• 文献检索
  • 文档翻译
  • 深度研究
  • 学术资讯
  • Suppr Zotero 插件Zotero 插件
  • 邀请有礼
  • 套餐&价格
  • 历史记录
应用&插件
Suppr Zotero 插件Zotero 插件浏览器插件Mac 客户端Windows 客户端微信小程序
定价
高级版会员购买积分包购买API积分包
服务
文献检索文档翻译深度研究API 文档MCP 服务
关于我们
关于 Suppr公司介绍联系我们用户协议隐私条款
关注我们

Suppr 超能文献

核心技术专利:CN118964589B侵权必究
粤ICP备2023148730 号-1Suppr @ 2026

文献检索

告别复杂PubMed语法,用中文像聊天一样搜索,搜遍4000万医学文献。AI智能推荐,让科研检索更轻松。

立即免费搜索

文件翻译

保留排版,准确专业,支持PDF/Word/PPT等文件格式,支持 12+语言互译。

免费翻译文档

深度研究

AI帮你快速写综述,25分钟生成高质量综述,智能提取关键信息,辅助科研写作。

立即免费体验

软壳橄榄球头盔在标准跌落测试中降低局部脑应变指标的潜力。

Potential of Soft-Shelled Rugby Headgear to Lower Regional Brain Strain Metrics During Standard Drop Tests.

作者信息

Stitt Danyon, Kabaliuk Natalia, Alexander Keith, Draper Nick

机构信息

Department of Mechanical Engineering, University of Canterbury, Christchurch, 8041, New Zealand.

University of Canterbury, Sports Health and Rehabilitation Research Center (SHARRC), Christchurch, 8041, New Zealand.

出版信息

Sports Med Open. 2024 Sep 27;10(1):102. doi: 10.1186/s40798-024-00744-2.

DOI:10.1186/s40798-024-00744-2
PMID:39333426
原文链接:https://pmc.ncbi.nlm.nih.gov/articles/PMC11436562/
Abstract

BACKGROUND

The growing concern for player safety in rugby has led to an increased focus on head impacts. Previous laboratory studies have shown that rugby headgear significantly reduces peak linear and rotational accelerations compared to no headgear. However, these metrics may have limited relevance in assessing the effectiveness of headgear in preventing strain-based brain injuries like concussions. This study used an instantaneous deep-learning brain injury model to quantify regional brain strain mitigation of rugby headgear during drop tests. Tests were conducted on flat and angled impact surfaces across different heights, using a Hybrid III headform and neck.

RESULTS

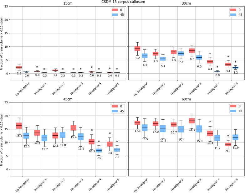
Headgear presence generally reduced the peak rotational velocities, with some headgear outperforming others. However, the effect on peak regional brain strains was less consistent. Of the 5 headgear tested, only the newer models that use open cell foams at densities above 45 kg/m consistently reduced the peak strain in the cerebrum, corpus callosum, and brainstem. The 3 conventional headgear that use closed cell foams at or below 45 kg/m showed no consistent reduction in the peak strain in the cerebrum, corpus callosum, and brainstem.

CONCLUSIONS

The presence of rugby headgear may be able to reduce the severity of head impact exposure during rugby. However, to understand how these findings relate to brain strain mitigation in the field, further investigation into the relationship between the impact conditions in this study and those encountered during actual gameplay is necessary.

摘要

背景

对橄榄球运动员安全问题的日益关注导致人们更加重视头部撞击。此前的实验室研究表明,与不佩戴头盔相比,橄榄球头盔能显著降低峰值线性加速度和旋转加速度。然而,这些指标在评估头盔预防脑震荡等基于应变的脑损伤的有效性方面可能相关性有限。本研究使用即时深度学习脑损伤模型来量化橄榄球头盔在跌落测试期间对局部脑应变的减轻作用。测试使用混合III型头模和颈部,在不同高度的平坦和倾斜撞击表面上进行。

结果

佩戴头盔通常会降低峰值旋转速度,有些头盔的表现优于其他头盔。然而,对峰值局部脑应变的影响则不太一致。在测试的5种头盔中,只有密度高于45 kg/m³且使用开孔泡沫的新型号头盔能持续降低大脑、胼胝体和脑干中的峰值应变。3种使用密度为45 kg/m³或更低的闭孔泡沫的传统头盔在大脑、胼胝体和脑干中的峰值应变方面并未表现出一致的降低。

结论

橄榄球头盔的佩戴可能能够降低橄榄球比赛期间头部撞击暴露的严重程度。然而,为了了解这些发现与实际比赛中脑应变减轻之间的关系,有必要进一步研究本研究中的撞击条件与实际比赛中遇到的撞击条件之间的关系。

https://cdn.ncbi.nlm.nih.gov/pmc/blobs/f343/11436562/3b7801e2f62b/40798_2024_744_Fig10_HTML.jpg
https://cdn.ncbi.nlm.nih.gov/pmc/blobs/f343/11436562/1f6e7e250b25/40798_2024_744_Fig1_HTML.jpg
https://cdn.ncbi.nlm.nih.gov/pmc/blobs/f343/11436562/d9cb536b1936/40798_2024_744_Fig2_HTML.jpg
https://cdn.ncbi.nlm.nih.gov/pmc/blobs/f343/11436562/b2eb3b40bd89/40798_2024_744_Fig3_HTML.jpg
https://cdn.ncbi.nlm.nih.gov/pmc/blobs/f343/11436562/b80b66ed2e45/40798_2024_744_Fig4_HTML.jpg
https://cdn.ncbi.nlm.nih.gov/pmc/blobs/f343/11436562/4b041eb5cda3/40798_2024_744_Fig5_HTML.jpg
https://cdn.ncbi.nlm.nih.gov/pmc/blobs/f343/11436562/c82764de82e4/40798_2024_744_Fig6_HTML.jpg
https://cdn.ncbi.nlm.nih.gov/pmc/blobs/f343/11436562/8fdc365c2906/40798_2024_744_Fig7_HTML.jpg
https://cdn.ncbi.nlm.nih.gov/pmc/blobs/f343/11436562/ea4e9c72cbea/40798_2024_744_Fig8_HTML.jpg
https://cdn.ncbi.nlm.nih.gov/pmc/blobs/f343/11436562/77209d6b2775/40798_2024_744_Fig9_HTML.jpg
https://cdn.ncbi.nlm.nih.gov/pmc/blobs/f343/11436562/3b7801e2f62b/40798_2024_744_Fig10_HTML.jpg
https://cdn.ncbi.nlm.nih.gov/pmc/blobs/f343/11436562/1f6e7e250b25/40798_2024_744_Fig1_HTML.jpg
https://cdn.ncbi.nlm.nih.gov/pmc/blobs/f343/11436562/d9cb536b1936/40798_2024_744_Fig2_HTML.jpg
https://cdn.ncbi.nlm.nih.gov/pmc/blobs/f343/11436562/b2eb3b40bd89/40798_2024_744_Fig3_HTML.jpg
https://cdn.ncbi.nlm.nih.gov/pmc/blobs/f343/11436562/b80b66ed2e45/40798_2024_744_Fig4_HTML.jpg
https://cdn.ncbi.nlm.nih.gov/pmc/blobs/f343/11436562/4b041eb5cda3/40798_2024_744_Fig5_HTML.jpg
https://cdn.ncbi.nlm.nih.gov/pmc/blobs/f343/11436562/c82764de82e4/40798_2024_744_Fig6_HTML.jpg
https://cdn.ncbi.nlm.nih.gov/pmc/blobs/f343/11436562/8fdc365c2906/40798_2024_744_Fig7_HTML.jpg
https://cdn.ncbi.nlm.nih.gov/pmc/blobs/f343/11436562/ea4e9c72cbea/40798_2024_744_Fig8_HTML.jpg
https://cdn.ncbi.nlm.nih.gov/pmc/blobs/f343/11436562/77209d6b2775/40798_2024_744_Fig9_HTML.jpg
https://cdn.ncbi.nlm.nih.gov/pmc/blobs/f343/11436562/3b7801e2f62b/40798_2024_744_Fig10_HTML.jpg

相似文献

1
Potential of Soft-Shelled Rugby Headgear to Lower Regional Brain Strain Metrics During Standard Drop Tests.软壳橄榄球头盔在标准跌落测试中降低局部脑应变指标的潜力。
Sports Med Open. 2024 Sep 27;10(1):102. doi: 10.1186/s40798-024-00744-2.
2
Potential of Soft-Shell Rugby Headgear to Mitigate Linear and Rotational Peak Accelerations.软壳橄榄球头盔减轻线性和旋转峰值加速度的潜力。
Ann Biomed Eng. 2022 Nov;50(11):1546-1564. doi: 10.1007/s10439-022-02912-5. Epub 2022 Jan 20.
3
Drop Test Kinematics Using Varied Impact Surfaces and Head/Neck Configurations for Rugby Headgear Testing.利用不同的冲击表面和头/颈部配置进行跌落测试,以测试橄榄球头盔。
Ann Biomed Eng. 2022 Nov;50(11):1633-1647. doi: 10.1007/s10439-022-03045-5. Epub 2022 Aug 24.
4
Potential of Soft-Shelled Rugby Headgear to Reduce Linear Impact Accelerations.软壳橄榄球头盔降低线性冲击加速度的潜力。
J Healthc Eng. 2021 Apr 23;2021:5567625. doi: 10.1155/2021/5567625. eCollection 2021.
5
Performance enhanced headgear: a scientific approach to the development of protective headgear.性能增强型头盔:一种开发防护头盔的科学方法。
Br J Sports Med. 2004 Feb;38(1):46-9. doi: 10.1136/bjsm.2002.003103.
6
The Impact of Drop Test Conditions on Brain Strain Location and Severity: A Novel Approach Using a Deep Learning Model.跌落测试条件对大脑应变位置和严重程度的影响:一种使用深度学习模型的新方法。
Ann Biomed Eng. 2024 Aug;52(8):2234-2246. doi: 10.1007/s10439-024-03525-w. Epub 2024 May 13.
7
New generation of headgear for rugby: impact reduction of linear and rotational forces by a viscoelastic material-based rugby head guard.新一代橄榄球头盔:基于粘弹性材料的橄榄球头部护具对线性和旋转力的冲击减少作用
BMJ Open Sport Exerc Med. 2018 Dec 7;4(1):e000464. doi: 10.1136/bmjsem-2018-000464. eCollection 2018.
8
Rugby headgear and concussion prevention: misconceptions could increase aggressive play.橄榄球头盔与脑震荡预防:误解可能会增加攻击性比赛行为。
Neurosurg Focus. 2016 Apr;40(4):E12. doi: 10.3171/2016.1.FOCUS15615.
9
Head injury potential and the effectiveness of headgear in women's lacrosse.女子长曲棍球运动中头部受伤的可能性及头盔的有效性
Ann Biomed Eng. 2015 Apr;43(4):949-57. doi: 10.1007/s10439-014-1154-x. Epub 2014 Oct 18.
10
Rugby headgear study.橄榄球头盔研究。
J Sci Med Sport. 2003 Sep;6(3):355-8. doi: 10.1016/s1440-2440(03)80030-0.

本文引用的文献

1
Drop Test Kinematics Using Varied Impact Surfaces and Head/Neck Configurations for Rugby Headgear Testing.利用不同的冲击表面和头/颈部配置进行跌落测试,以测试橄榄球头盔。
Ann Biomed Eng. 2022 Nov;50(11):1633-1647. doi: 10.1007/s10439-022-03045-5. Epub 2022 Aug 24.
2
American Football Helmet Effectiveness Against a Strain-Based Concussion Mechanism.美式橄榄球头盔对基于应变的脑震荡机制的有效性。
Ann Biomed Eng. 2022 Nov;50(11):1498-1509. doi: 10.1007/s10439-022-03005-z. Epub 2022 Jul 11.
3
Real-time dynamic simulation for highly accurate spatiotemporal brain deformation from impact.
用于从撞击中获得高精度时空脑变形的实时动态模拟。
Comput Methods Appl Mech Eng. 2022 May 1;394. doi: 10.1016/j.cma.2022.114913. Epub 2022 Apr 9.
4
The Protective Performance of Modern Motorcycle Helmets Under Oblique Impacts.现代摩托车头盔在斜向冲击下的保护性能。
Ann Biomed Eng. 2022 Nov;50(11):1674-1688. doi: 10.1007/s10439-022-02963-8. Epub 2022 Apr 13.
5
Potential of Soft-Shell Rugby Headgear to Mitigate Linear and Rotational Peak Accelerations.软壳橄榄球头盔减轻线性和旋转峰值加速度的潜力。
Ann Biomed Eng. 2022 Nov;50(11):1546-1564. doi: 10.1007/s10439-022-02912-5. Epub 2022 Jan 20.
6
The relationship between brain injury criteria and brain strain across different types of head impacts can be different.不同类型的头部撞击,脑损伤标准与脑应变之间的关系可能不同。
J R Soc Interface. 2021 Jun;18(179):20210260. doi: 10.1098/rsif.2021.0260. Epub 2021 Jun 2.
7
Potential of Soft-Shelled Rugby Headgear to Reduce Linear Impact Accelerations.软壳橄榄球头盔降低线性冲击加速度的潜力。
J Healthc Eng. 2021 Apr 23;2021:5567625. doi: 10.1155/2021/5567625. eCollection 2021.
8
A New Assessment of Bicycle Helmets: The Brain Injury Mitigation Effects of New Technologies in Oblique Impacts.一种新的自行车头盔评估:新技术在斜向撞击中对脑损伤的缓解效果。
Ann Biomed Eng. 2021 Oct;49(10):2716-2733. doi: 10.1007/s10439-021-02785-0. Epub 2021 May 10.
9
In vivo estimates of axonal stretch and 3D brain deformation during mild head impact.轻度头部撞击过程中轴突拉伸和三维脑变形的体内估计。
Brain Multiphys. 2020 Nov;1. doi: 10.1016/j.brain.2020.100015. Epub 2020 Sep 3.
10
Rapid Estimation of Entire Brain Strain Using Deep Learning Models.利用深度学习模型快速估计全脑应变。
IEEE Trans Biomed Eng. 2021 Nov;68(11):3424-3434. doi: 10.1109/TBME.2021.3073380. Epub 2021 Oct 19.