Suppr超能文献

小儿Ebstein 畸形矫正术后住院时间的预测因素:一项回顾性队列研究。

Predictors of length of hospital stay after pediatric Ebstein anomaly corrective surgery: a retrospective cohort study.

机构信息

1Department of Anesthesiology, Fuwai Hospital, National Center of Cardiovascular Diseases, Chinese Academy of Medical Sciences and Peking Union Medical College, 167 Beilishi Road, Xicheng District, Beijing, 100037, China.

出版信息

BMC Pediatr. 2024 Aug 10;24(1):515. doi: 10.1186/s12887-024-04936-3.

Abstract

BACKGROUND

The remarkable advancements in surgical techniques over recent years have shifted the clinical focus from merely reducing mortality to enhancing the quality of postoperative recovery. The duration of a patient's hospital stay serves as a crucial indicator in evaluating postoperative recovery and surgical outcomes. This study aims to identify predictors of the length of hospital stay for children who have undergone corrective surgery for Ebstein Anomaly (EA).

METHODS

We conducted a retrospective cohort study on children (under 18 years of age) diagnosed with EA who were admitted for corrective surgery between January 2009 and November 2021 at Fuwai Hospital. The primary outcome was the Time to Hospital Discharge (THD). Cox proportional hazard models were utilized to identify predictors of THD. In the context of time-to-event analysis, discharge was considered an event. In cases where death occurred before discharge, it was defined as an extended THD, input as 100 days (exceeding the longest observed THD), and considered as a non-event.

RESULTS

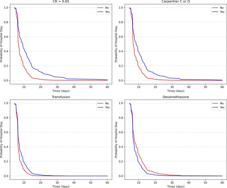
A total of 270 children were included in this study, out of which three died in the hospital. Following the Cox proportional hazard analysis, six predictors of THD were identified. The hazard ratios and corresponding 95% confidence intervals were as follows: age, 1.030(1.005,1.055); C/R > 0.65, 0.507(0.364,0.707); Carpentier type C or D, 0.578(0.429,0.779); CPB time, 0.995(0.991,0.998); dexamethasone, 1.373(1.051,1.795); and transfusion, 0.680(0.529,0.875). The children were categorized into three groups based on the quartile of THD. Compared to children in the ≤ 6 days group, those in the ≥ 11 days group were associated with a higher incidence of adverse outcomes. Additionally, the duration of mechanical ventilation and ICU stay, as well as hospital costs, were significantly higher in this group.

CONCLUSION

We identified six predictors of THD for children undergoing corrective surgery for EA. Clinicians can utilize these variables to optimize perioperative management strategies, reduce adverse complications, improve postoperative recovery, and reduce unnecessary medical expenses.

摘要

背景

近年来,外科手术技术的显著进步已经将临床重点从仅仅降低死亡率转移到提高术后恢复质量上。患者的住院时间是评估术后恢复和手术结果的重要指标。本研究旨在确定接受 Ebstein 异常(EA)矫正手术的儿童住院时间的预测因素。

方法

我们对 2009 年 1 月至 2021 年 11 月在阜外医院接受 EA 矫正手术的年龄在 18 岁以下的儿童进行了回顾性队列研究。主要结局是住院时间(THD)。Cox 比例风险模型用于识别 THD 的预测因素。在时间事件分析中,出院被视为事件。如果在出院前死亡,则定义为延长 THD,输入为 100 天(超过最长观察到的 THD),并视为非事件。

结果

本研究共纳入 270 名儿童,其中 3 人在医院死亡。经过 Cox 比例风险分析,确定了 THD 的 6 个预测因素。风险比及其相应的 95%置信区间如下:年龄,1.030(1.005,1.055);C/R > 0.65,0.507(0.364,0.707);Carpentier 分型 C 或 D,0.578(0.429,0.779);CPB 时间,0.995(0.991,0.998);地塞米松,1.373(1.051,1.795);输血,0.680(0.529,0.875)。根据 THD 的四分位间距将儿童分为三组。与住院时间≤6 天的儿童相比,住院时间≥11 天的儿童不良结局发生率更高。此外,该组机械通气和 ICU 住院时间以及住院费用明显更高。

结论

我们确定了接受 EA 矫正手术的儿童 THD 的 6 个预测因素。临床医生可以利用这些变量来优化围手术期管理策略,减少不良并发症,改善术后恢复,并降低不必要的医疗费用。

https://cdn.ncbi.nlm.nih.gov/pmc/blobs/40a9/11316292/8ee5cbce5846/12887_2024_4936_Fig1_HTML.jpg

文献AI研究员

20分钟写一篇综述,助力文献阅读效率提升50倍。

立即体验

用中文搜PubMed

大模型驱动的PubMed中文搜索引擎

马上搜索

文档翻译

学术文献翻译模型,支持多种主流文档格式。

立即体验