Departamento de Química Analítica, Escuela Politécnica Superior, Universidad de Sevilla, C/Virgen de África 7, E-41011 Seville, Spain.
Molecules. 2024 Jul 24;29(15):3471. doi: 10.3390/molecules29153471.
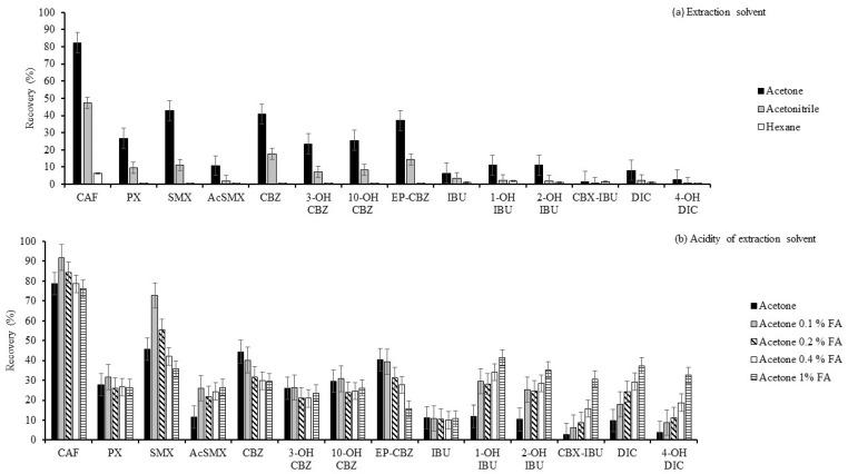
The irrigation of soils with reclaimed contaminated wastewater or its amendment with sewage sludge contributes to the uptake of pharmaceuticals by vegetables growing in the soil. A multiresidue method has been devised to determine five pharmaceuticals and nine of their main metabolites in leafy and root vegetables. The method employs ultrasound-assisted extraction, clean-up via dispersive solid-phase extraction, and analysis through liquid chromatography-tandem mass spectrometry. Box-Behnken design was used to refine variables such as extraction solvent volume, time of extraction, number of extraction cycles, and the type and amount of d-SPE sorbent. The method achieved linearity (R) greater than 0.994, precision (relative standard deviation) under 16% for most compounds, and detection limits ranging from 0.007 to 2.25 ng g dry weight. This method was applied to a leafy vegetable (lettuce) and to a root vegetable (carrot) sourced from a local market. Parent compounds were detected at higher concentrations than their metabolites, with the exception of carbamazepine-10,11-epoxide.
受污染的再生废水灌溉土壤或用污水污泥改良土壤,都会导致生长在土壤中的蔬菜吸收药物。本文设计了一种多残留方法,用于测定叶菜类和根茎类蔬菜中的 5 种药物及其 9 种主要代谢物。该方法采用超声辅助提取、分散固相萃取净化,以及液相色谱-串联质谱分析。Box-Behnken 设计用于优化提取溶剂体积、提取时间、提取循环次数、d-SPE 吸附剂的类型和用量等变量。该方法的线性(R)大于 0.994,大多数化合物的精密度(相对标准偏差)小于 16%,检测限范围为 0.007 至 2.25ng/g 干重。该方法应用于一种叶菜(生菜)和一种根茎类蔬菜(胡萝卜),均来自当地市场。除了卡马西平-10,11-环氧外,母体化合物的浓度高于其代谢物。