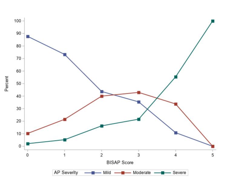
Currently, risk stratification calculators for acute pancreatitis (AP) can at best predict acute pancreatitis mortality at 12 hours from the presentation. Given the severe morbidity associated with AP, the identification of additional prognostic indicators, which may afford earlier prediction in length of stay (LOS) and mortality, is desired. Metabolic acidosis can be a prognostic marker for the severity of AP, and venous bicarbonate can reliably and accurately be substituted for arterial base deficit to detect metabolic acidosis. Since serum bicarbonate, anion gap (AG), and corrected AG (CAG) are routinely obtained upon presentation to the emergency department and often daily in the hospital, we conducted a retrospective analysis of 443 patients, evaluating if venous bicarbonate could predict the severity of pancreatitis as well as mortality, admission to the ICU, ICU LOS, and hospital LOS. The inclusion of venous bicarbonate, AG, and CAG in the first 12 hours only slightly improved the predictive capabilities of the Bedside Index for Severity in Acute Pancreatitis (BISAP) score for these secondary outcomes. None of our incorporations of acidemia improved severity predictions more than the BISAP alone. Adding CAG to BISAP scoring had the largest effect on predicting ICU admission and hospital LOS (area under the curve (AUC): 1.12 (confidence interval (CI) 95%: 1.06-1.19), p <.001 and AUC 1.02 (CI 95% 1.01-1.04), p <.001; respectively). ICU LOS was not impacted by the addition of AG, CAG, or venous bicarbonate. In-hospital death (n=12) was too small to be determined.

摘要

目前,急性胰腺炎(AP)的风险分层计算器最多只能预测发病后12小时内的急性胰腺炎死亡率。鉴于AP相关的严重发病率,人们期望能够识别出其他预后指标,以便更早地预测住院时间(LOS)和死亡率。代谢性酸中毒可能是AP严重程度的一个预后标志物,静脉血碳酸氢盐可以可靠且准确地替代动脉碱缺失来检测代谢性酸中毒。由于血清碳酸氢盐、阴离子间隙(AG)和校正阴离子间隙(CAG)在患者到急诊科就诊时常规获取,且在医院通常每天检测,我们对443例患者进行了回顾性分析,评估静脉血碳酸氢盐是否能够预测胰腺炎的严重程度以及死亡率、入住重症监护病房(ICU)情况、ICU住院时间和住院时间。仅在前12小时纳入静脉血碳酸氢盐、AG和CAG,对于这些次要结局,仅略微提高了急性胰腺炎床边严重程度指数(BISAP)评分的预测能力。我们纳入酸血症的所有方法对严重程度预测的改善均未超过单独使用BISAP评分。在BISAP评分中加入CAG对预测ICU入住和住院时间的影响最大(曲线下面积(AUC):1.12(95%置信区间(CI):1.06 - 1.19),p <.001;以及AUC 1.02(CI 95% 1.01 - 1.04);p <.001;分别)。AG、CAG或静脉血碳酸氢盐的加入对ICU住院时间没有影响。院内死亡患者数量(n = 12)太少,无法进行判定。

https://cdn.ncbi.nlm.nih.gov/pmc/blobs/5db8/11297637/646681a8dbc3/cureus-0016-00000063826-i01.jpg

文献检索

告别复杂PubMed语法,用中文像聊天一样搜索,搜遍4000万医学文献。AI智能推荐,让科研检索更轻松。

立即免费搜索

文件翻译

保留排版,准确专业,支持PDF/Word/PPT等文件格式,支持 12+语言互译。

免费翻译文档

深度研究

AI帮你快速写综述,25分钟生成高质量综述,智能提取关键信息,辅助科研写作。

立即免费体验