Suppr超能文献

欧洲血统人群中 BMI、T1D、尿石症和肾积水之间潜在的因果关系:一项孟德尔随机化分析。

The potential causal relationship between BMI, T1D, urolithiasis, and hydronephrosis in European ancestry: A Mendelian randomization analysis.

机构信息

Department of Urology, Peking University First Hospital-Miyun Hospital, Beijing, China.

出版信息

Medicine (Baltimore). 2024 Sep 27;103(39):e39914. doi: 10.1097/MD.0000000000039914.

Abstract

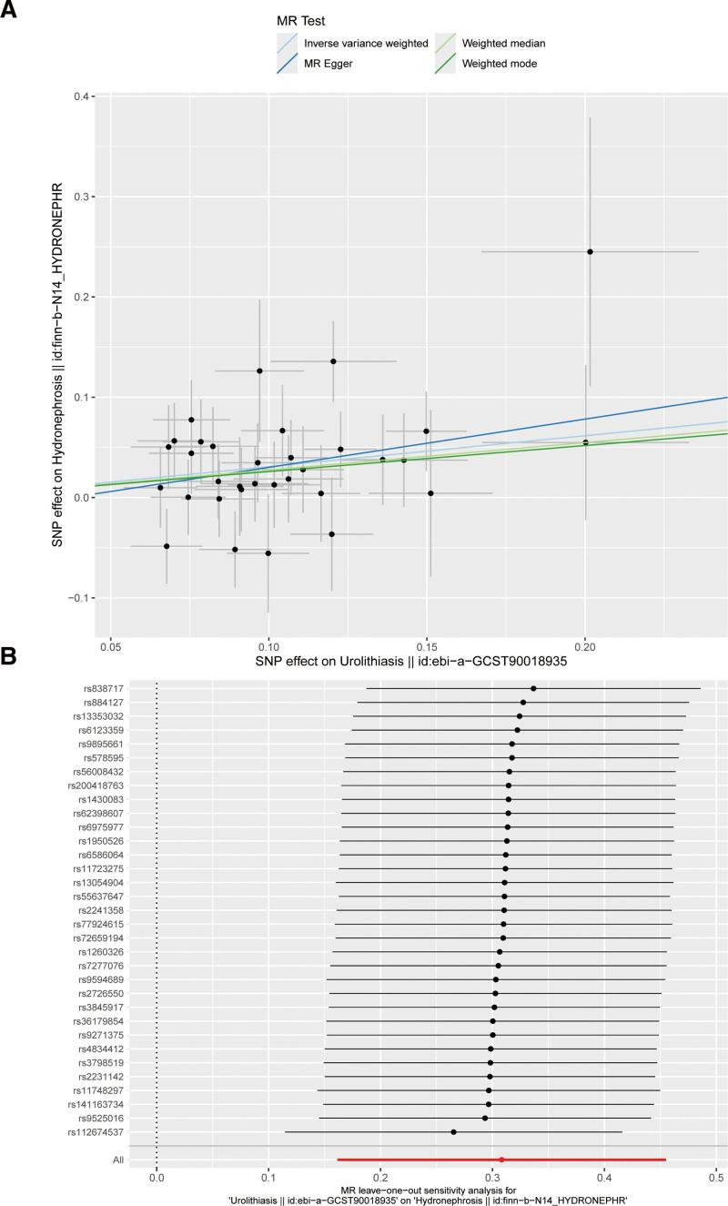
Body mass index (BMI), type 1 diabetes (T1D), urolithiasis, and hydronephrosis are interrelated. Our aim was to analyze their causal relationships at the genetic level. Mendelian randomization is an instrumental variable analysis method that follows Mendel genetic law of random allocation of parental alleles to offspring. In observational studies, genetic variants are used as instrumental variables to infer causal relationships between exposure factors and study outcomes. All the genome-wide association study data in our study were publicly available and from published genome-wide association studies, UK Biobank, and FinnGen. Random-effects inverse variance weighted was the primary analysis method, with R Egger, weighted median, and weighted mode as supplementary methods. We examined heterogeneity, horizontal pleiotropy, and the influence of individual single nucleotide polymorphisms on the analysis. We further explored the causal relationships between BMI, T1D, urolithiasis, and hydronephrosis, as well as the robustness of the analysis results. Inverse variance weighted results showed genetic causal relationships between BMI (P = .034, odds ratio [OR] 95% confidence interval [CI] = 1.273 [1.019-1.589]), T1D (P = .028, OR 95% CI = 0.921 [0.855-0.991]), urolithiasis (P < .001, OR 95% CI = 1.361 [1.175-1.576]), and hydronephrosis. Sensitivity analyses confirmed the accuracy and robustness of these findings. Our results support significant causal roles of BMI, T1D, and urolithiasis in hydronephrosis, potentially offering new intervention strategies for preventing its development.

摘要

体质指数(BMI)、1 型糖尿病(T1D)、尿石症和肾积水相互关联。我们的目的是在基因水平上分析它们之间的因果关系。孟德尔随机化是一种工具变量分析方法,遵循孟德尔遗传法则,即父母等位基因随机分配给后代。在观察性研究中,遗传变异被用作工具变量,以推断暴露因素与研究结果之间的因果关系。我们研究中所有全基因组关联研究数据均公开可用,且来自已发表的全基因组关联研究、英国生物银行和芬兰基因。主要分析方法是随机效应逆方差加权法,补充方法为 R Egger、加权中位数和加权众数。我们检查了异质性、水平多效性以及个体单核苷酸多态性对分析的影响。我们进一步探讨了 BMI、T1D、尿石症和肾积水之间的因果关系,以及分析结果的稳健性。逆方差加权结果表明,BMI(P =.034,优势比[OR]95%置信区间[CI] = 1.273[1.019-1.589])、T1D(P =.028,OR 95%CI = 0.921[0.855-0.991])、尿石症(P <.001,OR 95%CI = 1.361[1.175-1.576])和肾积水之间存在遗传因果关系。敏感性分析证实了这些发现的准确性和稳健性。我们的研究结果支持 BMI、T1D 和尿石症在肾积水发病机制中起重要作用,这为预防肾积水的发生提供了新的干预策略。

https://cdn.ncbi.nlm.nih.gov/pmc/blobs/9bac/11441904/63d44897747d/medi-103-e39914-g001.jpg

文献检索

告别复杂PubMed语法,用中文像聊天一样搜索,搜遍4000万医学文献。AI智能推荐,让科研检索更轻松。

立即免费搜索

文件翻译

保留排版,准确专业,支持PDF/Word/PPT等文件格式,支持 12+语言互译。

免费翻译文档

深度研究

AI帮你快速写综述,25分钟生成高质量综述,智能提取关键信息,辅助科研写作。

立即免费体验