Suppr超能文献

澳大利亚原住民初级保健数据规范与潜在可预防住院治疗的比较。

A Comparison of an Australian First Nations Primary Healthcare Data Specification with Potentially Preventable Hospitalisations.

机构信息

Cluster for Resilience and Wellbeing, Appleton and Manna Institutes, Central Queensland University, Brisbane, QLD 4701, Australia.

Violet Vines Marshman Centre for Rural Health Research, La Trobe University, Bendigo, VIC 3550, Australia.

出版信息

Int J Environ Res Public Health. 2024 Sep 9;21(9):1192. doi: 10.3390/ijerph21091192.

Abstract

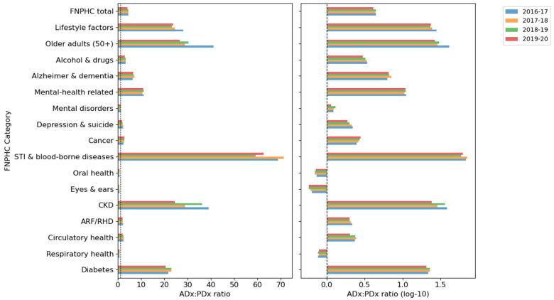
Potentially Preventable Hospitalisations (PPH) is a widely used indicator of the effectiveness of non-hospital care. Specified using the International Classification of Diseases (ICD) coding, PPH comprises a suite of health conditions that could have potentially been prevented with appropriate care. The most recent edition of the documents the health conditions of interest to providers of primary care, many of which are not represented in PPH. Given the has been developed specifically with First Nations in mind, the aim of this research is twofold. The first aim is to formally posit the question of whether a summative measure of hospitalisations aligned diagnostically to the has value either as an alternative or complement to PPH in the context of First Nations primary health information. The second aim is to develop and present a prototype data specification for such a measure, referred to as the First Nations primary healthcare (FNPHC) data specification, and examine the age-standardised hospitalisation rates for FNPHC and PPH for correlations and/or differences. Age-standardised hospitalisation rates from 2016-17 to 2019-20 using both classifications were examined to assess the usefulness and relevance of summative measures of hospitalisations for informing primary care. Rates of FNPHC for principal diagnoses were between 1.5 and 2.5 times higher than those of PPH and approximately between 6 and 12 times higher for additional diagnoses. There was a strong correlation with PPH when rates were compared across all observations: jurisdictions with higher rates of PPH tended to have higher rates of hospitalisations according to the custom specification. Findings support its application as a summary measure for First Nations primary care providers. Given the policy landscape in Australia that aims to close the gap, it is imperative that measures of primary health take advantage of the concepts and application of First Nations data sovereignty and governance. The validity and cultural appropriateness of the First Nations primary health data specification needs to be further researched.

摘要

潜在可预防住院治疗(PPH)是衡量非住院治疗效果的常用指标。使用国际疾病分类(ICD)编码指定,PPH 包括一系列可能通过适当护理预防的健康状况。该文档记录了初级保健提供者感兴趣的健康状况,其中许多状况未包含在 PPH 中。鉴于该文档是专门为原住民开发的,因此这项研究有两个目的。第一个目的是正式提出一个问题,即在原住民初级卫生信息背景下,与原住民医疗保健数据一致的诊断性综合住院治疗测量值是否具有作为 PPH 的替代或补充的价值。第二个目的是开发和呈现这样一种衡量标准的原型原住民医疗保健数据规范,并检查原住民医疗保健和 PPH 的年龄标准化住院率的相关性和/或差异。使用这两种分类法检查了 2016-17 年至 2019-20 年的年龄标准化住院率,以评估汇总住院治疗措施对告知初级保健的有用性和相关性。主要诊断的原住民医疗保健率是 PPH 的 1.5 到 2.5 倍,附加诊断的原住民医疗保健率大约是 PPH 的 6 到 12 倍。当比较所有观察结果的比率时,原住民医疗保健和 PPH 之间存在很强的相关性:PPH 比率较高的司法管辖区根据自定义规范,其住院率也较高。这些发现支持将其作为原住民初级保健提供者的总结措施应用。鉴于澳大利亚旨在缩小差距的政策环境,初级卫生措施必须利用原住民数据主权和治理的概念和应用。原住民初级卫生数据规范的有效性和文化适宜性需要进一步研究。

https://cdn.ncbi.nlm.nih.gov/pmc/blobs/dded/11431243/5d9ca49f3876/ijerph-21-01192-g001.jpg

文献检索

告别复杂PubMed语法,用中文像聊天一样搜索,搜遍4000万医学文献。AI智能推荐,让科研检索更轻松。

立即免费搜索

文件翻译

保留排版,准确专业,支持PDF/Word/PPT等文件格式,支持 12+语言互译。

免费翻译文档

深度研究

AI帮你快速写综述,25分钟生成高质量综述,智能提取关键信息,辅助科研写作。

立即免费体验