• 文献检索
  • 文档翻译
  • 深度研究
  • 学术资讯
  • Suppr Zotero 插件Zotero 插件
  • 邀请有礼
  • 套餐&价格
  • 历史记录
应用&插件
Suppr Zotero 插件Zotero 插件浏览器插件Mac 客户端Windows 客户端微信小程序
定价
高级版会员购买积分包购买API积分包
服务
文献检索文档翻译深度研究API 文档MCP 服务
关于我们
关于 Suppr公司介绍联系我们用户协议隐私条款
关注我们

Suppr 超能文献

核心技术专利:CN118964589B侵权必究
粤ICP备2023148730 号-1Suppr @ 2026

文献检索

告别复杂PubMed语法,用中文像聊天一样搜索,搜遍4000万医学文献。AI智能推荐,让科研检索更轻松。

立即免费搜索

文件翻译

保留排版,准确专业,支持PDF/Word/PPT等文件格式,支持 12+语言互译。

免费翻译文档

深度研究

AI帮你快速写综述,25分钟生成高质量综述,智能提取关键信息,辅助科研写作。

立即免费体验

维生素 D 代谢基因中的 DNA 甲基化差异与妊娠糖尿病孕妇的胰岛素需求有关。

Differences in DNA Methylation in Genes Involved in Vitamin D Metabolism Are Related to Insulin Requirement in Pregnant Women with Gestational Diabetes Mellitus.

机构信息

Department of Endocrinology and Nutrition, Virgen de la Victoria University Hospital, 29010 Málaga, Spain.

CIBER Pathophysiology of Obesity and Nutrition-CIBERON, 28029 Madrid, Spain.

出版信息

Int J Mol Sci. 2024 Oct 1;25(19):10576. doi: 10.3390/ijms251910576.

DOI:10.3390/ijms251910576
PMID:39408904
原文链接:https://pmc.ncbi.nlm.nih.gov/articles/PMC11476386/
Abstract

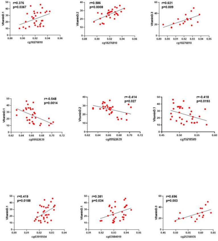
In a previous study performed by our group, pregnant women with Gestational Diabetes (GDM) showed higher vitamin D (VitD) levels in the last trimester, particularly in those requiring insulin. This phenomenon was not linked to factors like season or supplementation. This study aimed to investigate if insulin treatment in GDM affects DNA methylation in VitD metabolism genes. Thirty-two pregnant women were selected, half of whom had GDM, and were divided into insulin-treated and lifestyle groups. The DNA methylation levels in CpGs from 47 VitD metabolism-related genes were analyzed at the diagnostic visit (24-28 weeks) and before delivery. At week 36-38 of pregnancy, twenty-six CpG sites were differentially methylated (DMPs) in the insulin-treated group compared with the control group and the lifestyle group. Twenty-two of these DMPs were not different at the diagnostic visit. Six CpGs (cg18276810 (CTNNB1), cg03919554 (FGFR3), cg03984919 (NCOA1), cg19218509 (ASIP), cg09922639 (SMAD3), and cg25356935 (PDZD3)) showed significant correlations with VitD levels, not only before childbirth, but also in the postpartum period and at one year later. This suggests that insulin treatment in GDM could influence DNA methylation in genes involved in vitamin D metabolism, affecting VitD levels during and after pregnancy. Further research is warranted to elucidate these findings' clinical implications.

摘要

在我们小组进行的一项先前研究中,患有妊娠糖尿病(GDM)的孕妇在妊娠晚期表现出更高的维生素 D(VitD)水平,尤其是那些需要胰岛素治疗的孕妇。这种现象与季节或补充剂等因素无关。本研究旨在探讨 GDM 中的胰岛素治疗是否会影响 VitD 代谢基因的 DNA 甲基化。选择了 32 名孕妇,其中一半患有 GDM,并分为胰岛素治疗组和生活方式组。在诊断时(24-28 周)和分娩前,分析了与 47 个 VitD 代谢相关基因的 CpG 中的 DNA 甲基化水平。在妊娠第 36-38 周时,与对照组和生活方式组相比,胰岛素治疗组有 26 个 CpG 位点发生了差异甲基化(DMP)。这些 DMP 中有 22 个在诊断时没有差异。6 个 CpG(cg18276810(CTNNB1)、cg03919554(FGFR3)、cg03984919(NCOA1)、cg19218509(ASIP)、cg09922639(SMAD3)和 cg25356935(PDZD3))与 VitD 水平呈显著相关,不仅在分娩前,而且在产后和一年后也呈显著相关。这表明 GDM 中的胰岛素治疗可能会影响 VitD 代谢相关基因的 DNA 甲基化,从而影响妊娠期间和之后的 VitD 水平。需要进一步的研究来阐明这些发现的临床意义。

https://cdn.ncbi.nlm.nih.gov/pmc/blobs/768f/11476386/0d5c13978ec0/ijms-25-10576-g003.jpg
https://cdn.ncbi.nlm.nih.gov/pmc/blobs/768f/11476386/9196a397b134/ijms-25-10576-g001.jpg
https://cdn.ncbi.nlm.nih.gov/pmc/blobs/768f/11476386/70187212a7cd/ijms-25-10576-g002.jpg
https://cdn.ncbi.nlm.nih.gov/pmc/blobs/768f/11476386/0d5c13978ec0/ijms-25-10576-g003.jpg
https://cdn.ncbi.nlm.nih.gov/pmc/blobs/768f/11476386/9196a397b134/ijms-25-10576-g001.jpg
https://cdn.ncbi.nlm.nih.gov/pmc/blobs/768f/11476386/70187212a7cd/ijms-25-10576-g002.jpg
https://cdn.ncbi.nlm.nih.gov/pmc/blobs/768f/11476386/0d5c13978ec0/ijms-25-10576-g003.jpg

相似文献

1
Differences in DNA Methylation in Genes Involved in Vitamin D Metabolism Are Related to Insulin Requirement in Pregnant Women with Gestational Diabetes Mellitus.维生素 D 代谢基因中的 DNA 甲基化差异与妊娠糖尿病孕妇的胰岛素需求有关。
Int J Mol Sci. 2024 Oct 1;25(19):10576. doi: 10.3390/ijms251910576.
2
Associations of maternal early-pregnancy blood glucose and insulin concentrations with DNA methylation in newborns.母亲孕早期血糖和胰岛素浓度与新生儿 DNA 甲基化的关联。
Clin Epigenetics. 2020 Sep 7;12(1):134. doi: 10.1186/s13148-020-00924-3.
3
Placenta expression of vitamin D and related genes in pregnant women with gestational diabetes mellitus.妊娠期糖尿病孕妇胎盘维生素 D 及其相关基因的表达。
J Steroid Biochem Mol Biol. 2020 Nov;204:105754. doi: 10.1016/j.jsbmb.2020.105754. Epub 2020 Sep 15.
4
Altered expression of PGC-1α and PDX1 and their methylation status are associated with fetal glucose metabolism in gestational diabetes mellitus.PGC-1α 和 PDX1 的表达改变及其甲基化状态与妊娠期糖尿病胎儿葡萄糖代谢有关。
Biochem Biophys Res Commun. 2018 Jun 18;501(1):300-306. doi: 10.1016/j.bbrc.2018.05.010. Epub 2018 May 7.
5
The association between dietary, physical activity and the DNA methylation of PPARGC1A, HLA-DQA1 and ADCY3 in pregnant women with gestational diabetes mellitus: a nest case-control study.妊娠期糖尿病孕妇饮食、体力活动与 PPARGC1A、HLA-DQA1 和 ADCY3 基因 DNA 甲基化的关系:巢式病例对照研究。
BMC Pregnancy Childbirth. 2024 Jul 26;24(1):503. doi: 10.1186/s12884-024-06673-y.
6
Altered Genome-Wide DNA Methylation in Peripheral Blood of South African Women with Gestational Diabetes Mellitus.南非妊娠期糖尿病女性外周血全基因组 DNA 甲基化改变。
Int J Mol Sci. 2019 Nov 20;20(23):5828. doi: 10.3390/ijms20235828.
7
Vitamin D in gestational diabetes mellitus and its association with hyperglycaemia, insulin sensitivity and other factors.维生素 D 在妊娠糖尿病及其与高血糖、胰岛素敏感性和其他因素的关系。
J Obstet Gynaecol. 2021 Aug;41(6):899-903. doi: 10.1080/01443615.2020.1820462. Epub 2020 Dec 2.
8
Methylation of HIF3A promoter CpG islands contributes to insulin resistance in gestational diabetes mellitus.缺氧诱导因子3A(HIF3A)启动子CpG岛的甲基化促成妊娠期糖尿病中的胰岛素抵抗。
Mol Genet Genomic Med. 2019 Apr;7(4):e00583. doi: 10.1002/mgg3.583. Epub 2019 Feb 11.
9
Epigenetic marks associated with gestational diabetes mellitus across two time points during pregnancy.与妊娠期间两个时间点的妊娠糖尿病相关的表观遗传标记。
Clin Epigenetics. 2023 Jul 6;15(1):110. doi: 10.1186/s13148-023-01523-8.
10
Study on the relationship between DNA methylation of target CpG sites in peripheral blood and gestational diabetes during early pregnancy.探讨妊娠早期外周血目标 CpG 位点 DNA 甲基化与妊娠期糖尿病的关系。
Sci Rep. 2021 Oct 14;11(1):20455. doi: 10.1038/s41598-021-99836-2.

引用本文的文献

1
Effect of vitamin D supplementation on glycemic control, insulin sensitivity, and pregnancy outcomes in gestational diabetes patients undergoing dietary therapy.维生素D补充剂对接受饮食治疗的妊娠期糖尿病患者血糖控制、胰岛素敏感性及妊娠结局的影响。
J Health Popul Nutr. 2025 Jun 12;44(1):194. doi: 10.1186/s41043-025-00969-1.

本文引用的文献

1
Promises and challenges in pharmacoepigenetics.药物表观遗传学中的承诺与挑战。
Camb Prism Precis Med. 2023 Feb 9;1:e18. doi: 10.1017/pcm.2023.6. eCollection 2023.
2
Epigenetic marks associated with gestational diabetes mellitus across two time points during pregnancy.与妊娠期间两个时间点的妊娠糖尿病相关的表观遗传标记。
Clin Epigenetics. 2023 Jul 6;15(1):110. doi: 10.1186/s13148-023-01523-8.
3
DNA methylation partially mediates antidiabetic effects of metformin on HbA1c levels in individuals with type 2 diabetes.DNA 甲基化部分介导二甲双胍对 2 型糖尿病患者糖化血红蛋白水平的降糖作用。
Diabetes Res Clin Pract. 2023 Aug;202:110807. doi: 10.1016/j.diabres.2023.110807. Epub 2023 Jun 24.
4
The Effect of Metformin and Carbohydrate-Controlled Diet on DNA Methylation and Gene Expression in the Endometrium of Women with Polycystic Ovary Syndrome.二甲双胍和碳水化合物控制饮食对多囊卵巢综合征妇女子宫内膜 DNA 甲基化和基因表达的影响。
Int J Mol Sci. 2023 Apr 6;24(7):6857. doi: 10.3390/ijms24076857.
5
Vitamin D: 100 years of discoveries, yet controversy continues.维生素 D:百年探索,争议仍存。
Lancet Diabetes Endocrinol. 2023 May;11(5):362-374. doi: 10.1016/S2213-8587(23)00060-8. Epub 2023 Mar 30.
6
Insulin Requirement for Gestational Diabetes Control Is Related to Higher Vitamin D Levels up to 1 Year Postpartum: A Prospective Cohort Study.妊娠期糖尿病控制所需胰岛素与产后长达1年的较高维生素D水平相关:一项前瞻性队列研究。
Antioxidants (Basel). 2022 Nov 11;11(11):2230. doi: 10.3390/antiox11112230.
7
SMAD3 interacts with vitamin D receptor and affects vitamin D-mediated oxidative stress to ameliorate cerebral ischaemia-reperfusion injury.SMAD3 与维生素 D 受体相互作用,并影响维生素 D 介导的氧化应激,从而改善脑缺血再灌注损伤。
Eur J Neurosci. 2022 Dec;56(11):6055-6068. doi: 10.1111/ejn.15833. Epub 2022 Oct 10.
8
Vitamin D and Its Receptor from a Structural Perspective.从结构角度看维生素 D 及其受体
Nutrients. 2022 Jul 12;14(14):2847. doi: 10.3390/nu14142847.
9
Pharmacoepigenetics in type 2 diabetes: is it clinically relevant?2 型糖尿病的药物基因组表观遗传学:它具有临床相关性吗?
Diabetologia. 2022 Nov;65(11):1849-1853. doi: 10.1007/s00125-022-05681-x. Epub 2022 Mar 21.
10
High early pregnancy serum 25-hydroxy vitamin D level, within a sub-optimal range, is associated with gestational diabetes mellitus: a prospective cohort study.孕早期血清25-羟维生素D水平处于次优范围内与妊娠期糖尿病相关:一项前瞻性队列研究。
Nutr Res Pract. 2022 Feb;16(1):120-131. doi: 10.4162/nrp.2022.16.1.120. Epub 2021 Aug 12.