Suppr超能文献

从 SARS-CoV-2 感染和未感染患者的鼻咽拭子中获得的上皮抗菌肽/蛋白和细胞因子表达谱。

Epithelial Antimicrobial Peptide/Protein and Cytokine Expression Profiles Obtained from Nasopharyngeal Swabs of SARS-CoV-2-Infected and Non-Infected Subjects.

机构信息

Department of Dermatology, Ruhr-University Bochum, 44791 Bochum, Germany.

Department of Dermatology, Dortmund Hospital, Faculty of Health, School of Medicine, University Witten/Herdecke, 44137 Dortmund, Germany.

出版信息

Viruses. 2024 Sep 15;16(9):1471. doi: 10.3390/v16091471.

Abstract

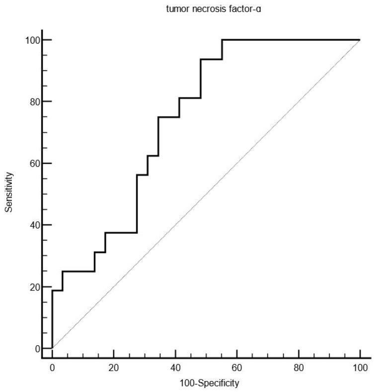
Immune responses of the epithelia of the upper respiratory tract are likely crucial in early inhibition of the viral replication and finally clearance of SARS-CoV-2. We aimed to compare the expression profiles of antimicrobial peptides/proteins (AMPs) and related cytokines observed in the nasopharynx of SARS-CoV-2-infected patients and non-infected controls and to assess the associations between these parameters and COVID-19 patients' outcomes. We included 45 subjects who had tested positive for SARS-CoV-2 and 22 control subjects who had tested negative for SARS-CoV-2. Biomaterial for SARS-CoV-2 detection, as well as gene and protein expression studies, was obtained from all subjects using nasopharyngeal swabs which were performed a maximum of 7 days before inclusion in the study. Univariable and multivariable statistics were performed. When compared to the controls, the mRNA expression levels of human β-defensin 1 (hBD-1), LL-37, and trappin-2 were significantly higher in specimens of nasopharyngeal swabs from COVID-19 patients. Protein expression of hBD-1 was also increased in the COVID-19 group. mRNA expression levels of interferon-ɣ (IFN-ɣ), tumor necrosis factor- ɑ (TNF-ɑ), and interleukin-6 (IL-6) measured in SARS-CoV-2-infected patients were significantly higher than those observed in the controls, which could also be confirmed in the protein levels of IFN-ɣ and IL-6. A significant correlation between mRNA and protein levels could be observed only for IL-6. Univariable analysis revealed that low IFN-ɣ mRNA levels were associated with severe/fatal outcomes. The occurrence of COVID-19 pneumonia was significantly associated with lower expression levels of IL-6 mRNA, IFN-ɣ mRNA, and TNF-ɑ mRNA. Concerning the severe/fatal outcomes, the multivariable logistic regression model revealed that none of the aforementioned parameters remained significant in the model. However, the logistic regression model revealed that higher TNF-ɑ mRNA expression was a significant independent predictor of absence of pneumonia [odds ratio: 0.35 (95% CI 0.14 to 0.88, = 0.024)]. In conclusion, nasopharyngeal expression of AMPs (hBD-1, LL-37, and trappin-2) and cytokines (IL-6, IFN-ɣ, and TNF-ɑ) is upregulated in response to early SARS-CoV-2 infection, indicating that these AMPs and cytokines play a role in the local host defense against the virus. Upregulated nasopharyngeal TNF-ɑ mRNA expression during the early phase of SARS-CoV-2 infection was a significant independent predictor of the absence of COVID-19 pneumonia. Hence, high TNF-ɑ mRNA expression in the nasopharynx appears to be a protective factor for lung complications in COVID-19 patients.

摘要

上呼吸道上皮的免疫反应可能在早期抑制病毒复制和最终清除 SARS-CoV-2 中起着至关重要的作用。我们旨在比较 SARS-CoV-2 感染患者和未感染对照者鼻咽部观察到的抗菌肽/蛋白 (AMP) 和相关细胞因子的表达谱,并评估这些参数与 COVID-19 患者结局之间的关联。我们纳入了 45 名 SARS-CoV-2 检测呈阳性的受试者和 22 名 SARS-CoV-2 检测呈阴性的对照受试者。使用鼻咽拭子从所有受试者中获得 SARS-CoV-2 检测的生物材料以及基因和蛋白质表达研究,这些拭子在纳入研究前最多 7 天进行。进行了单变量和多变量统计分析。与对照组相比,COVID-19 患者鼻咽拭子标本中人类β防御素 1 (hBD-1)、LL-37 和 trappin-2 的 mRNA 表达水平显着升高。COVID-19 组中 hBD-1 的蛋白表达也增加。在 SARS-CoV-2 感染患者中测量的干扰素-ɣ (IFN-ɣ)、肿瘤坏死因子-ɑ (TNF-ɑ) 和白细胞介素-6 (IL-6) 的 mRNA 表达水平显着高于对照组,这也可以在 IFN-ɣ 和 IL-6 的蛋白水平上得到证实。仅可观察到 IL-6 的 mRNA 和蛋白水平之间存在显着相关性。单变量分析显示,IFN-ɣ mRNA 水平低与严重/致命结局相关。COVID-19 肺炎的发生与 IL-6 mRNA、IFN-ɣ mRNA 和 TNF-ɑ mRNA 表达水平降低显着相关。关于严重/致命结局,多变量逻辑回归模型显示,模型中没有上述参数仍然具有统计学意义。然而,逻辑回归模型显示,较高的 TNF-ɑ mRNA 表达是无肺炎的显着独立预测因子[优势比:0.35 (95%CI 0.14 至 0.88, = 0.024)]。总之,早期 SARS-CoV-2 感染会导致鼻咽部 AMPs(hBD-1、LL-37 和 trappin-2)和细胞因子(IL-6、IFN-ɣ 和 TNF-ɑ)的表达上调,表明这些 AMPs 和细胞因子在病毒的局部宿主防御中发挥作用。SARS-CoV-2 感染早期鼻咽部 TNF-ɑ mRNA 表达上调是 COVID-19 肺炎缺失的显著独立预测因子。因此,SARS-CoV-2 感染早期鼻咽部 TNF-ɑ mRNA 表达升高是 COVID-19 患者肺部并发症的保护因素。

https://cdn.ncbi.nlm.nih.gov/pmc/blobs/cc55/11437508/7111a2ebbc48/viruses-16-01471-g001.jpg

文献检索

告别复杂PubMed语法,用中文像聊天一样搜索,搜遍4000万医学文献。AI智能推荐,让科研检索更轻松。

立即免费搜索

文件翻译

保留排版,准确专业,支持PDF/Word/PPT等文件格式,支持 12+语言互译。

免费翻译文档

深度研究

AI帮你快速写综述,25分钟生成高质量综述,智能提取关键信息,辅助科研写作。

立即免费体验