• 文献检索
  • 文档翻译
  • 深度研究
  • 学术资讯
  • Suppr Zotero 插件Zotero 插件
  • 邀请有礼
  • 套餐&价格
  • 历史记录
应用&插件
Suppr Zotero 插件Zotero 插件浏览器插件Mac 客户端Windows 客户端微信小程序
定价
高级版会员购买积分包购买API积分包
服务
文献检索文档翻译深度研究API 文档MCP 服务
关于我们
关于 Suppr公司介绍联系我们用户协议隐私条款
关注我们

Suppr 超能文献

核心技术专利:CN118964589B侵权必究
粤ICP备2023148730 号-1Suppr @ 2026

文献检索

告别复杂PubMed语法,用中文像聊天一样搜索,搜遍4000万医学文献。AI智能推荐,让科研检索更轻松。

立即免费搜索

文件翻译

保留排版,准确专业,支持PDF/Word/PPT等文件格式,支持 12+语言互译。

免费翻译文档

深度研究

AI帮你快速写综述,25分钟生成高质量综述,智能提取关键信息,辅助科研写作。

立即免费体验

基于孟德尔随机化研究探索他汀类药物与骨关节炎风险之间的因果关系。

Exploring the causal link among statin drugs and the osteoarthritis risk based on Mendelian randomization research.

作者信息

Chen Wenjie, Sun Zhi, Xiong Xinhai, Tan Haitao, Hu Junhao, Liu Chenrui, Chen Cheng

机构信息

926 Hospital of the People's Liberation Army (Kunming University of Science and Technology Affiliated Hospital), Kaiyuan, China.

921 Hospital of the People's Liberation Army (The Second Affiliated Hospital of Hunan Normal University), Changsha, China.

出版信息

Front Genet. 2024 Sep 4;15:1390387. doi: 10.3389/fgene.2024.1390387. eCollection 2024.

DOI:10.3389/fgene.2024.1390387
PMID:39296542
原文链接:https://pmc.ncbi.nlm.nih.gov/articles/PMC11408317/
Abstract

PURPOSE

Statins may have a protective effect against osteoarthritis (including knee osteoarthritis and hip osteoarthritis); however, the link between statins and osteoarthritis risk is incompletely established. The aim of this study was to explore the relationship between statins and osteoarthritis risk through Mendelian randomization analysis using pooled information from a large population-wide genome-wide association study (GWAS).

METHODS

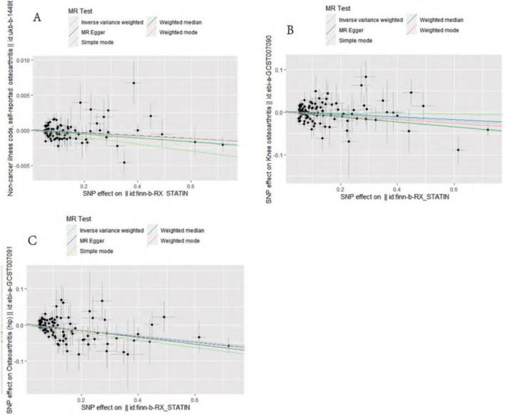
Statin-related single-nucleotide polymorphisms (SNPs) were obtained from FinnGen's latest 9th edition database, and data on osteoarthritis, knee osteoarthritis, and hip osteoarthritis were acquired from the IEU OpenGWAS, the UK Biobank, and Arthritis Research UK Osteoarthritis Genetics (ArcOGEN) database, respectively. The inverse-variance weighting method is an important analysis method to estimate the causal effect. Weighted median method, simple median method, weighted median estimator method, and MR-Egger regression were employed to supplement the explanation. Odds ratio and 95%CI were used to evaluate the causal relationship among statins and the osteoarthritis risk, osteoarthritis in the knee, and osteoarthritis in the hip. Second, sensitivity analysis was carried out to validate the reliability of the results. Cochran's Q test was employed to test heterogeneity, MR-Egger intercept was employed to test whether horizontal pleiotropy existed, and single-nucleotide polymorphisms with potential influence were determined by the one-method analysis.

RESULTS

(1) The results of the inverse variance weighting method showed Gene prediction indicated that statins were associated with osteoarthritis (OR = 0.998, 95% CI: 0.996-0.999, P = 0.01) and knee osteoarthritis (OR = 0.964, 95% CI: knee (0.940-0.989, P = 0.005) and hip osteoarthritis risk were associated (OR = 0.928, 95% CI: 0.901-0.955, P = 4.28 × 10). (2) MR-Egger intercept analysis did not detect potential horizontal pleiotropy (osteoarthritis: P = 0.658; knee osteoarthritis: P = 0.600; and hip osteoarthritis: P = 0.141). (3) The findings provide evidence that statins reduce osteoarthritis risk, osteoarthritis in the knee, and osteoarthritis in the hip, as described in observational studies, and the specific mechanisms by which statins treat osteoarthritis require further investigation.

CONCLUSION

The results of this study, at the genetic level, reveal a negative causal relationship between statins and osteoarthritis, and this causal relationship is also present in knee and hip osteoarthritis. This study provides evidence against the potential of statins in the treatment of osteoarthritis, prompting the clinical treatment of osteoarthritis to consider improving the start and compliance of statins in the future.

摘要

目的

他汀类药物可能对骨关节炎(包括膝关节骨关节炎和髋关节骨关节炎)具有保护作用;然而,他汀类药物与骨关节炎风险之间的联系尚未完全确立。本研究的目的是通过孟德尔随机化分析,利用来自大规模全人群全基因组关联研究(GWAS)的汇总信息,探讨他汀类药物与骨关节炎风险之间的关系。

方法

他汀类药物相关的单核苷酸多态性(SNP)从芬兰基因库(FinnGen)的最新第9版数据库中获取,骨关节炎、膝关节骨关节炎和髋关节骨关节炎的数据分别从国际暴露组学联盟开放GWAS数据库(IEU OpenGWAS)、英国生物银行(UK Biobank)和英国关节炎研究骨关节炎遗传学(ArcOGEN)数据库中获取。逆方差加权法是估计因果效应的重要分析方法。采用加权中位数法、简单中位数法、加权中位数估计法和MR-Egger回归进行补充说明。比值比(OR)和95%置信区间(CI)用于评估他汀类药物与骨关节炎风险、膝关节骨关节炎和髋关节骨关节炎之间的因果关系。其次,进行敏感性分析以验证结果的可靠性。采用Cochran's Q检验来检验异质性,采用MR-Egger截距检验是否存在水平多效性,并通过单方法分析确定具有潜在影响的单核苷酸多态性。

结果

(1)逆方差加权法结果显示基因预测表明他汀类药物与骨关节炎相关(OR = 0.998,95%CI:0.996 - 0.999,P = 0.01),与膝关节骨关节炎相关(OR = 0.964,95%CI:0.940 - 0.989,P = 0.005),与髋关节骨关节炎风险相关(OR = 0.928,95%CI:0.901 - 0.955,P = 4.28×10⁻⁴)。(2)MR-Egger截距分析未检测到潜在的水平多效性(骨关节炎:P = 0.658;膝关节骨关节炎:P = 0.600;髋关节骨关节炎:P = 0.141)。(3)研究结果提供了证据,表明他汀类药物可降低骨关节炎风险、膝关节骨关节炎和髋关节骨关节炎风险,如观察性研究中所述,他汀类药物治疗骨关节炎的具体机制需要进一步研究。

结论

本研究结果在基因水平上揭示了他汀类药物与骨关节炎之间的负因果关系,这种因果关系在膝关节和髋关节骨关节炎中也存在。本研究为他汀类药物治疗骨关节炎的潜力提供了反面证据,促使未来骨关节炎的临床治疗考虑提高他汀类药物的起始使用和依从性。

https://cdn.ncbi.nlm.nih.gov/pmc/blobs/bcf4/11408317/15d88af2fb5d/fgene-15-1390387-g004.jpg
https://cdn.ncbi.nlm.nih.gov/pmc/blobs/bcf4/11408317/1157511254fe/fgene-15-1390387-g001.jpg
https://cdn.ncbi.nlm.nih.gov/pmc/blobs/bcf4/11408317/71bb94844811/fgene-15-1390387-g002.jpg
https://cdn.ncbi.nlm.nih.gov/pmc/blobs/bcf4/11408317/0a8054dc0144/fgene-15-1390387-g003.jpg
https://cdn.ncbi.nlm.nih.gov/pmc/blobs/bcf4/11408317/15d88af2fb5d/fgene-15-1390387-g004.jpg
https://cdn.ncbi.nlm.nih.gov/pmc/blobs/bcf4/11408317/1157511254fe/fgene-15-1390387-g001.jpg
https://cdn.ncbi.nlm.nih.gov/pmc/blobs/bcf4/11408317/71bb94844811/fgene-15-1390387-g002.jpg
https://cdn.ncbi.nlm.nih.gov/pmc/blobs/bcf4/11408317/0a8054dc0144/fgene-15-1390387-g003.jpg
https://cdn.ncbi.nlm.nih.gov/pmc/blobs/bcf4/11408317/15d88af2fb5d/fgene-15-1390387-g004.jpg

相似文献

1
Exploring the causal link among statin drugs and the osteoarthritis risk based on Mendelian randomization research.基于孟德尔随机化研究探索他汀类药物与骨关节炎风险之间的因果关系。
Front Genet. 2024 Sep 4;15:1390387. doi: 10.3389/fgene.2024.1390387. eCollection 2024.
2
Potential Benefits of Statin Therapy in Reducing Osteoarthritis Risk: A Mendelian Randomization Study.他汀类药物治疗降低骨关节炎风险的潜在益处:一项孟德尔随机研究。
Arthritis Care Res (Hoboken). 2024 Sep;76(9):1260-1268. doi: 10.1002/acr.25343. Epub 2024 May 16.
3
[Genetic Causation Analysis of Hyperandrogenemia Testing Indicators and Preeclampsia].[高雄激素血症检测指标与子痫前期的遗传因果关系分析]
Sichuan Da Xue Xue Bao Yi Xue Ban. 2024 May 20;55(3):566-573. doi: 10.12182/20240560106.
4
The causal relationship between osteoarthritis and bladder cancer: A Mendelian randomization study.骨关节炎与膀胱癌之间的因果关系:一项孟德尔随机化研究。
Cancer Med. 2024 Jan;13(1):e6829. doi: 10.1002/cam4.6829. Epub 2023 Dec 15.
5
Causal Effect of Higher Glycated Hemoglobin (HbA1c) Levels on Knee Osteoarthritis Risk: A Mendelian Randomization Study.较高糖化血红蛋白(HbA1c)水平对膝关节骨关节炎风险的因果效应:一项孟德尔随机化研究
Rheumatol Ther. 2023 Feb;10(1):239-247. doi: 10.1007/s40744-022-00510-4. Epub 2022 Dec 1.
6
Causal relationship between osteoporosis and osteoarthritis: A two-sample Mendelian randomized study.骨质疏松症与骨关节炎之间的因果关系:两样本孟德尔随机研究。
Front Endocrinol (Lausanne). 2022 Oct 21;13:1011246. doi: 10.3389/fendo.2022.1011246. eCollection 2022.
7
The genetic causal association between hip or knee osteoarthritis and frailty: a two-sample Mendelian randomization analysis.髋或膝骨关节炎与衰弱之间的遗传因果关联:一项两样本孟德尔随机化分析。
Arch Med Sci. 2024 Apr 25;20(3):938-946. doi: 10.5114/aoms/176741. eCollection 2024.
8
Genetic causal relationship between age at menarche and benign oesophageal neoplasia identified by a Mendelian randomization study.基于孟德尔随机化研究的月经初潮年龄与良性食管肿瘤之间的遗传因果关系。
Front Endocrinol (Lausanne). 2023 Mar 21;14:1113765. doi: 10.3389/fendo.2023.1113765. eCollection 2023.
9
[Inflammatory factors and prostate cancer: Two-sample Mendelian randomization analysis].[炎症因子与前列腺癌:两样本孟德尔随机化分析]
Zhonghua Nan Ke Xue. 2024 Jul;30(7):588-596.
10
Causal relationship between rheumatoid arthritis and bronchiectasis: a bidirectional mendelian randomization study.类风湿关节炎与支气管扩张症之间的因果关系:一项双向孟德尔随机化研究。
Arthritis Res Ther. 2024 May 23;26(1):104. doi: 10.1186/s13075-024-03336-3.

引用本文的文献

1
Dietary Fatty Acids and Antinuclear Antibodies Among Adults with Arthritis in the United States: NHANES 1999-2004.美国关节炎成年患者的膳食脂肪酸与抗核抗体:1999 - 2004年美国国家健康与营养检查调查
Nutrients. 2025 Mar 7;17(6):934. doi: 10.3390/nu17060934.
2
Recent advances in the management of knee osteoarthritis: a narrative review.膝关节骨关节炎管理的最新进展:一项叙述性综述。
Front Med (Lausanne). 2025 Jan 21;12:1523027. doi: 10.3389/fmed.2025.1523027. eCollection 2025.

本文引用的文献

1
Statin use and longitudinal changes in quantitative MRI-based biomarkers of thigh muscle quality: data from Osteoarthritis Initiative.他汀类药物的使用与基于定量磁共振成像的大腿肌肉质量生物标志物的纵向变化:来自骨关节炎倡议组织的数据。
Skeletal Radiol. 2024 Apr;53(4):683-695. doi: 10.1007/s00256-023-04473-7. Epub 2023 Oct 16.
2
Causality of genetically determined metabolites and metabolic pathways on osteoarthritis: a two-sample mendelian randomization study.基于遗传决定代谢物和代谢途径的骨关节炎因果关系:两样本孟德尔随机化研究。
J Transl Med. 2023 May 31;21(1):357. doi: 10.1186/s12967-023-04165-9.
3
The association between statin use and osteoarthritis-related outcomes: An updated systematic review and meta-analysis.
他汀类药物使用与骨关节炎相关结局之间的关联:一项更新的系统评价和荟萃分析。
Front Pharmacol. 2022 Nov 24;13:1003370. doi: 10.3389/fphar.2022.1003370. eCollection 2022.
4
Osteoarthritis and cardiovascular disease: A Mendelian randomization study.骨关节炎与心血管疾病:一项孟德尔随机化研究。
Front Cardiovasc Med. 2022 Nov 18;9:1025063. doi: 10.3389/fcvm.2022.1025063. eCollection 2022.
5
Causal relationship between osteoporosis and osteoarthritis: A two-sample Mendelian randomized study.骨质疏松症与骨关节炎之间的因果关系:两样本孟德尔随机研究。
Front Endocrinol (Lausanne). 2022 Oct 21;13:1011246. doi: 10.3389/fendo.2022.1011246. eCollection 2022.
6
Mendelian Randomization Studies of Lifestyle-Related Risk Factors for Osteoarthritis: A PRISMA Review and Meta-Analysis.基于孟德尔随机化的生活方式相关因素与骨关节炎关系的研究:PRISMA 综述与荟萃分析。
Int J Mol Sci. 2022 Oct 7;23(19):11906. doi: 10.3390/ijms231911906.
7
Genetic Causal Association between Iron Status and Osteoarthritis: A Two-Sample Mendelian Randomization.铁状态与骨关节炎的遗传因果关系:两样本孟德尔随机化研究。
Nutrients. 2022 Sep 6;14(18):3683. doi: 10.3390/nu14183683.
8
Therapeutic effects of statins on osteoarthritis: A review.他汀类药物治疗骨关节炎的疗效:综述。
J Cell Biochem. 2022 Aug;123(8):1285-1297. doi: 10.1002/jcb.30309. Epub 2022 Jul 27.
9
No Genetic Causal Association Between Periodontitis and Arthritis: A Bidirectional Two-Sample Mendelian Randomization Analysis.牙周炎与关节炎之间不存在遗传因果关系:一项双向两样本孟德尔随机化分析。
Front Immunol. 2022 Jan 26;13:808832. doi: 10.3389/fimmu.2022.808832. eCollection 2022.
10
Assessing causality between osteoarthritis with urate levels and gout: a bidirectional Mendelian randomization study.评估尿酸水平与痛风性关节炎之间的因果关系:一项双向孟德尔随机化研究。
Osteoarthritis Cartilage. 2022 Apr;30(4):551-558. doi: 10.1016/j.joca.2021.12.001. Epub 2021 Dec 8.