Suppr超能文献

细胞周期蛋白依赖性激酶 4/6 抑制剂对转移性乳腺癌患者循环细胞的影响。

Effect of Cyclin-Dependent Kinase 4/6 Inhibitors on Circulating Cells in Patients with Metastatic Breast Cancer.

机构信息

Academic Trials Promoting Team, Institut Jules Bordet, Université Libre de Bruxelles (U.L.B.), 1070 Bruxelles, Belgium.

Medical Oncology Department, Hospital de Santa Maria, Centro Hospitalar Universitário Lisboa Norte, 1649-028 Lisbon, Portugal.

出版信息

Cells. 2024 Aug 21;13(16):1391. doi: 10.3390/cells13161391.

Abstract

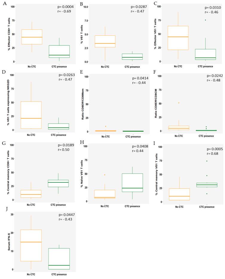
The combination of cyclin-dependent kinase 4/6 inhibitors (CDK4/6i) with endocrine therapy (ET) is the standard-of-care for estrogen receptor (ER)-positive, HER2-negative (ER+/HER2- advanced/metastatic breast cancer (mBC). However, the impact of CDK4/6i on circulating immune cells and circulating tumor cells (CTCs) in patients receiving CDK4/6i and ET (CDK4/6i+ET) remains poorly understood. This was a prospective cohort study including 44 patients with ER+/HER2- mBC treated with CDK4/6i+ET in either first or second line. Peripheral blood samples were collected before (baseline) and 3 months (t2) after therapy. Immune cell's subsets were quantified by flow cytometry, and microfluidic-captured CTCs were counted and classified according to the expression of cytokeratin and/or vimentin. Patients were categorized according to response as responders (progression-free survival [PFS] ≥ 6.0 months; 79.1%) and non-responders (PFS < 6.0 months; 20.9%). CDK4/6i+ET resulted in significant changes in the hematological parameters, including decreased hemoglobin levels and increased mean corpuscular volume, as well as reductions in neutrophil, eosinophil, and basophil counts. Specific immune cell subsets, such as early-stage myeloid-derived suppressor cells, central memory CD4+ T cells, and Vδ2+ T cells expressing NKG2D, decreased 3 months after CDK4/6i+ET. Additionally, correlations between the presence of CTCs and immune cell populations were observed, highlighting the interplay between immune dysfunction and tumor dissemination. This study provides insights into the immunomodulatory effects of CDK4/6i+ET, underscoring the importance of considering immune dynamics in the management of ER+/HER2- mBC.

摘要

CDK4/6 抑制剂(CDK4/6i)与内分泌治疗(ET)联合治疗是雌激素受体(ER)阳性、HER2 阴性(ER+/HER2-)晚期/转移性乳腺癌(mBC)的标准治疗方法。然而,CDK4/6i 对接受 CDK4/6i+ET 治疗的患者循环免疫细胞和循环肿瘤细胞(CTC)的影响仍知之甚少。这是一项包括 44 例接受 CDK4/6i+ET 一线或二线治疗的 ER+/HER2-mBC 患者的前瞻性队列研究。在治疗前(基线)和 3 个月(t2)采集外周血样本。通过流式细胞术定量检测免疫细胞亚群,根据细胞角蛋白和/或波形蛋白的表达对微流控捕获的 CTC 进行计数和分类。根据无进展生存期(PFS)≥6.0 个月(79.1%)和<6.0 个月(20.9%)将患者分为应答者和无应答者。CDK4/6i+ET 导致血液学参数发生显著变化,包括血红蛋白水平降低和平均红细胞体积增加,以及中性粒细胞、嗜酸性粒细胞和嗜碱性粒细胞计数减少。特定的免疫细胞亚群,如早期髓样来源的抑制细胞、中央记忆 CD4+T 细胞和表达 NKG2D 的 Vδ2+T 细胞,在 CDK4/6i+ET 治疗 3 个月后减少。此外,还观察到 CTC 与免疫细胞群之间存在相关性,突出了免疫功能障碍与肿瘤播散之间的相互作用。本研究提供了对 CDK4/6i+ET 免疫调节作用的深入了解,强调了在 ER+/HER2-mBC 管理中考虑免疫动态的重要性。

https://cdn.ncbi.nlm.nih.gov/pmc/blobs/3774/11487375/e3f711d426c2/cells-13-01391-g001.jpg

文献检索

告别复杂PubMed语法,用中文像聊天一样搜索,搜遍4000万医学文献。AI智能推荐,让科研检索更轻松。

立即免费搜索

文件翻译

保留排版,准确专业,支持PDF/Word/PPT等文件格式,支持 12+语言互译。

免费翻译文档

深度研究

AI帮你快速写综述,25分钟生成高质量综述,智能提取关键信息,辅助科研写作。

立即免费体验