• 文献检索
  • 文档翻译
  • 深度研究
  • 学术资讯
  • Suppr Zotero 插件Zotero 插件
  • 邀请有礼
  • 套餐&价格
  • 历史记录
应用&插件
Suppr Zotero 插件Zotero 插件浏览器插件Mac 客户端Windows 客户端微信小程序
定价
高级版会员购买积分包购买API积分包
服务
文献检索文档翻译深度研究API 文档MCP 服务
关于我们
关于 Suppr公司介绍联系我们用户协议隐私条款
关注我们

Suppr 超能文献

核心技术专利:CN118964589B侵权必究
粤ICP备2023148730 号-1Suppr @ 2026

文献检索

告别复杂PubMed语法,用中文像聊天一样搜索,搜遍4000万医学文献。AI智能推荐,让科研检索更轻松。

立即免费搜索

文件翻译

保留排版,准确专业,支持PDF/Word/PPT等文件格式,支持 12+语言互译。

免费翻译文档

深度研究

AI帮你快速写综述,25分钟生成高质量综述,智能提取关键信息,辅助科研写作。

立即免费体验

利用喷砂技术制造用于实时多重聚合酶链反应检测的经济型微芯片设备。

Fabrication of Cost-Effective Microchip-Based Device Using Sandblasting Technique for Real-Time Multiplex PCR Detection.

作者信息

Liu Yiteng, Hu Zhiyang, Yang Siyu, Xu Na, Song Qi, Gao Yibo, Wen Weijia

机构信息

Division of Emerging Interdisciplinary Areas, Academy of Interdisciplinary Studies, The Hong Kong University of Science and Technology, Clear Water Bay, Kowloon, Hong Kong SAR 999077, China.

Thrust of Advanced Materials, The Hong Kong University of Science and Technology (Guangzhou), Nansha, Guangzhou 511400, China.

出版信息

Micromachines (Basel). 2024 Jul 24;15(8):944. doi: 10.3390/mi15080944.

DOI:10.3390/mi15080944
PMID:39203595
原文链接:https://pmc.ncbi.nlm.nih.gov/articles/PMC11356311/
Abstract

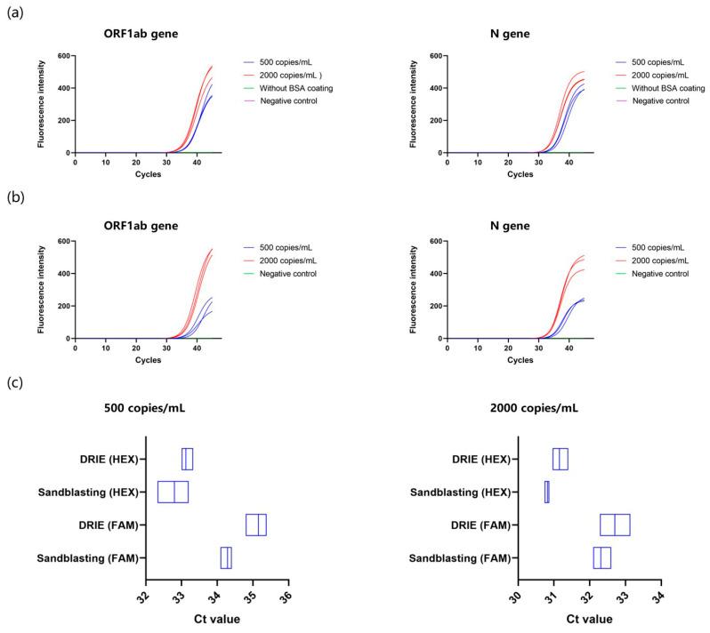
The combination of multiplex polymerase chain reaction (mPCR) and microfluidic technologies demonstrates great significance in biomedical applications. However, current microfluidics-based molecular diagnostics face challenges in multi-target detection due to their limited fluorescence channels, complicated fabrication process, and high cost. In this research, we proposed a cost-effective sandblasting method for manufacturing silicon microchips and a chip-based microdevice for field mPCR detection. The atomic force microscopy (AFM) images showed a rough surface of the sandblasted microchips, leading to poor biocompatibility. To relieve the inhibitory effect, we dip-coated a layer of bovine serum albumin (BSA) on the irregular substrate. The optimized coating condition was determined by scanning electron microscope (SEM) and energy-dispersive X-ray spectroscopy (EDS) (65 °C for 60 min). After sufficient coating, we performed on-chip PCR tests with 500 copies/mL Coronavirus Disease 2019 (COVID-19) standard sample within 20 min, and the sandblasted microchip displayed a higher amplification rate compared to dry etching chips. Finally, we achieved a 50 min mPCR for screening five resistance genes of the endophthalmitis pathogens on our microdevices, with strong specificity and reliability. Thus, this sandblasted microchip-based platform not only provides a rapid, accessible, and effective solution for multiplex molecular detection but also enables large-scale microfabrication in a low-cost and convenient way.

摘要

多重聚合酶链反应(mPCR)与微流控技术的结合在生物医学应用中具有重要意义。然而,当前基于微流控的分子诊断技术由于荧光通道有限、制造工艺复杂且成本高昂,在多靶点检测方面面临挑战。在本研究中,我们提出了一种用于制造硅微芯片的经济高效的喷砂方法以及一种用于现场mPCR检测的基于芯片的微器件。原子力显微镜(AFM)图像显示喷砂微芯片表面粗糙,导致生物相容性较差。为减轻抑制作用,我们在不规则基底上浸涂了一层牛血清白蛋白(BSA)。通过扫描电子显微镜(SEM)和能量色散X射线光谱(EDS)确定了优化的涂层条件(65°C下60分钟)。充分涂层后,我们在20分钟内对浓度为500拷贝/毫升的2019冠状病毒病(COVID-19)标准样品进行了芯片上的PCR测试,与干法蚀刻芯片相比,喷砂微芯片显示出更高的扩增率。最后,我们在我们的微器件上实现了50分钟的mPCR,用于筛选眼内炎病原体的五个耐药基因,具有很强的特异性和可靠性。因此,这个基于喷砂微芯片的平台不仅为多重分子检测提供了一种快速、便捷且有效的解决方案,还能够以低成本且方便的方式进行大规模微制造。

https://cdn.ncbi.nlm.nih.gov/pmc/blobs/721f/11356311/f70d900f6418/micromachines-15-00944-g009.jpg
https://cdn.ncbi.nlm.nih.gov/pmc/blobs/721f/11356311/14b49ee54f60/micromachines-15-00944-g001.jpg
https://cdn.ncbi.nlm.nih.gov/pmc/blobs/721f/11356311/81c78af8c62a/micromachines-15-00944-g002.jpg
https://cdn.ncbi.nlm.nih.gov/pmc/blobs/721f/11356311/db57e527ce68/micromachines-15-00944-g003.jpg
https://cdn.ncbi.nlm.nih.gov/pmc/blobs/721f/11356311/3bc6ff1b9bec/micromachines-15-00944-g004.jpg
https://cdn.ncbi.nlm.nih.gov/pmc/blobs/721f/11356311/48401b0bb92f/micromachines-15-00944-g005.jpg
https://cdn.ncbi.nlm.nih.gov/pmc/blobs/721f/11356311/c4acc4ffe981/micromachines-15-00944-g006.jpg
https://cdn.ncbi.nlm.nih.gov/pmc/blobs/721f/11356311/e469f0047825/micromachines-15-00944-g007.jpg
https://cdn.ncbi.nlm.nih.gov/pmc/blobs/721f/11356311/3520931e0286/micromachines-15-00944-g008.jpg
https://cdn.ncbi.nlm.nih.gov/pmc/blobs/721f/11356311/f70d900f6418/micromachines-15-00944-g009.jpg
https://cdn.ncbi.nlm.nih.gov/pmc/blobs/721f/11356311/14b49ee54f60/micromachines-15-00944-g001.jpg
https://cdn.ncbi.nlm.nih.gov/pmc/blobs/721f/11356311/81c78af8c62a/micromachines-15-00944-g002.jpg
https://cdn.ncbi.nlm.nih.gov/pmc/blobs/721f/11356311/db57e527ce68/micromachines-15-00944-g003.jpg
https://cdn.ncbi.nlm.nih.gov/pmc/blobs/721f/11356311/3bc6ff1b9bec/micromachines-15-00944-g004.jpg
https://cdn.ncbi.nlm.nih.gov/pmc/blobs/721f/11356311/48401b0bb92f/micromachines-15-00944-g005.jpg
https://cdn.ncbi.nlm.nih.gov/pmc/blobs/721f/11356311/c4acc4ffe981/micromachines-15-00944-g006.jpg
https://cdn.ncbi.nlm.nih.gov/pmc/blobs/721f/11356311/e469f0047825/micromachines-15-00944-g007.jpg
https://cdn.ncbi.nlm.nih.gov/pmc/blobs/721f/11356311/3520931e0286/micromachines-15-00944-g008.jpg
https://cdn.ncbi.nlm.nih.gov/pmc/blobs/721f/11356311/f70d900f6418/micromachines-15-00944-g009.jpg

相似文献

1
Fabrication of Cost-Effective Microchip-Based Device Using Sandblasting Technique for Real-Time Multiplex PCR Detection.利用喷砂技术制造用于实时多重聚合酶链反应检测的经济型微芯片设备。
Micromachines (Basel). 2024 Jul 24;15(8):944. doi: 10.3390/mi15080944.
2
A disposable laser print-cut-laminate polyester microchip for multiplexed PCR via infra-red-mediated thermal control.一种一次性激光打印-切割-层压聚酯微芯片,用于通过红外介导的热控制进行多重 PCR。
Anal Chim Acta. 2015 Dec 11;901:59-67. doi: 10.1016/j.aca.2015.09.042. Epub 2015 Nov 6.
3
A Thermocycler Using a Chip Resistor Heater and a Glass Microchip for a Portable and Rapid Microchip-Based PCR Device.一种使用片式电阻加热器和玻璃微芯片的热循环仪,用于便携式快速微芯片PCR设备。
Micromachines (Basel). 2022 Feb 21;13(2):339. doi: 10.3390/mi13020339.
4
An Aluminum-Based Microfluidic Chip for Polymerase Chain Reaction Diagnosis.基于铝的微流控芯片用于聚合酶链反应诊断。
Molecules. 2023 Jan 21;28(3):1085. doi: 10.3390/molecules28031085.
5
[Research progress on analysis of human papillomavirus by microchip capillary electrophoresis].[微芯片毛细管电泳分析人乳头瘤病毒的研究进展]
Se Pu. 2020 Oct 8;38(10):1179-1188. doi: 10.3724/SP.J.1123.2020.05016.
6
PCR microfluidic devices for DNA amplification.用于DNA扩增的PCR微流控装置。
Biotechnol Adv. 2006 May-Jun;24(3):243-84. doi: 10.1016/j.biotechadv.2005.10.002. Epub 2005 Dec 2.
7
User-Friendly Microfabrication Method for Complex Topological Structure and Three-Dimensional Microchannel with the Application Prospect in Polymerase Chain Reaction (PCR).用户友好型微制造方法用于复杂拓扑结构和三维微通道及其在聚合酶链反应 (PCR) 中的应用前景。
Anal Chem. 2021 Jan 26;93(3):1523-1528. doi: 10.1021/acs.analchem.0c03827. Epub 2020 Dec 16.
8
Surface and interfacial analysis of sandblasted and acid-etched enamel for bonding orthodontic adhesives.用于正畸粘合剂粘结的喷砂和酸蚀牙釉质的表面及界面分析
Am J Orthod Dentofacial Orthop. 2015 Apr;147(4 Suppl):S64-75. doi: 10.1016/j.ajodo.2015.01.014.
9
Ultrafast PCR Detection of COVID-19 by Using a Microfluidic Chip-Based System.基于微流控芯片系统的新冠病毒超快速聚合酶链反应检测
Bioengineering (Basel). 2022 Oct 13;9(10):548. doi: 10.3390/bioengineering9100548.
10
Rapid and sensitive detection of viral nucleic acids using silicon microchips.利用硅微芯片进行快速灵敏的病毒核酸检测。
Analyst. 2018 May 29;143(11):2596-2603. doi: 10.1039/c8an00552d.

引用本文的文献

1
Pico-Scale Digital PCR on a Super-Hydrophilic Microarray Chip for Multi-Target Detection.用于多靶点检测的超亲水微阵列芯片上的皮克级数字PCR
Micromachines (Basel). 2025 Mar 30;16(4):407. doi: 10.3390/mi16040407.
2
Microinjection molded microwell array-based portable digital PCR system for the detection of infectious respiratory viruses.基于微注射成型微孔阵列的便携式数字PCR系统用于检测传染性呼吸道病毒。
Nano Converg. 2025 Mar 21;12(1):16. doi: 10.1186/s40580-025-00482-5.

本文引用的文献

1
A roadmap to high-speed polymerase chain reaction (PCR): COVID-19 as a technology accelerator.通往高速聚合酶链反应(PCR)的路线图:COVID-19 作为一种技术加速器。
Biosens Bioelectron. 2024 Feb 15;246:115830. doi: 10.1016/j.bios.2023.115830. Epub 2023 Nov 15.
2
Silicon microfabrication technologies for biology integrated advance devices and interfaces.硅微加工技术在生物学集成先进设备和接口中的应用。
Biosens Bioelectron. 2023 Oct 1;237:115503. doi: 10.1016/j.bios.2023.115503. Epub 2023 Jul 13.
3
PCR inhibitors and facilitators - Their role in forensic DNA analysis.
PCR 抑制剂和促进剂——在法医 DNA 分析中的作用。
Forensic Sci Int. 2023 Aug;349:111773. doi: 10.1016/j.forsciint.2023.111773. Epub 2023 Jun 27.
4
Rapid multiplex PCR for respiratory viruses reduces time to result and improves clinical care: Results of a systematic review and meta-analysis.用于呼吸道病毒的快速多重聚合酶链反应可缩短出结果时间并改善临床护理:一项系统评价和荟萃分析的结果
J Infect. 2023 May;86(5):462-475. doi: 10.1016/j.jinf.2023.03.005. Epub 2023 Mar 9.
5
Rapid on-site nucleic acid testing: On-chip sample preparation, amplification, and detection, and their integration into all-in-one systems.快速现场核酸检测:芯片上的样品制备、扩增和检测,以及它们集成到一体化系统中。
Front Bioeng Biotechnol. 2023 Feb 1;11:1020430. doi: 10.3389/fbioe.2023.1020430. eCollection 2023.
6
Recent advancements in nucleic acid detection with microfluidic chip for molecular diagnostics.用于分子诊断的微流控芯片核酸检测的最新进展。
Trends Analyt Chem. 2023 Jan;158:116871. doi: 10.1016/j.trac.2022.116871. Epub 2022 Dec 5.
7
Microfluidic chip and isothermal amplification technologies for the detection of pathogenic nucleic acid.用于检测病原核酸的微流控芯片和等温扩增技术。
J Biol Eng. 2022 Dec 1;16(1):33. doi: 10.1186/s13036-022-00312-w.
8
Real-Time fast PCR amplification using designated and conventional real time thermal cycler systems: COVID-19 perspective.实时快速 PCR 扩增使用指定和常规实时热循环仪系统:COVID-19 视角。
PLoS One. 2022 Oct 20;17(10):e0276464. doi: 10.1371/journal.pone.0276464. eCollection 2022.
9
Microfluidics-based strategies for molecular diagnostics of infectious diseases.基于微流控技术的传染病分子诊断策略。
Mil Med Res. 2022 Mar 18;9(1):11. doi: 10.1186/s40779-022-00374-3.
10
PCR enhancers: Types, mechanisms, and applications in long-range PCR.PCR 增强子:类型、机制及其在长距离 PCR 中的应用。
Biochimie. 2022 Jun;197:130-143. doi: 10.1016/j.biochi.2022.02.009. Epub 2022 Feb 26.