Suppr超能文献

具有噻吩基连接体的分子内单线态裂变发色团中的多种量子干涉机制。

Diverse quantum interference regimes in intramolecular singlet fission chromophores with thiophene-based linkers.

作者信息

Lee Jonghwan, Eom Sungsik, Kim Hyungjun

机构信息

Department of Chemistry and Research Institute of Basic Sciences, Incheon National University Republic of Korea

Department of Chemistry, Hanyang University Republic of Korea

出版信息

Chem Sci. 2024 Oct 9;15(43):17823-30. doi: 10.1039/d4sc03546a.

Abstract

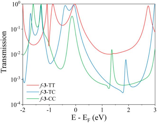
An array of thiophene-based π-conjugated linkers in covalently linked pentacene dimers allow us to access diverse quantum interference (QI), modulating nonadiabatic coupling (NAC) in the singlet fission (SF) process. Simulations show that structural isomerism in terms of S atom orientation substantially alters NAC with relatively marginal impacts on energies. Extended curly arrow rules (ECARs) reveal sensitive dependence of QI on SF linker topologies and connectivity, categorizing regimes of constructive, destructive, and previously unrealized in SF research, shifted destructive QI. Drastic NAC changes in terms of S atom orientation are rationalized based on the nature of QI. Our results from nonequilibrium Green's function calculation using density functional theory corroborate the classification of QI regimes based on ECARs. Moreover, we found that the extent of charge resonance contribution in electronic states relevant to multiexciton formation and the appearance of optically allowed charge transfer excitation strongly depends on the operative QI regime. Notably, the magnitude of NAC effectively captures this influence. Our findings show that QI can rationalize and semi-quantitatively correlate with NAC for the multiexciton formation step in the SF process.

摘要

在共价连接的并五苯二聚体中,一系列基于噻吩的π共轭连接体使我们能够实现多种量子干涉(QI),从而在单线态裂变(SF)过程中调节非绝热耦合(NAC)。模拟表明,就硫原子取向而言的结构异构会显著改变NAC,而对能量的影响相对较小。扩展卷曲箭头规则(ECARs)揭示了QI对SF连接体拓扑结构和连接性的敏感依赖性,将其分为建设性、破坏性以及SF研究中尚未实现的、移位的破坏性QI等情况。基于QI的性质,硫原子取向导致的NAC剧烈变化得到了合理解释。我们使用密度泛函理论进行的非平衡格林函数计算结果证实了基于ECARs对QI情况的分类。此外,我们发现与多激子形成相关的电子态中电荷共振贡献的程度以及光学允许的电荷转移激发的出现强烈依赖于有效的QI情况。值得注意的是,NAC的大小有效地捕捉了这种影响。我们的研究结果表明,对于SF过程中的多激子形成步骤,QI可以使NAC合理化并进行半定量关联。

https://cdn.ncbi.nlm.nih.gov/pmc/blobs/381c/11539468/81d6260bdc9a/d4sc03546a-f1.jpg

文献AI研究员

20分钟写一篇综述,助力文献阅读效率提升50倍。

立即体验

用中文搜PubMed

大模型驱动的PubMed中文搜索引擎

马上搜索

文档翻译

学术文献翻译模型,支持多种主流文档格式。

立即体验