• 文献检索
  • 文档翻译
  • 深度研究
  • 学术资讯
  • Suppr Zotero 插件Zotero 插件
  • 邀请有礼
  • 套餐&价格
  • 历史记录
应用&插件
Suppr Zotero 插件Zotero 插件浏览器插件Mac 客户端Windows 客户端微信小程序
定价
高级版会员购买积分包购买API积分包
服务
文献检索文档翻译深度研究API 文档MCP 服务
关于我们
关于 Suppr公司介绍联系我们用户协议隐私条款
关注我们

Suppr 超能文献

核心技术专利:CN118964589B侵权必究
粤ICP备2023148730 号-1Suppr @ 2026

文献检索

告别复杂PubMed语法,用中文像聊天一样搜索,搜遍4000万医学文献。AI智能推荐,让科研检索更轻松。

立即免费搜索

文件翻译

保留排版,准确专业,支持PDF/Word/PPT等文件格式,支持 12+语言互译。

免费翻译文档

深度研究

AI帮你快速写综述,25分钟生成高质量综述,智能提取关键信息,辅助科研写作。

立即免费体验

黄瓜中CsPALs的全基因组鉴定与表达分析揭示其在非生物胁迫和蚜虫胁迫耐受性中的潜在作用

Genome-Wide Characterization and Expression Analysis of CsPALs in Cucumber ( L.) Reveal Their Potential Roles in Abiotic Stress and Aphid Stress Tolerance.

作者信息

Gu Jieni, Sohail Hamza, Qiu Lei, Chen Chaoyan, Yue Haoyu, Li Ziyi, Yang Xiaodong, Zhang Lili

机构信息

College of Horticulture and Landscape Architecture, Yangzhou University, Yangzhou 225009, China.

出版信息

Plants (Basel). 2024 Sep 10;13(18):2537. doi: 10.3390/plants13182537.

DOI:10.3390/plants13182537
PMID:39339512
原文链接:https://pmc.ncbi.nlm.nih.gov/articles/PMC11435200/
Abstract

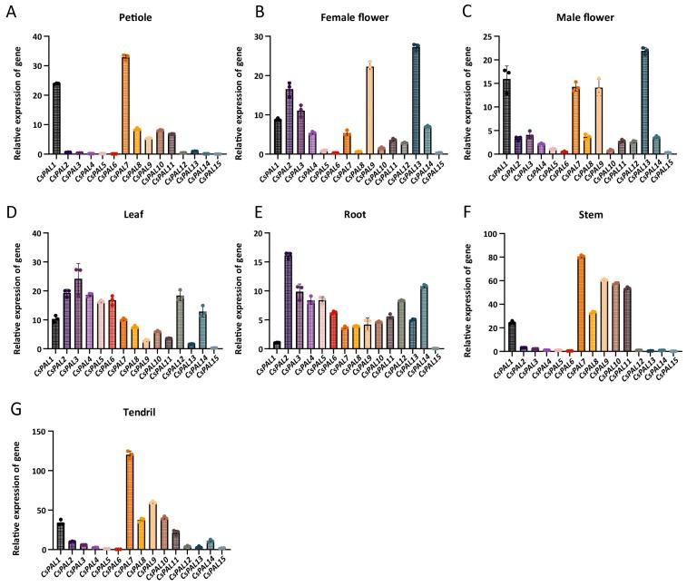
Phenylalanine ammonia lyase (PAL) is a pivotal enzyme in the phenylalanine metabolic pathway in plants and has a crucial role in the plant's response to environmental stress. Although the PAL family has been widely studied in many plant species, limited is known about its particular role in cucumbers under stress. We investigated the physicochemical properties, gene structure, gene duplication events, conserved motifs, cis-acting elements, protein interaction networks, stress-related transcriptome data, and quantitatively validated key stress-related genes. The main results indicated that 15 genes were grouped into four clades: I, II, and III when arranged in a phylogenetic tree of genes in angiosperms. The analysis of the promoter sequence revealed the presence of multiple cis-acting elements related to hormones and stress responses in the cucumber genes (). The analysis of protein interaction networks suggested that CsPAL1 interacts with eight other members of the PAL family through CsELI5 and CsHISNA, and directly interacts with multiple proteins in the 4CL family. Further investigation into the expression patterns of genes in different tissues and under various stress treatments (NaCl, Cu, Zn, PEG6000, aphids) demonstrated significant differential expression of across cucumber tissues. In summary, our characterization of the family offers valuable insights and provides important clues regarding the molecular mechanisms of in managing abiotic and biotic stress interactions in cucumbers.

摘要

苯丙氨酸解氨酶(PAL)是植物苯丙氨酸代谢途径中的关键酶,在植物对环境胁迫的响应中起着至关重要的作用。尽管PAL家族已在许多植物物种中得到广泛研究,但关于其在胁迫下对黄瓜的具体作用知之甚少。我们研究了其理化性质、基因结构、基因复制事件、保守基序、顺式作用元件、蛋白质相互作用网络、胁迫相关转录组数据,并对关键胁迫相关基因进行了定量验证。主要结果表明,在被子植物基因系统发育树中,15个基因被分为四个进化枝:I、II和III。启动子序列分析表明,黄瓜基因中存在多个与激素和胁迫反应相关的顺式作用元件。蛋白质相互作用网络分析表明,CsPAL1通过CsELI5和CsHISNA与PAL家族的其他八个成员相互作用,并与4CL家族中的多种蛋白质直接相互作用。进一步研究基因在不同组织和各种胁迫处理(NaCl、Cu、Zn、PEG6000、蚜虫)下的表达模式,结果表明基因在黄瓜组织中存在显著差异表达。总之,我们对该家族的表征提供了有价值的见解,并为黄瓜中PAL在管理非生物和生物胁迫相互作用的分子机制提供了重要线索。

https://cdn.ncbi.nlm.nih.gov/pmc/blobs/f62e/11435200/b780927addac/plants-13-02537-g008.jpg
https://cdn.ncbi.nlm.nih.gov/pmc/blobs/f62e/11435200/3da6b214c05d/plants-13-02537-g001.jpg
https://cdn.ncbi.nlm.nih.gov/pmc/blobs/f62e/11435200/43d2118d656a/plants-13-02537-g002.jpg
https://cdn.ncbi.nlm.nih.gov/pmc/blobs/f62e/11435200/cfedfecabf8c/plants-13-02537-g003.jpg
https://cdn.ncbi.nlm.nih.gov/pmc/blobs/f62e/11435200/8f286b66521b/plants-13-02537-g004.jpg
https://cdn.ncbi.nlm.nih.gov/pmc/blobs/f62e/11435200/37a0af73ac79/plants-13-02537-g005.jpg
https://cdn.ncbi.nlm.nih.gov/pmc/blobs/f62e/11435200/774526f379a3/plants-13-02537-g006.jpg
https://cdn.ncbi.nlm.nih.gov/pmc/blobs/f62e/11435200/41e821670451/plants-13-02537-g007.jpg
https://cdn.ncbi.nlm.nih.gov/pmc/blobs/f62e/11435200/b780927addac/plants-13-02537-g008.jpg
https://cdn.ncbi.nlm.nih.gov/pmc/blobs/f62e/11435200/3da6b214c05d/plants-13-02537-g001.jpg
https://cdn.ncbi.nlm.nih.gov/pmc/blobs/f62e/11435200/43d2118d656a/plants-13-02537-g002.jpg
https://cdn.ncbi.nlm.nih.gov/pmc/blobs/f62e/11435200/cfedfecabf8c/plants-13-02537-g003.jpg
https://cdn.ncbi.nlm.nih.gov/pmc/blobs/f62e/11435200/8f286b66521b/plants-13-02537-g004.jpg
https://cdn.ncbi.nlm.nih.gov/pmc/blobs/f62e/11435200/37a0af73ac79/plants-13-02537-g005.jpg
https://cdn.ncbi.nlm.nih.gov/pmc/blobs/f62e/11435200/774526f379a3/plants-13-02537-g006.jpg
https://cdn.ncbi.nlm.nih.gov/pmc/blobs/f62e/11435200/41e821670451/plants-13-02537-g007.jpg
https://cdn.ncbi.nlm.nih.gov/pmc/blobs/f62e/11435200/b780927addac/plants-13-02537-g008.jpg

相似文献

1
Genome-Wide Characterization and Expression Analysis of CsPALs in Cucumber ( L.) Reveal Their Potential Roles in Abiotic Stress and Aphid Stress Tolerance.黄瓜中CsPALs的全基因组鉴定与表达分析揭示其在非生物胁迫和蚜虫胁迫耐受性中的潜在作用
Plants (Basel). 2024 Sep 10;13(18):2537. doi: 10.3390/plants13182537.
2
Genome wide identification of phenylalanine ammonia-lyase (PAL) gene family in Cucumis sativus (cucumber) against abiotic stress.黄瓜(Cucumis sativus)应对非生物胁迫的苯丙氨酸解氨酶(PAL)基因家族的全基因组鉴定。
BMC Genom Data. 2024 Aug 26;25(1):76. doi: 10.1186/s12863-024-01259-1.
3
Multiple tandem duplication of the phenylalanine ammonia-lyase genes in Cucumis sativus L.黄瓜中苯丙氨酸解氨酶基因的串联重复
Planta. 2012 Oct;236(4):1093-105. doi: 10.1007/s00425-012-1659-1. Epub 2012 May 10.
4
Genome-wide identification and expression analysis of phenylalanine ammonia-lyase (PAL) family in rapeseed (Brassica napus L.).油菜(甘蓝型油菜)苯丙氨酸解氨酶(PAL)家族的全基因组鉴定和表达分析。
BMC Plant Biol. 2023 Oct 10;23(1):481. doi: 10.1186/s12870-023-04472-9.
5
Genome-wide identification and molecular characterization of CRK gene family in cucumber (Cucumis sativus L.) under cold stress and sclerotium rolfsii infection.黄瓜(Cucumis sativus L.)在冷胁迫和菌核病菌侵染下的 CRK 基因家族的全基因组鉴定和分子特征分析。
BMC Genomics. 2023 Apr 26;24(1):219. doi: 10.1186/s12864-023-09319-z.
6
Genome-wide analysis of the WRKY gene family in the cucumber genome and transcriptome-wide identification of WRKY transcription factors that respond to biotic and abiotic stresses.黄瓜基因组中 WRKY 基因家族的全基因组分析和对生物和非生物胁迫有响应的 WRKY 转录因子的全转录组鉴定。
BMC Plant Biol. 2020 Sep 25;20(1):443. doi: 10.1186/s12870-020-02625-8.
7
Genome-Wide Characterization of GRAS Family and Their Potential Roles in Cold Tolerance of Cucumber ( L.).黄瓜(L.)GRAS 家族的全基因组特征及其在耐冷性中的潜在作用
Int J Mol Sci. 2020 May 29;21(11):3857. doi: 10.3390/ijms21113857.
8
Genome-wide identification and characterization of cucumber bHLH family genes and the functional characterization of CsbHLH041 in NaCl and ABA tolerance in Arabidopsis and cucumber.黄瓜 bHLH 家族基因的全基因组鉴定和特征分析,以及 CsbHLH041 在拟南芥和黄瓜耐盐和 ABA 中的功能特征。
BMC Plant Biol. 2020 Jun 11;20(1):272. doi: 10.1186/s12870-020-02440-1.
9
Genome-Wide Identification and Characterization of the Gene Family in Cucumber ( L.).黄瓜(L.)基因家族的全基因组鉴定和特征分析
Int J Mol Sci. 2022 May 2;23(9):5048. doi: 10.3390/ijms23095048.
10
The phenylalanine ammonia lyase (PAL) gene family shows a gymnosperm-specific lineage.苯丙氨酸解氨酶(PAL)基因家族表现出明显的裸子植物特异性分支。
BMC Genomics. 2012 Jun 11;13 Suppl 3(Suppl 3):S1. doi: 10.1186/1471-2164-13-S3-S1.

本文引用的文献

1
Exploring the evolution of gene family in plants.探索植物基因家族的进化
Front Genet. 2024 Apr 30;15:1368358. doi: 10.3389/fgene.2024.1368358. eCollection 2024.
2
Morphological, physio-biochemical, and molecular indications of heat stress tolerance in cucumber.黄瓜耐热性的形态、生理生化和分子指标。
Sci Rep. 2023 Oct 31;13(1):18729. doi: 10.1038/s41598-023-45163-7.
3
Salt Tolerance Evaluation of Cucumber Germplasm under Sodium Chloride Stress.氯化钠胁迫下黄瓜种质资源的耐盐性评价
Plants (Basel). 2023 Aug 12;12(16):2927. doi: 10.3390/plants12162927.
4
RING finger ubiquitin E3 ligase CsCHYR1 targets CsATAF1 for degradation to modulate the drought stress response of cucumber through the ABA-dependent pathway.RING 指泛素 E3 连接酶 CsCHYR1 靶向 CsATAF1 进行降解,通过依赖 ABA 的途径调节黄瓜的干旱胁迫反应。
Plant Physiol Biochem. 2023 Sep;202:107928. doi: 10.1016/j.plaphy.2023.107928. Epub 2023 Aug 2.
5
Comprehensive Analysis of BrHMPs Reveals Potential Roles in Abiotic Stress Tolerance and Pollen-Stigma Interaction in .全面分析 BrHMPs 揭示了其在 中的非生物胁迫耐受和花粉柱头互作中的潜在作用。
Cells. 2023 Apr 6;12(7):1096. doi: 10.3390/cells12071096.
6
A CsEIL3-CsARN6.1 module promotes waterlogging-triggered adventitious root formation in cucumber by activating the expression of CsPrx5.一个 CsEIL3-CsARN6.1 模块通过激活 CsPrx5 的表达促进黄瓜涝渍胁迫下不定根的形成。
Plant J. 2023 May;114(4):824-835. doi: 10.1111/tpj.16172. Epub 2023 Mar 26.
7
The phloem lectin PP2-A1 enhances aphid resistance by affecting aphid behavior and maintaining ROS homeostasis in cucumber plants.韧皮部凝集素PP2-A1通过影响蚜虫行为和维持黄瓜植株中的活性氧稳态来增强抗蚜性。
Int J Biol Macromol. 2023 Feb 28;229:432-442. doi: 10.1016/j.ijbiomac.2022.12.248. Epub 2022 Dec 26.
8
Genome-Wide Analysis and Expression Profiling of the Phenylalanine Ammonia-Lyase Gene Family in .拟南芥苯丙氨酸解氨酶基因家族的全基因组分析和表达谱分析。
Int J Mol Sci. 2022 Jun 20;23(12):6833. doi: 10.3390/ijms23126833.
9
Evaluation and Genetic Analysis of Parthenocarpic Germplasms in Cucumber.黄瓜雌性系种质的鉴定与遗传分析。
Genes (Basel). 2022 Jan 25;13(2):225. doi: 10.3390/genes13020225.
10
Salicylic Acid Enhances Adventitious Root and Aerenchyma Formation in Wheat under Waterlogged Conditions.水杨酸促进淹水条件下小麦不定根和气腔形成
Int J Mol Sci. 2022 Jan 23;23(3):1243. doi: 10.3390/ijms23031243.