Suppr超能文献

通过策略性氟原子取代获得强效、选择性、代谢稳定且可口服的 CSNK2 抑制剂

Strategic Fluorination to Achieve a Potent, Selective, Metabolically Stable, and Orally Bioavailable Inhibitor of CSNK2.

机构信息

Rapidly Emerging Antiviral Drug Development Initiative (READDI), Chapel Hill, NC 27599, USA.

Structural Genomics Consortium (SGC) and Division of Chemical Biology and Medicinal Chemistry, Eshelman School of Pharmacy, University of North Carolina at Chapel Hill, Chapel Hill, NC 27599, USA.

出版信息

Molecules. 2024 Sep 2;29(17):4158. doi: 10.3390/molecules29174158.

Abstract

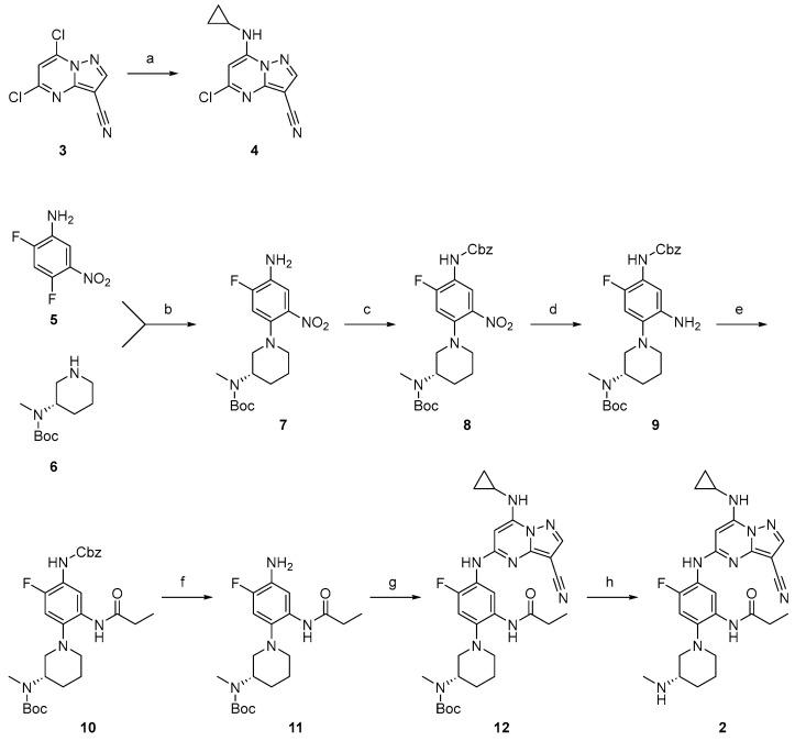
The host kinase casein kinase 2 (CSNK2) has been proposed to be an antiviral target against β-coronaviral infection. To pharmacologically validate CSNK2 as a drug target in vivo, potent and selective CSNK2 inhibitors with good pharmacokinetic properties are required. Inhibitors based on the pyrazolo[1,5-]pyrimidine scaffold possess outstanding potency and selectivity for CSNK2, but bioavailability and metabolic stability are often challenging. By strategically installing a fluorine atom on an electron-rich phenyl ring of a previously characterized inhibitor , we discovered compound as a promising lead compound with improved in vivo metabolic stability. Compound maintained excellent cellular potency against CSNK2, submicromolar antiviral potency, and favorable solubility, and was remarkably selective for CSNK2 when screened against 192 kinases across the human kinome. We additionally present a co-crystal structure to support its on-target binding mode. In vivo, compound was orally bioavailable, and demonstrated modest and transient inhibition of CSNK2, although antiviral activity was not observed, possibly attributed to its lack of prolonged CSNK2 inhibition.

摘要

宿主激酶酪蛋白激酶 2(CSNK2)已被提议作为针对β冠状病毒感染的抗病毒靶点。为了在体内药理学验证 CSNK2 作为药物靶点的作用,需要具有良好药代动力学性质的强效和选择性 CSNK2 抑制剂。基于吡唑并[1,5-a]嘧啶支架的抑制剂对 CSNK2 具有出色的效力和选择性,但生物利用度和代谢稳定性通常具有挑战性。通过在以前表征的抑制剂的富电子苯基环上策略性地安装一个氟原子,我们发现化合物 是一种具有改善体内代谢稳定性的有前途的先导化合物。化合物 对 CSNK2 保持优异的细胞效力,对 CSNK2 的抗病毒效力为亚微摩尔,并且具有良好的溶解度,在筛选人类激酶组中的 192 种激酶时,对 CSNK2 具有显著的选择性。我们还提供了一个共晶结构来支持其靶标结合模式。在体内,化合物 可口服生物利用,并且尽管未观察到抗病毒活性,但可适度且短暂地抑制 CSNK2,这可能归因于其缺乏对 CSNK2 的长期抑制作用。

https://cdn.ncbi.nlm.nih.gov/pmc/blobs/1633/11397024/cfd6a699aa87/molecules-29-04158-g001.jpg

文献AI研究员

20分钟写一篇综述,助力文献阅读效率提升50倍。

立即体验

用中文搜PubMed

大模型驱动的PubMed中文搜索引擎

马上搜索

文档翻译

学术文献翻译模型,支持多种主流文档格式。

立即体验