Suppr超能文献

遗传和非遗传因素对羔羊腰肉剪切力的影响

The Impact of Genetic and Non-Genetic Factors on Lamb Loin Shear Force.

作者信息

Al-Moadhen Hussein, Lees Jarrod C, van der Werf Julius H J, McGilchrist Peter

机构信息

School of Environmental and Rural Science, University of New England, Armidale, NSW 2351, Australia.

School of Agriculture and Food Science, The University of Queensland, Gatton, QLD 4343, Australia.

出版信息

Animals (Basel). 2024 Sep 10;14(18):2628. doi: 10.3390/ani14182628.

Abstract

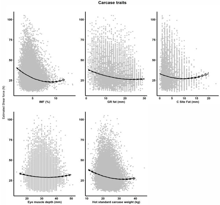
Shear force is commonly used to evaluate tenderness, one of the most crucial eating quality aspects of sheep meat. The effect size of various factors on tenderness is still unknown. Studies have suggested that both genetic and environmental factors contribute to the variation in meat tenderness, and there are possible interactions between these factors. An extensive data set (n = 23,696) was analyzed to examine genetic and non-genetic influences on the shear force at 5 days postmortem (SF5). SF5 was measured on lamb loins () taken from lambs reared over 12 years at eight sites across Australia. The results showed that all carcass traits had a significant ( < 0.001) impact on SF5, with the largest effect on SF5 associated with intramuscular fat (IMF %) ( = 1035). There was also a significant effect of sex, cold shortening at 18 °C, sire type and cohort on SF5 ( < 0.001), with a large variation observed between the minimum cohort at 15.9 ± 1.5 N and maximum at 51.2 ± 2.1 N. In conclusion, a complex matrix of production, processing and genetic factors impact lamb tenderness as measured by shear force. This experiment helps identify the size of the contribution of these factors towards lamb tenderness, enabling the sheep industry to enhance consumers' satisfaction.

摘要

剪切力通常用于评估嫩度,嫩度是羊肉最重要的食用品质方面之一。各种因素对嫩度的效应大小仍不清楚。研究表明,遗传因素和环境因素都导致了肉嫩度的差异,并且这些因素之间可能存在相互作用。分析了一个庞大的数据集(n = 23,696),以研究遗传和非遗传因素对宰后5天剪切力(SF5)的影响。SF5是在取自澳大利亚八个地点饲养超过12年的羔羊的羊腰肉上测量的。结果表明,所有胴体性状对SF5均有显著影响(P < 0.001),对SF5影响最大的是肌内脂肪(IMF%)(P = 1035)。性别、18°C下的冷收缩、父本类型和群体对SF5也有显著影响(P < 0.001),观察到最小群体的SF5为15.9±1.5 N,最大群体为51.2±2.1 N,差异很大。总之,生产、加工和遗传因素的复杂组合会影响通过剪切力测量的羊肉嫩度。本实验有助于确定这些因素对羊肉嫩度的贡献大小,使养羊业能够提高消费者满意度。

https://cdn.ncbi.nlm.nih.gov/pmc/blobs/b6d5/11428881/9eb0949416f5/animals-14-02628-g001.jpg

文献检索

告别复杂PubMed语法,用中文像聊天一样搜索,搜遍4000万医学文献。AI智能推荐,让科研检索更轻松。

立即免费搜索

文件翻译

保留排版,准确专业,支持PDF/Word/PPT等文件格式,支持 12+语言互译。

免费翻译文档

深度研究

AI帮你快速写综述,25分钟生成高质量综述,智能提取关键信息,辅助科研写作。

立即免费体验