• 文献检索
  • 文档翻译
  • 深度研究
  • 学术资讯
  • Suppr Zotero 插件Zotero 插件
  • 邀请有礼
  • 套餐&价格
  • 历史记录
应用&插件
Suppr Zotero 插件Zotero 插件浏览器插件Mac 客户端Windows 客户端微信小程序
定价
高级版会员购买积分包购买API积分包
服务
文献检索文档翻译深度研究API 文档MCP 服务
关于我们
关于 Suppr公司介绍联系我们用户协议隐私条款
关注我们

Suppr 超能文献

核心技术专利:CN118964589B侵权必究
粤ICP备2023148730 号-1Suppr @ 2026

文献检索

告别复杂PubMed语法,用中文像聊天一样搜索,搜遍4000万医学文献。AI智能推荐,让科研检索更轻松。

立即免费搜索

文件翻译

保留排版,准确专业,支持PDF/Word/PPT等文件格式,支持 12+语言互译。

免费翻译文档

深度研究

AI帮你快速写综述,25分钟生成高质量综述,智能提取关键信息,辅助科研写作。

立即免费体验

快速、变刚度诱导的编织螺旋状人工肌肉。

Fast, variable stiffness-induced braided coiled artificial muscles.

机构信息

School of Mechanical Engineering, Jiangsu University, Zhenjiang 212013, PR China.

Alan G. MacDiarmid NanoTech Institute, University of Texas at Dallas, Richardson, TX 75080.

出版信息

Proc Natl Acad Sci U S A. 2024 Oct 8;121(41):e2412288121. doi: 10.1073/pnas.2412288121. Epub 2024 Sep 30.

DOI:10.1073/pnas.2412288121
PMID:39348536
原文链接:https://pmc.ncbi.nlm.nih.gov/articles/PMC11474079/
Abstract

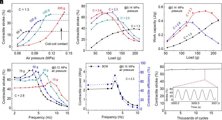
Biomimetic actuation technologies with high muscle strokes, cycle rates, and work capacities are necessary for robotic systems. We present a muscle type that operates based on changes in muscle stiffness caused by volume expansion. This muscle is created by coiling a mechanically strong braid, in which an elastomer hollow tube is adhesively attached inside. We show that the muscle reversibly contracts by 47.3% when driven by an oscillating input air pressure of 120 kilopascals at 10 Hz. It generates a maximum power density of 3.0 W/g and demonstrates a mechanical contractile efficiency of 74%. The muscle's low-pressure operation allowed for portable, thermal pneumatical actuation. Moreover, the muscle demonstrated bipolar actuation, wherein internal pressure leads to muscle length expansion if the initial muscle length is compressed and contraction if the muscle is not compressed. Modeling indicates that muscle expansion significantly alters its stiffness, which causes muscle actuation. We demonstrate the utility of BCMs for fast running and climbing robots.

摘要

仿生驱动技术需要具有高肌肉行程、高循环速率和高工作能力,以满足机器人系统的需求。我们提出了一种基于肌肉硬度变化的肌肉类型,这种肌肉通过卷曲一个机械强度高的编织物来实现,其中一个弹性体空心管被粘在里面。我们展示了这种肌肉在 10 Hz 时,通过 120 千帕的振荡输入气压驱动,可以可逆地收缩 47.3%。它产生的最大功率密度为 3.0 W/g,机械收缩效率为 74%。这种肌肉的低压操作允许使用便携式热气动驱动器。此外,这种肌肉还表现出双极驱动,即如果初始肌肉长度被压缩,则内部压力会导致肌肉长度扩张,如果肌肉没有被压缩,则会导致肌肉收缩。模型表明,肌肉的膨胀会显著改变其硬度,从而导致肌肉的驱动。我们展示了 BCM 在快速奔跑和攀爬机器人中的应用。

https://cdn.ncbi.nlm.nih.gov/pmc/blobs/4fb2/11474079/26ce7d60c9a1/pnas.2412288121fig05.jpg
https://cdn.ncbi.nlm.nih.gov/pmc/blobs/4fb2/11474079/0a307b10faed/pnas.2412288121fig01.jpg
https://cdn.ncbi.nlm.nih.gov/pmc/blobs/4fb2/11474079/6866bed72253/pnas.2412288121fig02.jpg
https://cdn.ncbi.nlm.nih.gov/pmc/blobs/4fb2/11474079/359f2da8959a/pnas.2412288121fig03.jpg
https://cdn.ncbi.nlm.nih.gov/pmc/blobs/4fb2/11474079/3217271d90aa/pnas.2412288121fig04.jpg
https://cdn.ncbi.nlm.nih.gov/pmc/blobs/4fb2/11474079/26ce7d60c9a1/pnas.2412288121fig05.jpg
https://cdn.ncbi.nlm.nih.gov/pmc/blobs/4fb2/11474079/0a307b10faed/pnas.2412288121fig01.jpg
https://cdn.ncbi.nlm.nih.gov/pmc/blobs/4fb2/11474079/6866bed72253/pnas.2412288121fig02.jpg
https://cdn.ncbi.nlm.nih.gov/pmc/blobs/4fb2/11474079/359f2da8959a/pnas.2412288121fig03.jpg
https://cdn.ncbi.nlm.nih.gov/pmc/blobs/4fb2/11474079/3217271d90aa/pnas.2412288121fig04.jpg
https://cdn.ncbi.nlm.nih.gov/pmc/blobs/4fb2/11474079/26ce7d60c9a1/pnas.2412288121fig05.jpg

相似文献

1
Fast, variable stiffness-induced braided coiled artificial muscles.快速、变刚度诱导的编织螺旋状人工肌肉。
Proc Natl Acad Sci U S A. 2024 Oct 8;121(41):e2412288121. doi: 10.1073/pnas.2412288121. Epub 2024 Sep 30.
2
Cavatappi artificial muscles from drawing, twisting, and coiling polymer tubes.通过拉伸、扭转和盘绕聚合物管制成的空心螺旋面人造肌肉。
Sci Robot. 2021 Apr 21;6(53). doi: 10.1126/scirobotics.abd5383.
3
Thermo-Pneumatic Artificial Muscle: Air-Based Thermo-Pneumatic Artificial Muscles for Pumpless Pneumatic Actuation.热气动人工肌肉:无泵气动致动的基于空气的热气动人工肌肉。
Soft Robot. 2024 Apr;11(2):187-197. doi: 10.1089/soro.2022.0229. Epub 2023 Aug 30.
4
Fluid-driven origami-inspired artificial muscles.液驱折纸启发的人工肌肉。
Proc Natl Acad Sci U S A. 2017 Dec 12;114(50):13132-13137. doi: 10.1073/pnas.1713450114. Epub 2017 Nov 27.
5
Improving actuation efficiency through variable recruitment hydraulic McKibben muscles: modeling, orderly recruitment control, and experiments.通过可变募集液压麦基本肌肉提高驱动效率:建模、有序募集控制及实验
Bioinspir Biomim. 2016 Nov 3;11(6):065004. doi: 10.1088/1748-3190/11/6/065004.
6
Actuation of untethered pneumatic artificial muscles and soft robots using magnetically induced liquid-to-gas phase transitions.使用磁诱导液-气相转变驱动非束缚气动人工肌肉和软体机器人。
Sci Robot. 2020 Apr 15;5(41). doi: 10.1126/scirobotics.aaz4239.
7
Empirical modeling of dynamic behaviors of pneumatic artificial muscle actuators.气动人工肌肉执行器动态行为的经验建模。
ISA Trans. 2013 Nov;52(6):825-34. doi: 10.1016/j.isatra.2013.06.009. Epub 2013 Jul 17.
8
Multifunctional Magnetic Muscles for Soft Robotics.多功能磁性肌肉用于软体机器人。
Nat Commun. 2024 Sep 10;15(1):7929. doi: 10.1038/s41467-024-52347-w.
9
A Novel Soft Pneumatic Artificial Muscle with High-Contraction Ratio.一种具有高收缩比的新型软气动人工肌肉。
Soft Robot. 2018 Oct;5(5):554-566. doi: 10.1089/soro.2017.0114. Epub 2018 Jun 20.
10
Modeling the dynamic characteristics of pneumatic muscle.模拟气动肌肉的动态特性。
Ann Biomed Eng. 2003 Mar;31(3):310-7. doi: 10.1114/1.1554921.

本文引用的文献

1
Untethered soft actuators for soft standalone robotics.用于软独立机器人的无束缚软致动器。
Nat Commun. 2024 Apr 25;15(1):3510. doi: 10.1038/s41467-024-47639-0.
2
Fast and Strong Carbon Nanotube Yarn Artificial Muscles by Electro-osmotic Pump.基于电渗泵的快速强力碳纳米管纱线人工肌肉
ACS Nano. 2024 Jan 9;18(1):428-435. doi: 10.1021/acsnano.3c07694. Epub 2023 Dec 21.
3
X-crossing pneumatic artificial muscles.X 交叉气动人工肌肉。
Sci Adv. 2023 Sep 22;9(38):eadi7133. doi: 10.1126/sciadv.adi7133. Epub 2023 Sep 20.
4
Thermo-Pneumatic Artificial Muscle: Air-Based Thermo-Pneumatic Artificial Muscles for Pumpless Pneumatic Actuation.热气动人工肌肉:无泵气动致动的基于空气的热气动人工肌肉。
Soft Robot. 2024 Apr;11(2):187-197. doi: 10.1089/soro.2022.0229. Epub 2023 Aug 30.
5
Pretension-Free and Self-Recoverable Coiled Artificial Muscle Fibers with Powerful Cyclic Work Capability.具有强大循环工作能力的无预紧力且可自恢复的盘绕式人造肌肉纤维。
ACS Nano. 2023 Jul 11;17(13):12809-12819. doi: 10.1021/acsnano.3c03942. Epub 2023 Jun 20.
6
Ultra-Soft Organogel Artificial Muscles Exhibiting High Power Density, Large Stroke, Fast Response and Long-Term Durability in Air.在空气中展现出高功率密度、大行程、快速响应和长期耐久性的超软有机凝胶人工肌肉。
Adv Mater. 2023 Jul;35(29):e2210419. doi: 10.1002/adma.202210419. Epub 2023 May 28.
7
Fiber pumps for wearable fluidic systems.用于可穿戴流体系统的纤维泵
Science. 2023 Mar 31;379(6639):1327-1332. doi: 10.1126/science.ade8654. Epub 2023 Mar 30.
8
Plant-Like Tropisms in Artificial Muscles.植物样向性在人造肌肉中的体现。
Adv Mater. 2023 Dec;35(51):e2212046. doi: 10.1002/adma.202212046. Epub 2023 May 14.
9
Microfluidic manipulation by spiral hollow-fibre actuators.螺旋中空纤维驱动器的微流控操作。
Nat Commun. 2022 Mar 14;13(1):1331. doi: 10.1038/s41467-022-29088-9.
10
Miniature coiled artificial muscle for wireless soft medical devices.用于无线软医疗设备的微型盘绕人工肌肉。
Sci Adv. 2022 Mar 11;8(10):eabm5616. doi: 10.1126/sciadv.abm5616.