• 文献检索
  • 文档翻译
  • 深度研究
  • 学术资讯
  • Suppr Zotero 插件Zotero 插件
  • 邀请有礼
  • 套餐&价格
  • 历史记录
应用&插件
Suppr Zotero 插件Zotero 插件浏览器插件Mac 客户端Windows 客户端微信小程序
定价
高级版会员购买积分包购买API积分包
服务
文献检索文档翻译深度研究API 文档MCP 服务
关于我们
关于 Suppr公司介绍联系我们用户协议隐私条款
关注我们

Suppr 超能文献

核心技术专利:CN118964589B侵权必究
粤ICP备2023148730 号-1Suppr @ 2026

文献检索

告别复杂PubMed语法,用中文像聊天一样搜索,搜遍4000万医学文献。AI智能推荐,让科研检索更轻松。

立即免费搜索

文件翻译

保留排版,准确专业,支持PDF/Word/PPT等文件格式,支持 12+语言互译。

免费翻译文档

深度研究

AI帮你快速写综述,25分钟生成高质量综述,智能提取关键信息,辅助科研写作。

立即免费体验

使用固体碱催化剂将纤维二糖转化为甲酸作为生物质衍生的可再生氢源

Conversion of Cellobiose to Formic Acid as a Biomass-Derived Renewable Hydrogen Source Using Solid Base Catalysts.

作者信息

Yoshiki Ikuto, Takagaki Atsushi, Song Jun Tae, Watanabe Motonori, Ishihara Tatsumi

机构信息

Department of Applied Chemistry, Faculty of Engineering, Kyushu University, 744 Motooka, Nishi-ku, Fukuoka, 819-0395, Japan.

Division of Materials Science and Chemical Engineering, Faculty of Engineering, Yokohama National University, 79-5 Tokiwadai, Hodogaya-ku, Yokohama, Kanagawa, 240-8501, Japan.

出版信息

ChemistryOpen. 2024 Nov;13(11):e202400079. doi: 10.1002/open.202400079. Epub 2024 Oct 7.

DOI:10.1002/open.202400079
PMID:39375982
原文链接:https://pmc.ncbi.nlm.nih.gov/articles/PMC12056926/
Abstract

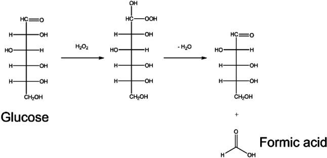
Formic acid is considered a promising hydrogen carrier. Biomass-derived formic acid can be obtained by oxidative decomposition of sugars. This study explored the production of formic acid from cellobiose, a disaccharide consisting of d-glucose linked by β-glycosidic bonds using heterogeneous catalysts under mild reaction conditions. The use of alkaline earth metal oxide solid base catalysts like CaO and MgO in the presence of hydrogen peroxide could afford formic acid from cellobiose at 343 K. While CaO gave 14 % yield of formic acid, the oxide itself was converted to a harmful metal peroxide, CaO after the reaction. In contrast, MgO could produce formic acid without the formation of the metal peroxide. The difficulty in selectively synthesizing formic acid from cellobiose using these solid base catalysts was due to the poor conversion of cellobiose to glucose. Using a combination of solid acid and base catalysts, a high formic acid yield of 33 % was obtained under mild reaction conditions due to the quantitative hydrolysis of cellobiose to glucose by a solid acid followed by the selective decomposition of glucose to formic acid by a solid base.

摘要

甲酸被认为是一种很有前景的氢载体。生物质衍生的甲酸可通过糖的氧化分解获得。本研究探索了在温和反应条件下,使用多相催化剂由纤维二糖(一种由通过β-糖苷键连接的d-葡萄糖组成的二糖)生产甲酸。在过氧化氢存在的情况下,使用氧化钙和氧化镁等碱土金属氧化物固体碱催化剂,可在343K下由纤维二糖制得甲酸。虽然氧化钙的甲酸产率为14%,但反应后氧化物本身会转化为有害的金属过氧化物CaO₂。相比之下,氧化镁可以生产甲酸而不形成金属过氧化物。使用这些固体碱催化剂从纤维二糖中选择性合成甲酸的困难在于纤维二糖向葡萄糖的转化率较低。通过组合使用固体酸和碱催化剂,在温和的反应条件下获得了33%的高甲酸产率,这是由于固体酸将纤维二糖定量水解为葡萄糖,随后固体碱将葡萄糖选择性分解为甲酸。

https://cdn.ncbi.nlm.nih.gov/pmc/blobs/a23c/12056926/850815830563/OPEN-13-e202400079-g007.jpg
https://cdn.ncbi.nlm.nih.gov/pmc/blobs/a23c/12056926/ed7ee886c0b4/OPEN-13-e202400079-g004.jpg
https://cdn.ncbi.nlm.nih.gov/pmc/blobs/a23c/12056926/4d3bc8ae6e0e/OPEN-13-e202400079-g002.jpg
https://cdn.ncbi.nlm.nih.gov/pmc/blobs/a23c/12056926/4459708bb14e/OPEN-13-e202400079-g005.jpg
https://cdn.ncbi.nlm.nih.gov/pmc/blobs/a23c/12056926/9ab0ffb30b3c/OPEN-13-e202400079-g006.jpg
https://cdn.ncbi.nlm.nih.gov/pmc/blobs/a23c/12056926/f6283a8a88f1/OPEN-13-e202400079-g008.jpg
https://cdn.ncbi.nlm.nih.gov/pmc/blobs/a23c/12056926/5338082e7fb0/OPEN-13-e202400079-g009.jpg
https://cdn.ncbi.nlm.nih.gov/pmc/blobs/a23c/12056926/eb57355b1284/OPEN-13-e202400079-g001.jpg
https://cdn.ncbi.nlm.nih.gov/pmc/blobs/a23c/12056926/850815830563/OPEN-13-e202400079-g007.jpg
https://cdn.ncbi.nlm.nih.gov/pmc/blobs/a23c/12056926/ed7ee886c0b4/OPEN-13-e202400079-g004.jpg
https://cdn.ncbi.nlm.nih.gov/pmc/blobs/a23c/12056926/4d3bc8ae6e0e/OPEN-13-e202400079-g002.jpg
https://cdn.ncbi.nlm.nih.gov/pmc/blobs/a23c/12056926/4459708bb14e/OPEN-13-e202400079-g005.jpg
https://cdn.ncbi.nlm.nih.gov/pmc/blobs/a23c/12056926/9ab0ffb30b3c/OPEN-13-e202400079-g006.jpg
https://cdn.ncbi.nlm.nih.gov/pmc/blobs/a23c/12056926/f6283a8a88f1/OPEN-13-e202400079-g008.jpg
https://cdn.ncbi.nlm.nih.gov/pmc/blobs/a23c/12056926/5338082e7fb0/OPEN-13-e202400079-g009.jpg
https://cdn.ncbi.nlm.nih.gov/pmc/blobs/a23c/12056926/eb57355b1284/OPEN-13-e202400079-g001.jpg
https://cdn.ncbi.nlm.nih.gov/pmc/blobs/a23c/12056926/850815830563/OPEN-13-e202400079-g007.jpg

相似文献

1
Conversion of Cellobiose to Formic Acid as a Biomass-Derived Renewable Hydrogen Source Using Solid Base Catalysts.使用固体碱催化剂将纤维二糖转化为甲酸作为生物质衍生的可再生氢源
ChemistryOpen. 2024 Nov;13(11):e202400079. doi: 10.1002/open.202400079. Epub 2024 Oct 7.
2
Oxidative Conversion of Glucose to Formic Acid as a Renewable Hydrogen Source Using an Abundant Solid Base Catalyst.使用丰富的固体碱催化剂将葡萄糖氧化转化为甲酸作为可再生氢源。
ChemistryOpen. 2021 Oct;10(10):954-959. doi: 10.1002/open.202100074. Epub 2021 Jul 8.
3
Hydrogen Production by Formic Acid Decomposition over Ca Promoted Ni/SiO Catalysts: Effect of the Calcium Content.钙促进的Ni/SiO催化剂上甲酸分解制氢:钙含量的影响
Nanomaterials (Basel). 2019 Oct 25;9(11):1516. doi: 10.3390/nano9111516.
4
Sustainable Low-Temperature Hydrogen Production from Lignocellulosic Biomass Passing through Formic Acid: Combination of Biomass Hydrolysis/Oxidation and Formic Acid Dehydrogenation.木质纤维素生物质经甲酸低温可持续产氢:生物质水解/氧化与甲酸脱氢相结合。
Environ Sci Technol. 2019 Dec 3;53(23):14041-14053. doi: 10.1021/acs.est.9b04273. Epub 2019 Oct 25.
5
Formation of Formic Acid from Glucose with Simultaneous Conversion of AgO to Ag under Mild Hydrothermal Conditions.在温和水热条件下由葡萄糖形成甲酸并同时将AgO转化为Ag
ACS Omega. 2021 Apr 20;6(17):11260-11265. doi: 10.1021/acsomega.1c00106. eCollection 2021 May 4.
6
Heterogeneous base catalysts for edible palm and non-edible Jatropha-based biodiesel production.用于食用棕榈和非食用麻风树基生物柴油生产的多相碱催化剂。
Chem Cent J. 2014 May 3;8:30. doi: 10.1186/1752-153X-8-30. eCollection 2014.
7
Conversion of cellulose and cellobiose into sorbitol catalyzed by ruthenium supported on a polyoxometalate/metal-organic framework hybrid.多金属氧酸盐/金属-有机骨架杂化负载钌催化纤维素和纤维二糖转化为山梨醇。
ChemSusChem. 2013 Aug;6(8):1545-55. doi: 10.1002/cssc.201200914. Epub 2013 Apr 25.
8
A one-pot reaction for biorefinery: combination of solid acid and base catalysts for direct production of 5-hydroxymethylfurfural from saccharides.一锅法生物炼制反应:固体酸和固体碱催化剂的组合用于直接从糖制备 5-羟甲基糠醛。
Chem Commun (Camb). 2009 Nov 7(41):6276-8. doi: 10.1039/b914087e. Epub 2009 Sep 7.
9
Fractionation of Lignocellulosic Biomass over Core-Shell Ni@Al O Catalysts with Formic Acid as a Cocatalyst and Hydrogen Source.以甲酸作为助催化剂和氢源,在核壳型Ni@Al₂O₃催化剂上对木质纤维素生物质进行分馏
ChemSusChem. 2019 Apr 23;12(8):1743-1762. doi: 10.1002/cssc.201802847. Epub 2019 Mar 14.
10
Solid Molecular Phosphine Catalysts for Formic Acid Decomposition in the Biorefinery.用于生物炼制中甲酸分解的固态分子膦催化剂。
Angew Chem Int Ed Engl. 2016 Apr 25;55(18):5597-601. doi: 10.1002/anie.201510681. Epub 2016 Apr 4.

本文引用的文献

1
Achieving Ultra-High Selectivity to Hydrogen Production from Formic Acid on Pd-Ag Alloys.实现 Pd-Ag 合金对甲酸制氢的超高选择性。
J Am Chem Soc. 2023 Mar 8;145(9):5114-5124. doi: 10.1021/jacs.2c11323. Epub 2023 Feb 27.
2
Oxidative Conversion of Glucose to Formic Acid as a Renewable Hydrogen Source Using an Abundant Solid Base Catalyst.使用丰富的固体碱催化剂将葡萄糖氧化转化为甲酸作为可再生氢源。
ChemistryOpen. 2021 Oct;10(10):954-959. doi: 10.1002/open.202100074. Epub 2021 Jul 8.
3
Towards Sustainable Production of Formic Acid.
迈向可持续的甲酸生产。
ChemSusChem. 2018 Mar 9;11(5):821-836. doi: 10.1002/cssc.201702075. Epub 2018 Feb 8.
4
Enhanced Hydrogen Generation from Formic Acid by Half-Sandwich Iridium(III) Complexes with Metal/NH Bifunctionality: A Pronounced Switch from Transfer Hydrogenation.具有金属/NH 双功能的半三明治型铱(III)配合物促进甲酸产氢:转移氢化的显著转变。
Chemistry. 2015 Sep 21;21(39):13513-7. doi: 10.1002/chem.201502412. Epub 2015 Aug 13.
5
One-pot transformation of cellobiose to formic acid and levulinic acid over ionic-liquid-based polyoxometalate hybrids.基于离子液体的多金属氧酸盐杂化物上纤维二糖一锅法转化为甲酸和乙酰丙酸
ChemSusChem. 2014 Sep;7(9):2670-7. doi: 10.1002/cssc.201402157. Epub 2014 Aug 8.
6
Reversible hydrogen storage using CO2 and a proton-switchable iridium catalyst in aqueous media under mild temperatures and pressures.在温和的温度和压力条件下,使用 CO2 和质子可切换的铱催化剂在水相介质中实现可逆储氢。
Nat Chem. 2012 Mar 18;4(5):383-8. doi: 10.1038/nchem.1295.
7
Highly active mesoporous Nb-W oxide solid-acid catalyst.高活性介孔铌钨氧化物固体酸催化剂。
Angew Chem Int Ed Engl. 2010 Feb 1;49(6):1128-32. doi: 10.1002/anie.200904791.
8
A one-pot reaction for biorefinery: combination of solid acid and base catalysts for direct production of 5-hydroxymethylfurfural from saccharides.一锅法生物炼制反应:固体酸和固体碱催化剂的组合用于直接从糖制备 5-羟甲基糠醛。
Chem Commun (Camb). 2009 Nov 7(41):6276-8. doi: 10.1039/b914087e. Epub 2009 Sep 7.
9
Glucose production from saccharides using layered transition metal oxide and exfoliated nanosheets as a water-tolerant solid acid catalyst.使用层状过渡金属氧化物和剥离纳米片作为耐水固体酸催化剂从糖类生产葡萄糖
Chem Commun (Camb). 2008 Nov 14(42):5363-5. doi: 10.1039/b810346a. Epub 2008 Sep 16.
10
Breakthroughs in hydrogen storage--formic Acid as a sustainable storage material for hydrogen.储氢领域的突破——甲酸作为一种可持续的氢存储材料
ChemSusChem. 2008;1(10):805-8. doi: 10.1002/cssc.200800133.