• 文献检索
  • 文档翻译
  • 深度研究
  • 学术资讯
  • Suppr Zotero 插件Zotero 插件
  • 邀请有礼
  • 套餐&价格
  • 历史记录
应用&插件
Suppr Zotero 插件Zotero 插件浏览器插件Mac 客户端Windows 客户端微信小程序
定价
高级版会员购买积分包购买API积分包
服务
文献检索文档翻译深度研究API 文档MCP 服务
关于我们
关于 Suppr公司介绍联系我们用户协议隐私条款
关注我们

Suppr 超能文献

核心技术专利:CN118964589B侵权必究
粤ICP备2023148730 号-1Suppr @ 2026

文献检索

告别复杂PubMed语法,用中文像聊天一样搜索,搜遍4000万医学文献。AI智能推荐,让科研检索更轻松。

立即免费搜索

文件翻译

保留排版,准确专业,支持PDF/Word/PPT等文件格式,支持 12+语言互译。

免费翻译文档

深度研究

AI帮你快速写综述,25分钟生成高质量综述,智能提取关键信息,辅助科研写作。

立即免费体验

水果和蔬菜摄入量与身体虚弱之间的关系:来自2007 - 2018年美国国家健康与营养检查调查(NHANES)的数据。

The relationship between Fruit and vegetable intake and frailty: Data from NHANES 2007-2018.

作者信息

Hu Kaikai, Jin Liuyin, Yang Yang, Wu Linman, Xie Guomin, Wu Xiping

机构信息

Department of Neurology, The Affiliated Lihuili Hospital of Ningbo, University,Ningbo University, Ningbo, China.

Lishui Second People's Hospital, Lishui, China.

出版信息

Heliyon. 2024 Sep 18;10(19):e38053. doi: 10.1016/j.heliyon.2024.e38053. eCollection 2024 Oct 15.

DOI:10.1016/j.heliyon.2024.e38053
PMID:39403463
原文链接:https://pmc.ncbi.nlm.nih.gov/articles/PMC11471592/
Abstract

BACKGROUND

Previous studies have indicated a certain relationship between the intake of fruits and vegetables and frailty. However, there is currently a lack of research on the association between fruit and vegetable intake and frailty.

OBJECTIVE

This study aims to explore the potential correlation between fruit and vegetable intake and frailty. Additionally, we seek to investigate the relationship between fruit intake and frailty across different demographic characteristics and subgroups.

METHODS

Initially, participant information from the NHANES database (2007-2018) was extracted, including age, gender, race, education level, and other relevant factors. Subsequently, a comprehensive adjustment of multiple variables was carried out using a logistic regression model to analyze the relationship between vegetable and fruit intake and frailty. We also conducted subgroup analyses for variables showing significant differences in the regression model, exploring the relationship between vegetable and fruit intake and frailty in different demographic subgroups. Finally, we employed Restricted Cubic Splines (RCS) to explore the relationship between vegetable and fruit intake and frailty.

RESULTS

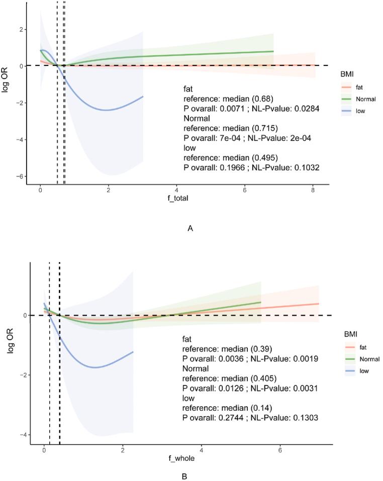
In our study of 13,935 participants, 2224 were classified as frail, while 11,711 were non-frail. Significant differences were observed between the frail and non-frail groups in variables such as gender, race, marital status, education level, and BMI. Weighted logistic regression analysis revealed a significant association between the intake of fruits (including f_other, f_whole, f_juice, f_total) and vegetables (including v_redor_total, v_total) and a reduced risk of frailty (p for trend <0.05, OR < 1). Notably, in the f_other group, both the medium and high intake groups had a significantly lower risk of frailty compared to the low intake group (ORs of 0.70 and 0.68, p < 0.001, respectively). Subgroup analysis indicated significant interactions between fruit and vegetable intake and frailty across different gender, income, alcohol intake, education level, and racial groups (p for interaction <0.05). Restricted cubic spline analysis showed that while an increase in fruit and vegetable intake reduced the risk of frailty within a certain range, the risk gradually increased beyond that range.

CONCLUSION

This study provides preliminary evidence supporting a close association between vegetable and fruit intake and frailty, laying the foundation for future in-depth investigations into the dietary links with frailty. These findings also offer new nutritional intervention strategies for frailty prevention, emphasizing the crucial role of diet in maintaining overall health. However, further clinical and epidemiological research is needed to validate these associations and provide detailed explanations for the specific mechanisms through which fruit and vegetable intake impact frailty.

https://cdn.ncbi.nlm.nih.gov/pmc/blobs/9b04/11471592/dbac52cbc857/gr2.jpg
https://cdn.ncbi.nlm.nih.gov/pmc/blobs/9b04/11471592/dc713aa932f1/gr1.jpg
https://cdn.ncbi.nlm.nih.gov/pmc/blobs/9b04/11471592/dbac52cbc857/gr2.jpg
https://cdn.ncbi.nlm.nih.gov/pmc/blobs/9b04/11471592/dc713aa932f1/gr1.jpg
https://cdn.ncbi.nlm.nih.gov/pmc/blobs/9b04/11471592/dbac52cbc857/gr2.jpg
摘要

背景

先前的研究表明水果和蔬菜的摄入量与身体虚弱之间存在一定关系。然而,目前缺乏关于水果和蔬菜摄入量与身体虚弱之间关联的研究。

目的

本研究旨在探讨水果和蔬菜摄入量与身体虚弱之间的潜在相关性。此外,我们试图研究不同人口统计学特征和亚组中水果摄入量与身体虚弱之间的关系。

方法

首先,从美国国家健康与营养检查调查(NHANES)数据库(2007 - 2018年)中提取参与者信息,包括年龄、性别、种族、教育水平和其他相关因素。随后,使用逻辑回归模型对多个变量进行全面调整,以分析蔬菜和水果摄入量与身体虚弱之间的关系。我们还对回归模型中显示出显著差异的变量进行亚组分析,探讨不同人口统计学亚组中蔬菜和水果摄入量与身体虚弱之间的关系。最后,我们采用受限立方样条(RCS)来探讨蔬菜和水果摄入量与身体虚弱之间的关系。

结果

在我们对13935名参与者的研究中,2224人被归类为身体虚弱,而11711人非身体虚弱。在性别、种族、婚姻状况、教育水平和体重指数等变量方面,身体虚弱组和非身体虚弱组之间存在显著差异。加权逻辑回归分析显示,水果(包括其他水果、完整水果、果汁、总水果)和蔬菜(包括红色或总蔬菜、总蔬菜)的摄入量与身体虚弱风险降低之间存在显著关联(趋势p<0.05,OR<1)。值得注意的是,在其他水果组中,中等摄入量组和高摄入量组的身体虚弱风险均显著低于低摄入量组(OR分别为0.70和0.68,p<0.001)。亚组分析表明,在不同性别、收入、酒精摄入量、教育水平和种族群体中,水果和蔬菜摄入量与身体虚弱之间存在显著的交互作用(交互作用p<0.05)。受限立方样条分析表明,虽然在一定范围内增加水果和蔬菜摄入量可降低身体虚弱风险,但超过该范围后风险会逐渐增加。

结论

本研究提供了初步证据,支持蔬菜和水果摄入量与身体虚弱之间存在密切关联,为未来深入研究饮食与身体虚弱之间的联系奠定了基础。这些发现还为预防身体虚弱提供了新的营养干预策略,强调了饮食在维持整体健康中的关键作用。然而,需要进一步的临床和流行病学研究来验证这些关联,并为水果和蔬菜摄入量影响身体虚弱的具体机制提供详细解释。

相似文献

1
The relationship between Fruit and vegetable intake and frailty: Data from NHANES 2007-2018.水果和蔬菜摄入量与身体虚弱之间的关系:来自2007 - 2018年美国国家健康与营养检查调查(NHANES)的数据。
Heliyon. 2024 Sep 18;10(19):e38053. doi: 10.1016/j.heliyon.2024.e38053. eCollection 2024 Oct 15.
2
Adult Intake of Minimally Processed Fruits and Vegetables: Associations with Cardiometabolic Disease Risk Factors.成年人食用低加工果蔬与心血管代谢疾病风险因素的关系。
J Acad Nutr Diet. 2016 Sep;116(9):1387-1394. doi: 10.1016/j.jand.2016.03.019. Epub 2016 May 10.
3
Fruit and vegetable intake and risk of frailty in women 60 years old or older.水果和蔬菜摄入与 60 岁及以上女性虚弱风险的关系。
Am J Clin Nutr. 2020 Dec 10;112(6):1540-1546. doi: 10.1093/ajcn/nqaa256.
4
Higher dietary variety is associated with better nutritional status in frail elderly people.在体弱的老年人中,更高的饮食多样性与更好的营养状况相关。
J Am Diet Assoc. 2002 Aug;102(8):1096-104. doi: 10.1016/s0002-8223(02)90246-4.
5
Level of Fruit and Vegetable Intake and Its Relationship with Risk for Malnutrition in China's Adult Labor Force: China Nutrition and Health Surveillance, 2015-2017.水果和蔬菜摄入量水平及其与中国成年劳动力营养不良风险的关系:中国营养与健康监测,2015-2017 年。
Nutrients. 2023 Mar 16;15(6):1431. doi: 10.3390/nu15061431.
6
Association of Fruit and Vegetable Intake and Frailty among Chinese Elders: A Cross-Sectional Study in Three Cities.水果和蔬菜摄入量与中国老年人虚弱的关系:三城市的横断面研究。
J Nutr Health Aging. 2019;23(9):890-895. doi: 10.1007/s12603-019-1236-4.
7
Interventions for increasing fruit and vegetable consumption in children aged five years and under.增加五岁及以下儿童水果和蔬菜摄入量的干预措施。
Cochrane Database Syst Rev. 2020 May 25;5(5):CD008552. doi: 10.1002/14651858.CD008552.pub7.
8
Interventions for increasing fruit and vegetable consumption in children aged five years and under.增加五岁及以下儿童水果和蔬菜摄入量的干预措施。
Cochrane Database Syst Rev. 2019 Nov 7;2019(11):CD008552. doi: 10.1002/14651858.CD008552.pub6.
9
[Association between dietary pattern and frailty among people aged 50 years and over in Shanghai].[上海50岁及以上人群饮食模式与衰弱之间的关联]
Zhonghua Liu Xing Bing Xue Za Zhi. 2024 Feb 10;45(2):257-264. doi: 10.3760/cma.j.cn112338-20230616-00381.
10
Fruit, vegetable, and legume intake, and cardiovascular disease and deaths in 18 countries (PURE): a prospective cohort study.水果、蔬菜、豆类摄入量与 18 个国家心血管疾病和死亡的关系:一项前瞻性队列研究(PURE)
Lancet. 2017 Nov 4;390(10107):2037-2049. doi: 10.1016/S0140-6736(17)32253-5. Epub 2017 Aug 29.

引用本文的文献

1
A 90 g/day low-carbohydrate diet improved glycemic control without decreasing frailty in older patients with type 2 diabetes: A secondary analysis of a randomized controlled trial.对于老年2型糖尿病患者,每日90克低碳水化合物饮食可改善血糖控制且不降低身体虚弱程度:一项随机对照试验的二次分析
J Diabetes Investig. 2025 Aug;16(8):1398-1408. doi: 10.1111/jdi.70083. Epub 2025 May 24.
2
Association of dietary health indices with frailty.饮食健康指数与衰弱的关联。
BMC Public Health. 2025 Mar 19;25(1):1068. doi: 10.1186/s12889-025-22245-x.

本文引用的文献

1
The association between physical activity and sleep in adult ADHD patients with stimulant medication use.使用兴奋剂药物的成年注意力缺陷多动障碍患者的身体活动与睡眠之间的关联。
Front Psychiatry. 2023 Nov 20;14:1236636. doi: 10.3389/fpsyt.2023.1236636. eCollection 2023.
2
L-shaped association of serum α-Klotho and frailty among the middle-aged and older adults: results from NHANES 2007-2016.血清 α-Klotho 与中年人及老年人虚弱的 L 型关联:来自 NHANES 2007-2016 的结果。
BMC Geriatr. 2023 Nov 3;23(1):716. doi: 10.1186/s12877-023-04324-z.
3
Bitter taste sensitivity, cruciferous vegetable intake, obesity, and diabetes in American adults: a cross-sectional study of NHANES 2013-2014.
美国成年人的苦味味觉敏感性、十字花科蔬菜摄入量、肥胖与糖尿病:2013 - 2014年美国国家健康与营养检查调查的横断面研究
Food Funct. 2023 Oct 16;14(20):9243-9252. doi: 10.1039/d3fo02175k.
4
Effects of dietary inflammatory index, blood lead levels, and flavonoid intake on stroke risk in older Americans: A cross-sectional study.饮食炎症指数、血铅水平和类黄酮摄入量对美国老年人中风风险的影响:一项横断面研究。
J Stroke Cerebrovasc Dis. 2023 Nov;32(11):107336. doi: 10.1016/j.jstrokecerebrovasdis.2023.107336. Epub 2023 Sep 6.
5
Associations of starchy and non-starchy vegetables with risk of metabolic syndrome: evidence from the NHANES 1999-2018.含淀粉和不含淀粉蔬菜与代谢综合征风险的关联:来自1999 - 2018年美国国家健康与营养检查调查(NHANES)的证据
Nutr Metab (Lond). 2023 Aug 31;20(1):36. doi: 10.1186/s12986-023-00760-1.
6
Phytochemicals and Vitamin D for a Healthy Life and Prevention of Diseases.植物化学物质与维生素 D:健康生活与疾病预防
Int J Mol Sci. 2023 Jul 29;24(15):12167. doi: 10.3390/ijms241512167.
7
Association between Serum Klotho and Physical Frailty in Middle-Aged and Older Adults: Finding From the National Health and Nutrition Examination Survey.血清 Klotho 与中老年人体质虚弱的相关性:来自全国健康与营养调查的发现。
J Am Med Dir Assoc. 2023 Aug;24(8):1173-1178.e2. doi: 10.1016/j.jamda.2023.02.103. Epub 2023 Mar 28.
8
Interaction between sleep quality and dietary inflammation on frailty: NHANES 2005-2008.睡眠质量与饮食炎症对虚弱的交互作用:NHANES 2005-2008。
Food Funct. 2023 Jan 23;14(2):1003-1010. doi: 10.1039/d2fo01832b.
9
Fruit and Vegetable Intake and Non-Communicable Diseases among Adults Aged ≥50 Years in Low- and Middle-Income Countries.水果和蔬菜摄入量与 50 岁及以上中低收入国家成年人的非传染性疾病。
J Nutr Health Aging. 2022;26(11):1003-1009. doi: 10.1007/s12603-022-1855-z.
10
Frailty: A Multidimensional Biopsychosocial Syndrome.衰弱:一种多维生物心理社会综合征。
Med Clin North Am. 2023 Jan;107(1):183-197. doi: 10.1016/j.mcna.2022.04.006. Epub 2022 Oct 28.