• 文献检索
  • 文档翻译
  • 深度研究
  • 学术资讯
  • Suppr Zotero 插件Zotero 插件
  • 邀请有礼
  • 套餐&价格
  • 历史记录
应用&插件
Suppr Zotero 插件Zotero 插件浏览器插件Mac 客户端Windows 客户端微信小程序
定价
高级版会员购买积分包购买API积分包
服务
文献检索文档翻译深度研究API 文档MCP 服务
关于我们
关于 Suppr公司介绍联系我们用户协议隐私条款
关注我们

Suppr 超能文献

核心技术专利:CN118964589B侵权必究
粤ICP备2023148730 号-1Suppr @ 2026

文献检索

告别复杂PubMed语法,用中文像聊天一样搜索,搜遍4000万医学文献。AI智能推荐,让科研检索更轻松。

立即免费搜索

文件翻译

保留排版,准确专业,支持PDF/Word/PPT等文件格式,支持 12+语言互译。

免费翻译文档

深度研究

AI帮你快速写综述,25分钟生成高质量综述,智能提取关键信息,辅助科研写作。

立即免费体验

携带 - 突变的非小细胞肺癌患者的临床特征及预后生物标志物

Clinical features and prognostic biomarkers in patients with -mutated non-small cell lung cancer.

作者信息

Long Jinyu, Chen Ying, Luo Xingguang, Rao Ruiying, Wang Chenxi, Guo Yuxin, Xu Jinhe, Lin Ping, Song Yingfang, Qu Lijuan, Liu Qinghong, Lu Jun, Zhou Chengzhi, Song Zhengbo, Lin Xiandong, Adachi Hiroyuki, Jassem Jacek, Hamaji Masatsugu, Yu Zongyang

机构信息

Department of Respiratory and Critical Care Medicine, Fuzong Teaching Hospital, Fujian University of Traditional Chinese Medicine (900th Hospital), Fuzhou, China.

Department of Respiratory and Critical Care Medicine, The 900th Hospital of the Joint Logistic Support Force, People's Liberation Army of China, Fuzhou, China.

出版信息

Transl Lung Cancer Res. 2024 Aug 31;13(8):1938-1949. doi: 10.21037/tlcr-24-381. Epub 2024 Aug 19.

DOI:10.21037/tlcr-24-381
PMID:39263013
原文链接:
https://pmc.ncbi.nlm.nih.gov/articles/PMC11384479/
Abstract

BACKGROUND

Patients with non-small cell lung cancer (NSCLC) carrying mutations (-Mut) tend to have more advanced disease and a poor prognosis. However, due to the rarity of this mutation and the lack of related studies, the characteristics of -Mut NSCLC patients remains poorly determined. To clarify the clinical characteristics and prognostic factors of -Mut NSCLC, we initiated the present study to provide a clinical reference.

METHODS

We used data from two cohorts of NSCLC--mutated samples: The Cancer Genome Atlas (TCGA) database and our center's clinical data. The TCGA database was used to obtain 481 NSCLC--Mut samples for clinical characterization. The center collected data on 224 consecutive NSCLC patients treated between December 2020 to July 2022. Among them, 26 harbored mutations, and 20 were eligible for inclusion in the study. Clinical, pathological, and molecular features, as well as prognostic role of mutations were analyzed. Additionally, we analyzed the prognostic impact of Napsin A expression in -Mut patients.

RESULTS

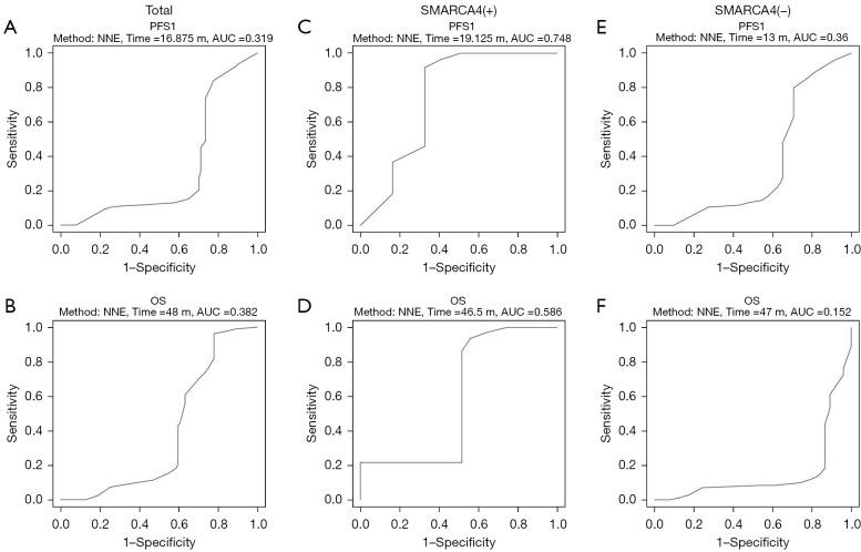
The TCGA database included 480 patients with -Mut NSCLC, 311 males (64.8%) and 169 females (35.2%), with a median age of 67 years. Among the 20 -Mut patients in our center series, 12 (60%) were males and 8 (40%) females, with a median age of 63. The intergroup prognostic correlation analysis showed that -Mut patients had significantly worse prognosis than those the wild-type (-WT) (P=0.04). Within the -Mut group, patients with Napsin A expression had longer overall survival (OS) (P=0.03) than those without expression. Median survival in the Napsin A-positive and negative groups was 32 and 15 months, respectively. According to time-dependent receiver operating curve analysis, patients with Napsin A expression had significantly longer first-line treatment progression-free survival (PFS1) [area under the curve (AUC) =0.748] and OS (AUC =0.586). No prognostic value of Napsin A was found in patients -WT patients.

CONCLUSIONS

-Mut is an adverse prognostic feature in NSCLC patients. Napsin A expression in -Mut patients is associated with prolonged OS.

摘要

背景

携带 突变(-Mut)的非小细胞肺癌(NSCLC)患者往往疾病进展更严重且预后较差。然而,由于这种突变罕见且缺乏相关研究,-Mut NSCLC患者的特征仍未明确。为阐明 -Mut NSCLC的临床特征和预后因素,我们开展了本研究以提供临床参考。

方法

我们使用了两个NSCLC -突变样本队列的数据:癌症基因组图谱(TCGA)数据库和我们中心的临床数据。TCGA数据库用于获取481个NSCLC - Mut样本进行临床特征分析。该中心收集了2020年12月至2022年7月期间连续治疗的224例NSCLC患者的数据。其中,26例携带 突变,20例符合纳入本研究的条件。分析了临床、病理和分子特征以及 突变的预后作用。此外,我们分析了Napsin A表达对 -Mut患者的预后影响。

结果

TCGA数据库包括480例 -Mut NSCLC患者(男性311例,占64.8%;女性169例,占35.2%),中位年龄67岁。在我们中心队列的20例 -Mut患者中,男性12例(60%),女性8例(40%),中位年龄63岁。组间预后相关性分析显示,-Mut患者的预后明显比野生型 (-WT)患者差(P = 0.04)。在 -Mut组中,Napsin A表达阳性的患者总生存期(OS)更长(P = 0.03)。Napsin A阳性和阴性组的中位生存期分别为32个月和15个月。根据时间依赖性受试者工作特征曲线分析,Napsin A表达阳性的患者一线治疗无进展生存期(PFS1)[曲线下面积(AUC) = 0.748]和OS(AUC = 0.586)明显更长。在 -WT患者中未发现Napsin A的预后价值。

结论

-Mut是NSCLC患者的不良预后特征。-Mut患者中Napsin A表达与OS延长相关。

https://cdn.ncbi.nlm.nih.gov/pmc/blobs/8ebd/11384479/2e52b3abae03/tlcr-13-08-1938-f8.jpg
https://cdn.ncbi.nlm.nih.gov/pmc/blobs/8ebd/11384479/e75b21d1694c/tlcr-13-08-1938-f1.jpg
https://cdn.ncbi.nlm.nih.gov/pmc/blobs/8ebd/11384479/6bb951191092/tlcr-13-08-1938-f2.jpg
https://cdn.ncbi.nlm.nih.gov/pmc/blobs/8ebd/11384479/5930922cb1d9/tlcr-13-08-1938-f3.jpg
https://cdn.ncbi.nlm.nih.gov/pmc/blobs/8ebd/11384479/9d1bbfb214af/tlcr-13-08-1938-f4.jpg
https://cdn.ncbi.nlm.nih.gov/pmc/blobs/8ebd/11384479/11f7a071dbfe/tlcr-13-08-1938-f5.jpg
https://cdn.ncbi.nlm.nih.gov/pmc/blobs/8ebd/11384479/c933ee3b98f5/tlcr-13-08-1938-f6.jpg
https://cdn.ncbi.nlm.nih.gov/pmc/blobs/8ebd/11384479/e53f4bc649eb/tlcr-13-08-1938-f7.jpg
https://cdn.ncbi.nlm.nih.gov/pmc/blobs/8ebd/11384479/2e52b3abae03/tlcr-13-08-1938-f8.jpg
https://cdn.ncbi.nlm.nih.gov/pmc/blobs/8ebd/11384479/e75b21d1694c/tlcr-13-08-1938-f1.jpg
https://cdn.ncbi.nlm.nih.gov/pmc/blobs/8ebd/11384479/6bb951191092/tlcr-13-08-1938-f2.jpg
https://cdn.ncbi.nlm.nih.gov/pmc/blobs/8ebd/11384479/5930922cb1d9/tlcr-13-08-1938-f3.jpg
https://cdn.ncbi.nlm.nih.gov/pmc/blobs/8ebd/11384479/9d1bbfb214af/tlcr-13-08-1938-f4.jpg
https://cdn.ncbi.nlm.nih.gov/pmc/blobs/8ebd/11384479/11f7a071dbfe/tlcr-13-08-1938-f5.jpg
https://cdn.ncbi.nlm.nih.gov/pmc/blobs/8ebd/11384479/c933ee3b98f5/tlcr-13-08-1938-f6.jpg
https://cdn.ncbi.nlm.nih.gov/pmc/blobs/8ebd/11384479/e53f4bc649eb/tlcr-13-08-1938-f7.jpg
https://cdn.ncbi.nlm.nih.gov/pmc/blobs/8ebd/11384479/2e52b3abae03/tlcr-13-08-1938-f8.jpg

相似文献

1
Clinical features and prognostic biomarkers in patients with -mutated non-small cell lung cancer.携带 - 突变的非小细胞肺癌患者的临床特征及预后生物标志物
Transl Lung Cancer Res. 2024 Aug 31;13(8):1938-1949. doi: 10.21037/tlcr-24-381. Epub 2024 Aug 19.
2
Prognostic implications of STK11 with different mutation status and its relationship with tumor-infiltrating immune cells in non-small cell lung cancer.STK11 不同突变状态的预后意义及其与非小细胞肺癌肿瘤浸润免疫细胞的关系。
Front Immunol. 2024 Apr 26;15:1387896. doi: 10.3389/fimmu.2024.1387896. eCollection 2024.
3
SMARCA4 and Other SWItch/Sucrose NonFermentable Family Genomic Alterations in NSCLC: Clinicopathologic Characteristics and Outcomes to Immune Checkpoint Inhibition.SMARCA4 和其他 SWItch/Sucrose NonFermentable 家族基因改变在 NSCLC 中的临床病理特征和免疫检查点抑制的疗效。
J Thorac Oncol. 2021 Jul;16(7):1176-1187. doi: 10.1016/j.jtho.2021.03.024.
4
alterations in non-small cell lung cancer: a systematic review and meta-analysis.非小细胞肺癌的改变:系统评价和荟萃分析。
J Clin Pathol. 2024 Jun 19;77(7):457-463. doi: 10.1136/jcp-2024-209394.
5
STK11 and KEAP1 mutations in non-small cell lung cancer patients: Descriptive analysis and prognostic value among Hispanics (STRIKE registry-CLICaP).非小细胞肺癌患者中 STK11 和 KEAP1 突变:西班牙裔人群中的描述性分析和预后价值(STRIKE 登记-CLICaP)。
Lung Cancer. 2022 Aug;170:114-121. doi: 10.1016/j.lungcan.2022.06.010. Epub 2022 Jun 20.
6
Genomic landscape and prognosis of patients with -mutated non-small cell lung cancer.具有特定突变的非小细胞肺癌患者的基因组格局与预后
Ann Transl Med. 2022 Feb;10(4):188. doi: 10.21037/atm-22-412.
7
Identification and validation of tissue or ctDNA PTPRD phosphatase domain deleterious mutations as prognostic and predictive biomarkers for immune checkpoint inhibitors in non-squamous NSCLC.鉴定和验证组织或 ctDNA PTPRD 磷酸酶结构域的有害突变作为非鳞状 NSCLC 免疫检查点抑制剂的预后和预测生物标志物。
BMC Med. 2021 Oct 7;19(1):239. doi: 10.1186/s12916-021-02075-5.
8
The prognostic impact of KRAS, TP53, STK11 and KEAP1 mutations and their influence on the NLR in NSCLC patients treated with immunotherapy.KRAS、TP53、STK11 和 KEAP1 突变的预后影响及其对免疫治疗 NSCLC 患者 NLR 的影响。
Cancer Treat Res Commun. 2023;37:100767. doi: 10.1016/j.ctarc.2023.100767. Epub 2023 Oct 10.
9
Clinical characteristics and prognostic analysis of SMARCA4-deficient non-small cell lung cancer.SMARCA4 缺陷型非小细胞肺癌的临床特征和预后分析。
Cancer Med. 2023 Jul;12(13):14171-14182. doi: 10.1002/cam4.6083. Epub 2023 May 15.
10
Expanding the Immunophenotype Spectrum of SMARCA4-Deficient Non-Small Cell Lung Carcinomas: A Case Series with Neuroendocrine Markers Expression.扩展 SMARCA4 缺陷型非小细胞肺癌的免疫表型谱:伴有神经内分泌标志物表达的病例系列。
Int J Surg Pathol. 2022 May;30(3):251-259. doi: 10.1177/10668969211047982. Epub 2021 Oct 11.

引用本文的文献

1
deficiency: implications for non-small cell lung cancer and management strategies, with relevance to and distinctions from thoracic undifferentiated tumor.缺乏:对非小细胞肺癌的影响及管理策略,与胸段未分化肿瘤的关联及区别
Transl Lung Cancer Res. 2025 Apr 30;14(4):1456-1470. doi: 10.21037/tlcr-24-927. Epub 2025 Apr 24.
2
/BRG1-deficient non-small cell lung cancer: clinical, imaging, pathological features, and follow-up results of 23 patients.BRG1缺陷型非小细胞肺癌:23例患者的临床、影像学、病理特征及随访结果
Transl Lung Cancer Res. 2025 Jan 24;14(1):107-123. doi: 10.21037/tlcr-24-567. Epub 2025 Jan 22.

本文引用的文献

1
Global cancer statistics 2022: GLOBOCAN estimates of incidence and mortality worldwide for 36 cancers in 185 countries.2022 年全球癌症统计数据:全球 185 个国家和地区 36 种癌症的发病率和死亡率全球估计数。
CA Cancer J Clin. 2024 May-Jun;74(3):229-263. doi: 10.3322/caac.21834. Epub 2024 Apr 4.
2
Alanine supplementation exploits glutamine dependency induced by SMARCA4/2-loss.丙氨酸补充利用了 SMARCA4/2 缺失诱导的谷氨酰胺依赖性。
Nat Commun. 2023 May 20;14(1):2894. doi: 10.1038/s41467-023-38594-3.
3
Multi-omics analysis unravels the underlying mechanisms of poor prognosis and differential therapeutic responses of solid predominant lung adenocarcinoma.
多组学分析揭示了以实体为主的肺腺癌预后不良和治疗反应差异的潜在机制。
Front Immunol. 2023 Feb 9;14:1101649. doi: 10.3389/fimmu.2023.1101649. eCollection 2023.
4
SMARCA4: Current status and future perspectives in non-small-cell lung cancer.SMARCA4:非小细胞肺癌的现状与未来展望
Cancer Lett. 2023 Feb 1;554:216022. doi: 10.1016/j.canlet.2022.216022. Epub 2022 Nov 28.
5
Use of thyroid transcription factor 1 and napsin A to predict local failure and survival after Gamma Knife radiosurgery in patients with brain metastases from lung adenocarcinoma.使用甲状腺转录因子 1 和 napsin A 预测肺腺癌脑转移患者伽玛刀放射外科治疗后局部失败和生存。
J Neurosurg. 2022 Aug 12;138(3):663-673. doi: 10.3171/2022.6.JNS22450. Print 2023 Mar 1.
6
Genetic Alteration and Their Significance on Clinical Events in Small Cell Lung Cancer.小细胞肺癌的基因改变及其对临床事件的意义
Cancer Manag Res. 2022 Apr 19;14:1493-1505. doi: 10.2147/CMAR.S356037. eCollection 2022.
7
The 2021 WHO Classification of Lung Tumors: Impact of Advances Since 2015.2021 年世卫组织肺肿瘤分类:自 2015 年以来的进展影响。
J Thorac Oncol. 2022 Mar;17(3):362-387. doi: 10.1016/j.jtho.2021.11.003. Epub 2021 Nov 20.
8
: Implications of an Altered Chromatin-Remodeling Gene for Cancer Development and Therapy.: 染色质重塑基因改变与癌症发生和治疗的关系。
Mol Cancer Ther. 2021 Dec;20(12):2341-2351. doi: 10.1158/1535-7163.MCT-21-0433. Epub 2021 Oct 12.
9
Inactivation Promotes Lineage-Specific Transformation and Early Metastatic Features in the Lung.失活促进肺中的谱系特异性转化和早期转移特征。
Cancer Discov. 2022 Feb;12(2):562-585. doi: 10.1158/2159-8290.CD-21-0248. Epub 2021 Sep 24.
10
SMARCA4/2 loss inhibits chemotherapy-induced apoptosis by restricting IP3R3-mediated Ca flux to mitochondria.SMARCA4/2 缺失通过限制 IP3R3 介导的 Ca 流到线粒体来抑制化疗诱导的细胞凋亡。
Nat Commun. 2021 Sep 13;12(1):5404. doi: 10.1038/s41467-021-25260-9.