Suppr超能文献

使用密度泛函理论对β-二乙酰胺气相分解动力学和机理的计算研究。

Computational Study of the Kinetics and Mechanisms of Gas-Phase Decomposition of -Diacetamides Using Density Functional Theory.

作者信息

Gabidia Torres Oswaldo Luis, Loroño Marcos, Paz Rojas Jose Luis, Garrido Schaeffer Cecilio Julio Alberto, Linares Fuentes Thais Cleofe, Cordova Sintjago Tania Cecilia

机构信息

Departamento Académico de Fisicoquímica, Facultad de Química e Ingeniería Química, Universidad Nacional Mayor de San Marcos, Lima 15081, Peru.

Departamento Académico de Química Inorgánica, Facultad de Química e Ingeniería Química, Universidad Nacional Mayor de San Marcos, Lima 15081, Peru.

出版信息

Molecules. 2024 Aug 13;29(16):3833. doi: 10.3390/molecules29163833.

Abstract

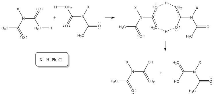
In this research work, we examined the decomposition mechanisms of -substituted diacetamides. We focused on the substituent effect on the nitrogen lone-pair electron delocalization, with electron-withdrawing and electron donor groups. DFT functionals used the following: B1LYP, B3PW91, CAMB3LYP, LC-BLYP, and X3LYP. Dispersion corrections (d3bj) with Becke-Johnson damping were applied when necessary to improve non-covalent interactions in the transition state. Pople basis sets with higher angular moments and def2-TZVP basis sets were also applied and were crucial for obtaining consistent thermodynamic parameters. The proposed mechanism involves a six-membered transition state with the extraction of an α hydrogen. Several conformers of -diacetamides were used to account for the decrease in entropy in the transition state in the rate-determining state. All calculations, including natural bond orbital (NBO) analyses, were performed using the Gaussian16 computational package and its GaussView 6.0 visualizer, along with VMD and GNUPLOT software. The isosurfaces and IBSIs were calculated using MultiWFN and IGMPlot, respectively.

摘要

在这项研究工作中,我们研究了α-取代二乙酰胺的分解机制。我们重点关注吸电子基团和供电子基团对氮孤对电子离域的取代基效应。使用的密度泛函理论(DFT)泛函如下:B1LYP、B3PW91、CAMB3LYP、LC-BLYP和X3LYP。必要时应用带有Becke-Johnson阻尼的色散校正(d3bj)以改善过渡态中的非共价相互作用。还应用了具有更高角动量的Pople基组和def2-TZVP基组,这对于获得一致的热力学参数至关重要。所提出的机制涉及一个六元过渡态,其中α氢被提取。使用α-二乙酰胺的几种构象异构体来解释速率决定态过渡态中熵的降低。所有计算,包括自然键轨道(NBO)分析,均使用Gaussian16计算软件包及其GaussView 6.0可视化工具,以及VMD和GNUPLOT软件进行。等值面和IBSIs分别使用MultiWFN和IGMPlot计算。

https://cdn.ncbi.nlm.nih.gov/pmc/blobs/5ce6/11356786/371739c2b839/molecules-29-03833-g001.jpg

文献AI研究员

20分钟写一篇综述,助力文献阅读效率提升50倍。

立即体验

用中文搜PubMed

大模型驱动的PubMed中文搜索引擎

马上搜索

文档翻译

学术文献翻译模型,支持多种主流文档格式。

立即体验