• 文献检索
  • 文档翻译
  • 深度研究
  • 学术资讯
  • Suppr Zotero 插件Zotero 插件
  • 邀请有礼
  • 套餐&价格
  • 历史记录
应用&插件
Suppr Zotero 插件Zotero 插件浏览器插件Mac 客户端Windows 客户端微信小程序
定价
高级版会员购买积分包购买API积分包
服务
文献检索文档翻译深度研究API 文档MCP 服务
关于我们
关于 Suppr公司介绍联系我们用户协议隐私条款
关注我们

Suppr 超能文献

核心技术专利:CN118964589B侵权必究
粤ICP备2023148730 号-1Suppr @ 2026

文献检索

告别复杂PubMed语法,用中文像聊天一样搜索,搜遍4000万医学文献。AI智能推荐,让科研检索更轻松。

立即免费搜索

文件翻译

保留排版,准确专业,支持PDF/Word/PPT等文件格式,支持 12+语言互译。

免费翻译文档

深度研究

AI帮你快速写综述,25分钟生成高质量综述,智能提取关键信息,辅助科研写作。

立即免费体验

胰腺β细胞中线粒体形态的代谢调控:生物能量学与线粒体动态的偶联。

Metabolic regulation of mitochondrial morphologies in pancreatic beta cells: coupling of bioenergetics and mitochondrial dynamics.

机构信息

Graduate Institute of Biomedical Electronics and Bioinformatics, National Taiwan University, Taipei, Taiwan.

Department of Biomedical Engineering, The Chinese University of Hong Kong, Shatin, New Territories, Hong Kong SAR, China.

出版信息

Commun Biol. 2024 Oct 5;7(1):1267. doi: 10.1038/s42003-024-06955-3.

DOI:10.1038/s42003-024-06955-3
PMID:39369076
原文链接:https://pmc.ncbi.nlm.nih.gov/articles/PMC11455970/
Abstract

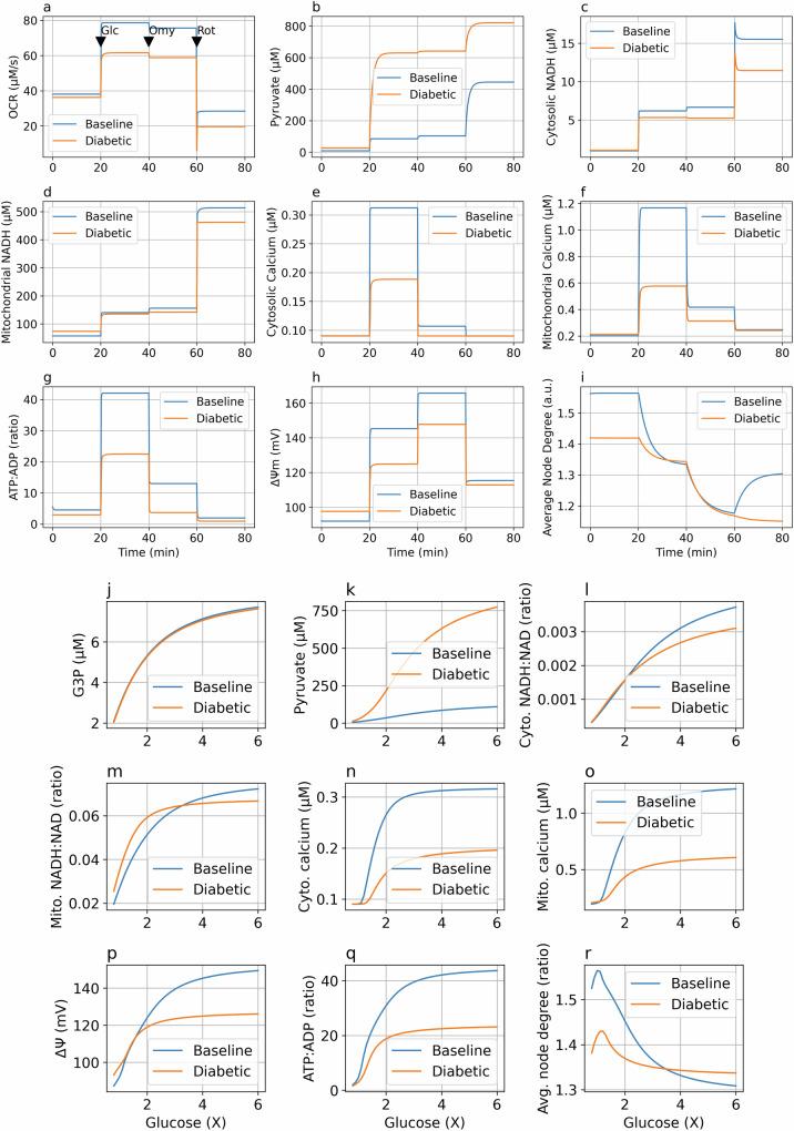
Cellular bioenergetics and mitochondrial dynamics are crucial for the secretion of insulin by pancreatic beta cells in response to elevated levels of blood glucose. To elucidate the interactions between energy production and mitochondrial fission/fusion dynamics, we combine live-cell mitochondria imaging with biophysical-based modeling and graph-based network analysis. The aim is to determine the mechanism that regulates mitochondrial morphology and balances metabolic demands in pancreatic beta cells. A minimalistic differential equation-based model for beta cells is constructed that includes glycolysis, oxidative phosphorylation, calcium dynamics, and fission/fusion dynamics, with ATP synthase flux and proton leak flux as main regulators of mitochondrial dynamics. The model shows that mitochondrial fission occurs in response to hyperglycemia, starvation, ATP synthase inhibition, uncoupling, and diabetic conditions, in which the rate of proton leakage exceeds the rate of mitochondrial ATP synthesis. Under these metabolic challenges, the propensities of tip-to-tip fusion events simulated from the microscopy images of the mitochondrial networks are lower than those in the control group and prevent the formation of mitochondrial networks. The study provides a quantitative framework that couples bioenergetic regulation with mitochondrial dynamics, offering insights into how mitochondria adapt to metabolic challenges.

摘要

细胞生物能量学和线粒体动力学对于胰腺β细胞响应升高的血糖水平分泌胰岛素至关重要。为了阐明能量产生与线粒体分裂/融合动力学之间的相互作用,我们将活细胞线粒体成像与基于生物物理的建模和基于图的网络分析相结合。目的是确定调节胰腺β细胞中线粒体形态和平衡代谢需求的机制。构建了一个针对β细胞的基于最小二乘微分方程的模型,其中包括糖酵解、氧化磷酸化、钙动力学和分裂/融合动力学,ATP 合酶通量和质子泄漏通量作为线粒体动力学的主要调节剂。该模型表明,线粒体分裂发生在高血糖、饥饿、ATP 合酶抑制、解偶联和糖尿病等情况下,其中质子泄漏的速率超过线粒体 ATP 合成的速率。在这些代谢挑战下,模拟来自线粒体网络显微镜图像的尖端到尖端融合事件的倾向低于对照组,从而防止线粒体网络的形成。该研究提供了一个定量框架,将生物能量调节与线粒体动力学相结合,深入了解线粒体如何适应代谢挑战。

https://cdn.ncbi.nlm.nih.gov/pmc/blobs/3566/11455970/5a6188976d3a/42003_2024_6955_Fig10_HTML.jpg
https://cdn.ncbi.nlm.nih.gov/pmc/blobs/3566/11455970/1fea05dd1ea4/42003_2024_6955_Fig1_HTML.jpg
https://cdn.ncbi.nlm.nih.gov/pmc/blobs/3566/11455970/0662796e8fd5/42003_2024_6955_Fig2_HTML.jpg
https://cdn.ncbi.nlm.nih.gov/pmc/blobs/3566/11455970/f19c2c7b7a90/42003_2024_6955_Fig3_HTML.jpg
https://cdn.ncbi.nlm.nih.gov/pmc/blobs/3566/11455970/50a066607e23/42003_2024_6955_Fig4_HTML.jpg
https://cdn.ncbi.nlm.nih.gov/pmc/blobs/3566/11455970/d497f8e56077/42003_2024_6955_Fig5_HTML.jpg
https://cdn.ncbi.nlm.nih.gov/pmc/blobs/3566/11455970/611944fdad63/42003_2024_6955_Fig6_HTML.jpg
https://cdn.ncbi.nlm.nih.gov/pmc/blobs/3566/11455970/f4f19c7cee1d/42003_2024_6955_Fig7_HTML.jpg
https://cdn.ncbi.nlm.nih.gov/pmc/blobs/3566/11455970/2eff8268c2ac/42003_2024_6955_Fig8_HTML.jpg
https://cdn.ncbi.nlm.nih.gov/pmc/blobs/3566/11455970/d228e2a6ee51/42003_2024_6955_Fig9_HTML.jpg
https://cdn.ncbi.nlm.nih.gov/pmc/blobs/3566/11455970/5a6188976d3a/42003_2024_6955_Fig10_HTML.jpg
https://cdn.ncbi.nlm.nih.gov/pmc/blobs/3566/11455970/1fea05dd1ea4/42003_2024_6955_Fig1_HTML.jpg
https://cdn.ncbi.nlm.nih.gov/pmc/blobs/3566/11455970/0662796e8fd5/42003_2024_6955_Fig2_HTML.jpg
https://cdn.ncbi.nlm.nih.gov/pmc/blobs/3566/11455970/f19c2c7b7a90/42003_2024_6955_Fig3_HTML.jpg
https://cdn.ncbi.nlm.nih.gov/pmc/blobs/3566/11455970/50a066607e23/42003_2024_6955_Fig4_HTML.jpg
https://cdn.ncbi.nlm.nih.gov/pmc/blobs/3566/11455970/d497f8e56077/42003_2024_6955_Fig5_HTML.jpg
https://cdn.ncbi.nlm.nih.gov/pmc/blobs/3566/11455970/611944fdad63/42003_2024_6955_Fig6_HTML.jpg
https://cdn.ncbi.nlm.nih.gov/pmc/blobs/3566/11455970/f4f19c7cee1d/42003_2024_6955_Fig7_HTML.jpg
https://cdn.ncbi.nlm.nih.gov/pmc/blobs/3566/11455970/2eff8268c2ac/42003_2024_6955_Fig8_HTML.jpg
https://cdn.ncbi.nlm.nih.gov/pmc/blobs/3566/11455970/d228e2a6ee51/42003_2024_6955_Fig9_HTML.jpg
https://cdn.ncbi.nlm.nih.gov/pmc/blobs/3566/11455970/5a6188976d3a/42003_2024_6955_Fig10_HTML.jpg

相似文献

1
Metabolic regulation of mitochondrial morphologies in pancreatic beta cells: coupling of bioenergetics and mitochondrial dynamics.胰腺β细胞中线粒体形态的代谢调控:生物能量学与线粒体动态的偶联。
Commun Biol. 2024 Oct 5;7(1):1267. doi: 10.1038/s42003-024-06955-3.
2
Direct Substrate Delivery Into Mitochondrial Fission-Deficient Pancreatic Islets Rescues Insulin Secretion.直接将底物递送至线粒体分裂缺陷的胰岛可挽救胰岛素分泌。
Diabetes. 2017 May;66(5):1247-1257. doi: 10.2337/db16-1088. Epub 2017 Feb 7.
3
Real-Time Imaging of Mitochondrial ATP Dynamics Reveals the Metabolic Setting of Single Cells.实时成像揭示了单个细胞中线粒体 ATP 动力学的代谢状态。
Cell Rep. 2018 Oct 9;25(2):501-512.e3. doi: 10.1016/j.celrep.2018.09.027.
4
Selective actions of mitochondrial fission/fusion genes on metabolism-secretion coupling in insulin-releasing cells.线粒体分裂/融合基因对胰岛素释放细胞中代谢-分泌偶联的选择性作用。
J Biol Chem. 2008 Nov 28;283(48):33347-56. doi: 10.1074/jbc.M806251200. Epub 2008 Oct 2.
5
Mitochondrial dynamics in the regulation of nutrient utilization and energy expenditure.线粒体动态在营养利用和能量消耗调节中的作用。
Cell Metab. 2013 Apr 2;17(4):491-506. doi: 10.1016/j.cmet.2013.03.002.
6
Drp1 guarding of the mitochondrial network is important for glucose-stimulated insulin secretion in pancreatic beta cells.动力相关蛋白1(Drp1)对线粒体网络的保护作用对于胰腺β细胞中葡萄糖刺激的胰岛素分泌至关重要。
Biochem Biophys Res Commun. 2016 Jun 10;474(4):646-651. doi: 10.1016/j.bbrc.2016.04.142. Epub 2016 May 3.
7
Mitochondrial Morphologies Driven by Energy-Consuming Cell Sites in a Spatially and Time-Resolved Quality Model.基于时空分辨质量模型的耗能细胞位点驱动的线粒体形态
J Comput Biol. 2019 Jan;26(1):76-85. doi: 10.1089/cmb.2018.0086. Epub 2018 Sep 8.
8
Emerging Concepts in Diabetes: Mitochondrial Dynamics and Glucose Homeostasis.糖尿病的新观念:线粒体动力学与葡萄糖稳态
Curr Diabetes Rev. 2017;13(4):370-385. doi: 10.2174/1573399812666151012115229.
9
Impaired metabolism-secretion coupling in pancreatic beta-cells: role of determinants of mitochondrial ATP production.胰腺β细胞中代谢-分泌偶联受损:线粒体ATP生成决定因素的作用
Diabetes Res Clin Pract. 2007 Sep;77 Suppl 1:S2-10. doi: 10.1016/j.diabres.2007.01.026. Epub 2007 Apr 20.
10
Insulin induces bioenergetic changes and alters mitochondrial dynamics in podocytes.胰岛素可诱导足细胞发生生物能量变化并改变线粒体动力学。
J Endocrinol. 2024 Apr 17;261(3). doi: 10.1530/JOE-23-0357. Print 2024 Jun 1.

本文引用的文献

1
Mitochondrial Dynamics: A Potential Therapeutic Target for Ischemic Stroke.线粒体动力学:缺血性中风的潜在治疗靶点
Front Aging Neurosci. 2021 Sep 7;13:721428. doi: 10.3389/fnagi.2021.721428. eCollection 2021.
2
Automated segmentation and tracking of mitochondria in live-cell time-lapse images.活细胞延时成像中线粒体的自动分割和跟踪。
Nat Methods. 2021 Sep;18(9):1091-1102. doi: 10.1038/s41592-021-01234-z. Epub 2021 Aug 19.
3
Pancreatic β cells put the glutamine engine in reverse.胰腺β细胞使谷氨酰胺引擎反向运转。
Cell Metab. 2021 Apr 6;33(4):702-704. doi: 10.1016/j.cmet.2021.03.010.
4
Reductive TCA cycle metabolism fuels glutamine- and glucose-stimulated insulin secretion.还原性三羧酸循环代谢为谷氨酰胺和葡萄糖刺激的胰岛素分泌提供燃料。
Cell Metab. 2021 Apr 6;33(4):804-817.e5. doi: 10.1016/j.cmet.2020.11.020. Epub 2020 Dec 14.
5
The Functional Impact of Mitochondrial Structure Across Subcellular Scales.线粒体结构在亚细胞尺度上的功能影响。
Front Physiol. 2020 Nov 11;11:541040. doi: 10.3389/fphys.2020.541040. eCollection 2020.
6
Metabolic and functional specialisations of the pancreatic beta cell: gene disallowance, mitochondrial metabolism and intercellular connectivity.胰腺β细胞的代谢和功能特化:基因失活、线粒体代谢和细胞间连接。
Diabetologia. 2020 Oct;63(10):1990-1998. doi: 10.1007/s00125-020-05205-5. Epub 2020 Sep 7.
7
Aging shifts mitochondrial dynamics toward fission to promote germline stem cell loss.衰老使线粒体动力学向分裂转变,从而促进生殖干细胞的丧失。
Aging Cell. 2020 Aug;19(8):e13191. doi: 10.1111/acel.13191. Epub 2020 Jul 14.
8
The role of mitochondrial dynamics in human cancers.线粒体动力学在人类癌症中的作用。
Am J Cancer Res. 2020 May 1;10(5):1278-1293. eCollection 2020.
9
A pipeline for multidimensional confocal analysis of mitochondrial morphology, function, and dynamics in pancreatic β-cells.用于胰腺β细胞中线粒体形态、功能和动态的多维共聚焦分析的流水线。
Am J Physiol Endocrinol Metab. 2020 Feb 1;318(2):E87-E101. doi: 10.1152/ajpendo.00457.2019. Epub 2019 Dec 17.
10
Glycolytic suppression dramatically changes the intracellular metabolic profile of multiple cancer cell lines in a mitochondrial metabolism-dependent manner.糖酵解抑制以依赖线粒体代谢的方式显著改变多种癌细胞系的细胞内代谢特征。
Sci Rep. 2019 Dec 10;9(1):18699. doi: 10.1038/s41598-019-55296-3.