• 文献检索
  • 文档翻译
  • 深度研究
  • 学术资讯
  • Suppr Zotero 插件Zotero 插件
  • 邀请有礼
  • 套餐&价格
  • 历史记录
应用&插件
Suppr Zotero 插件Zotero 插件浏览器插件Mac 客户端Windows 客户端微信小程序
定价
高级版会员购买积分包购买API积分包
服务
文献检索文档翻译深度研究API 文档MCP 服务
关于我们
关于 Suppr公司介绍联系我们用户协议隐私条款
关注我们

Suppr 超能文献

核心技术专利:CN118964589B侵权必究
粤ICP备2023148730 号-1Suppr @ 2026

文献检索

告别复杂PubMed语法,用中文像聊天一样搜索,搜遍4000万医学文献。AI智能推荐,让科研检索更轻松。

立即免费搜索

文件翻译

保留排版,准确专业,支持PDF/Word/PPT等文件格式,支持 12+语言互译。

免费翻译文档

深度研究

AI帮你快速写综述,25分钟生成高质量综述,智能提取关键信息,辅助科研写作。

立即免费体验

C60富勒烯在锥形碳纳米管表面的自驱动定向传输。

Self-propelled directed transport of C60 fullerene on the surface of the cone-shaped carbon nanotubes.

作者信息

Vaezi Mehran, Nejat Pishkenari Hossein

机构信息

Center for Nanoscience and Nanotechnology, Institute for Convergence Science and Technology, Sharif University of Technology, Tehran, 14588-89694, Iran.

Nano Robotics Laboratory, Mechanical Engineering Department, Sharif University of Technology, Tehran, Iran.

出版信息

Sci Rep. 2024 Sep 16;14(1):21630. doi: 10.1038/s41598-024-72873-3.

DOI:10.1038/s41598-024-72873-3
PMID:39284904
原文链接:https://pmc.ncbi.nlm.nih.gov/articles/PMC11405730/
Abstract

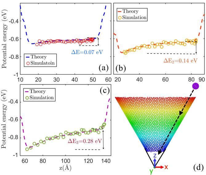
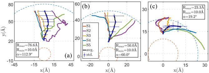
Directed transportation of materials at molecular scale is important due to its crucial role in the development of nanoelectromechanical devices, particularly the directional movements along the carbon nanotubes (CNTs), due to the applications of CNTs as nano-manipulators, confined reactors, and drug or other materials delivery systems. In the present investigation, we evaluate the movements of C60 fullerenes on the surface of the cone-shaped CNTs. The fullerene molecules indicate directed motion toward the narrower end of CNTs, which is due to the potential energy gradient along the nanotube length. A continuum model is proposed to evaluate the mechanism of the directed motion and the results of the theoretical model are compared with numerical simulations. Directed movements have been examined at various opening angles of CNTs, considering the trajectories of motions, variation of potential energy, and diffusion coefficients. At smaller opening angles, the driving force on the C60 increases and the molecule experiences more directed transport along the nanotube. The motion of fullerene has also been simulated inside the cone-shaped CNTs, with similar opening angle, and different average radius. At lower average radius of the cone-like nanotubes, the motion of C60 is comparatively more rectilinear. Directional transport of fullerene has been observed in the opposite direction, when the molecule moves on the external surface of the cone-like CNTs, which is due to the stronger interaction of C60 with the parts of the external surface with larger radius. The effect of temperature has been evaluated by performing the simulations at the temperature range of 100 to 400 K. The direction of the velocity reveals that the thermal fluctuations at higher temperatures hinder the directed motion of molecule along the cone-shaped CNTs. The results of the present study propose a new method to obtain directed transport of molecules which can be helpful in different applications such as drug delivery systems.

摘要

在分子尺度上进行物质的定向输运非常重要,因为它在纳米机电装置的发展中起着关键作用,特别是沿着碳纳米管(CNT)的定向运动,这是由于碳纳米管可作为纳米操纵器、受限反应器以及药物或其他物质输送系统。在本研究中,我们评估了C60富勒烯在锥形碳纳米管表面的运动。富勒烯分子表现出朝着碳纳米管较窄端的定向运动,这是由于沿纳米管长度方向的势能梯度所致。我们提出了一个连续介质模型来评估定向运动的机制,并将理论模型的结果与数值模拟进行了比较。考虑到运动轨迹、势能变化和扩散系数,我们研究了在碳纳米管不同开口角度下的定向运动。在较小的开口角度下,C60上的驱动力增加,分子沿纳米管经历更多的定向输运。我们还模拟了富勒烯在具有相似开口角度和不同平均半径的锥形碳纳米管内部的运动。在类锥形纳米管平均半径较低时,C60的运动相对更呈直线状。当分子在类锥形碳纳米管的外表面移动时,观察到富勒烯的定向输运方向相反,这是由于C60与外表面半径较大部分的相互作用更强。通过在100至400 K的温度范围内进行模拟来评估温度的影响。速度方向表明,较高温度下的热涨落阻碍了分子沿锥形碳纳米管的定向运动。本研究结果提出了一种获得分子定向输运的新方法,这在诸如药物输送系统等不同应用中可能会有所帮助。

https://cdn.ncbi.nlm.nih.gov/pmc/blobs/2397/11405730/312c7aeb42a2/41598_2024_72873_Fig11_HTML.jpg
https://cdn.ncbi.nlm.nih.gov/pmc/blobs/2397/11405730/044d3543178c/41598_2024_72873_Fig1_HTML.jpg
https://cdn.ncbi.nlm.nih.gov/pmc/blobs/2397/11405730/c8afcc67e60e/41598_2024_72873_Fig2_HTML.jpg
https://cdn.ncbi.nlm.nih.gov/pmc/blobs/2397/11405730/c07240c25bd5/41598_2024_72873_Fig3_HTML.jpg
https://cdn.ncbi.nlm.nih.gov/pmc/blobs/2397/11405730/ec933de4aa5e/41598_2024_72873_Fig4_HTML.jpg
https://cdn.ncbi.nlm.nih.gov/pmc/blobs/2397/11405730/b53ab0296f3c/41598_2024_72873_Fig5_HTML.jpg
https://cdn.ncbi.nlm.nih.gov/pmc/blobs/2397/11405730/4bb160f06eb6/41598_2024_72873_Fig6_HTML.jpg
https://cdn.ncbi.nlm.nih.gov/pmc/blobs/2397/11405730/b6cd35478aa3/41598_2024_72873_Fig7_HTML.jpg
https://cdn.ncbi.nlm.nih.gov/pmc/blobs/2397/11405730/4edb369c9d06/41598_2024_72873_Fig8_HTML.jpg
https://cdn.ncbi.nlm.nih.gov/pmc/blobs/2397/11405730/c4a9f8405bae/41598_2024_72873_Fig9_HTML.jpg
https://cdn.ncbi.nlm.nih.gov/pmc/blobs/2397/11405730/a2a9ad261141/41598_2024_72873_Fig10_HTML.jpg
https://cdn.ncbi.nlm.nih.gov/pmc/blobs/2397/11405730/312c7aeb42a2/41598_2024_72873_Fig11_HTML.jpg
https://cdn.ncbi.nlm.nih.gov/pmc/blobs/2397/11405730/044d3543178c/41598_2024_72873_Fig1_HTML.jpg
https://cdn.ncbi.nlm.nih.gov/pmc/blobs/2397/11405730/c8afcc67e60e/41598_2024_72873_Fig2_HTML.jpg
https://cdn.ncbi.nlm.nih.gov/pmc/blobs/2397/11405730/c07240c25bd5/41598_2024_72873_Fig3_HTML.jpg
https://cdn.ncbi.nlm.nih.gov/pmc/blobs/2397/11405730/ec933de4aa5e/41598_2024_72873_Fig4_HTML.jpg
https://cdn.ncbi.nlm.nih.gov/pmc/blobs/2397/11405730/b53ab0296f3c/41598_2024_72873_Fig5_HTML.jpg
https://cdn.ncbi.nlm.nih.gov/pmc/blobs/2397/11405730/4bb160f06eb6/41598_2024_72873_Fig6_HTML.jpg
https://cdn.ncbi.nlm.nih.gov/pmc/blobs/2397/11405730/b6cd35478aa3/41598_2024_72873_Fig7_HTML.jpg
https://cdn.ncbi.nlm.nih.gov/pmc/blobs/2397/11405730/4edb369c9d06/41598_2024_72873_Fig8_HTML.jpg
https://cdn.ncbi.nlm.nih.gov/pmc/blobs/2397/11405730/c4a9f8405bae/41598_2024_72873_Fig9_HTML.jpg
https://cdn.ncbi.nlm.nih.gov/pmc/blobs/2397/11405730/a2a9ad261141/41598_2024_72873_Fig10_HTML.jpg
https://cdn.ncbi.nlm.nih.gov/pmc/blobs/2397/11405730/312c7aeb42a2/41598_2024_72873_Fig11_HTML.jpg

相似文献

1
Self-propelled directed transport of C60 fullerene on the surface of the cone-shaped carbon nanotubes.C60富勒烯在锥形碳纳米管表面的自驱动定向传输。
Sci Rep. 2024 Sep 16;14(1):21630. doi: 10.1038/s41598-024-72873-3.
2
Programmable Transport of C60 by Straining Graphene Substrate.通过拉伸石墨烯基底实现C60的可编程传输。
Langmuir. 2023 Mar 28;39(12):4483-4494. doi: 10.1021/acs.langmuir.3c00180. Epub 2023 Mar 16.
3
Mechanism of C rotation and translation on hexagonal boron-nitride monolayer.六方氮化硼单层上C旋转和平移的机制
J Chem Phys. 2020 Dec 21;153(23):234702. doi: 10.1063/5.0029490.
4
Collective movement and thermal stability of fullerene clusters on the graphene layer.石墨烯层上富勒烯团簇的集体运动与热稳定性
Phys Chem Chem Phys. 2022 May 18;24(19):11770-11781. doi: 10.1039/d2cp00667g.
5
Dependence of Thermal Conductivity of Carbon Nanopeapods on Filling Ratios of Fullerene Molecules.碳纳米豆荚的热导率对富勒烯分子填充率的依赖性。
J Phys Chem A. 2015 Nov 12;119(45):11226-32. doi: 10.1021/acs.jpca.5b07995. Epub 2015 Oct 29.
6
Enhancement of heat conduction in carbon nanotubes filled with fullerene molecules.填充有富勒烯分子的碳纳米管中热传导的增强。
Phys Chem Chem Phys. 2015 Nov 7;17(41):27520-6. doi: 10.1039/c5cp03984c.
7
Spontaneous directional motion of water molecules in single-walled carbon nanotubes with a stiffness gradient.具有刚度梯度的单壁碳纳米管中水分子的自发定向运动。
Nanoscale Adv. 2018 Dec 21;1(3):1175-1180. doi: 10.1039/c8na00322j. eCollection 2019 Mar 12.
8
Fullerene interaction with carbon nanohorns.富勒烯与碳纳米角的相互作用。
J Nanosci Nanotechnol. 2009 Oct;9(10):6144-8. doi: 10.1166/jnn.2009.1571.
9
Immunotoxicity of nanoparticles: a computational study suggests that CNTs and C60 fullerenes might be recognized as pathogens by Toll-like receptors.纳米颗粒的免疫毒性:一项计算研究表明,碳纳米管和富勒烯 C60 可能被 Toll 样受体识别为病原体。
Nanoscale. 2014 Apr 7;6(7):3488-95. doi: 10.1039/c3nr05772k.
10
Investigation the behavior of different fullerenes on graphene surface.研究不同富勒烯在石墨烯表面的行为。 需注意,原句中“Investigation”使用错误,应该是“Investigate”。
Sci Rep. 2024 Aug 6;14(1):18220. doi: 10.1038/s41598-024-69359-7.

本文引用的文献

1
Toward steering the motion of surface rolling molecular machines by straining graphene substrate.通过拉伸石墨烯基底来引导表面滚动分子机器的运动。
Sci Rep. 2023 Nov 27;13(1):20816. doi: 10.1038/s41598-023-48214-1.
2
Motion of nanovehicles on pristine and vacancy-defected silicene: implications for controlled surface motion.纳米载体在原始和有空位缺陷的硅烯上的运动:对可控表面运动的启示
Phys Chem Chem Phys. 2023 Nov 1;25(42):28895-28910. doi: 10.1039/d3cp02835f.
3
Fluctuotaxis: Nanoscale directional motion away from regions of fluctuation.
波动趋性:纳米尺度下远离波动区域的定向运动。
Proc Natl Acad Sci U S A. 2023 Aug;120(31):e2220500120. doi: 10.1073/pnas.2220500120. Epub 2023 Jul 24.
4
Formation of nanoribbons by carbon atoms confined in a single-walled carbon nanotube-A molecular dynamics study.碳原子在单壁碳纳米管内受限形成纳米带——分子动力学研究。
J Chem Phys. 2023 Jun 14;158(22). doi: 10.1063/5.0151276.
5
Programmable Transport of C60 by Straining Graphene Substrate.通过拉伸石墨烯基底实现C60的可编程传输。
Langmuir. 2023 Mar 28;39(12):4483-4494. doi: 10.1021/acs.langmuir.3c00180. Epub 2023 Mar 16.
6
Unidirectional motion of C-based nanovehicles using hybrid substrates with temperature gradient.基于碳的纳米载体在具有温度梯度的混合基底上的单向运动。
Sci Rep. 2023 Jan 20;13(1):1100. doi: 10.1038/s41598-023-28245-4.
7
Nanocar swarm movement on graphene surfaces.纳米车群在石墨烯表面的运动。
Phys Chem Chem Phys. 2022 Nov 23;24(45):27759-27771. doi: 10.1039/d2cp03856k.
8
Directed Assembly of Nanomaterials for Making Nanoscale Devices and Structures: Mechanisms and Applications.用于制造纳米级器件和结构的纳米材料定向组装:机制与应用
ACS Nano. 2022 Nov 22;16(11):17641-17686. doi: 10.1021/acsnano.2c07910. Epub 2022 Oct 21.
9
An effective nano drug delivery and combination therapy for the treatment of Tuberculosis.一种用于治疗结核病的有效纳米药物递送和联合疗法。
Sci Rep. 2022 Jun 10;12(1):9591. doi: 10.1038/s41598-022-13682-4.
10
Collective movement and thermal stability of fullerene clusters on the graphene layer.石墨烯层上富勒烯团簇的集体运动与热稳定性
Phys Chem Chem Phys. 2022 May 18;24(19):11770-11781. doi: 10.1039/d2cp00667g.