Suppr超能文献

揭示胰腺导管腺癌患者和癌细胞模型中的 microRNA 图谱。

Unveiling the microRNA landscape in pancreatic ductal adenocarcinoma patients and cancer cell models.

机构信息

Department of Biomedical Science, University of Sassari, Sassari, 07100, Italy.

Biopathology and Regenerative Medicine Institute (IBIMER), Centre for Biomedical Research (CIBM), University of Granada, Granada, 18016, Spain.

出版信息

BMC Cancer. 2024 Oct 24;24(1):1308. doi: 10.1186/s12885-024-13007-w.

Abstract

BACKGROUND

Pancreatic ductal adenocarcinoma (PDAC) poses a significant challenge due to late-stage diagnoses resulting from nonspecific early symptoms and the absence of early diagnostic biomarkers. MicroRNAs (miRNAs) play a crucial role in regulating diverse biological processes, and their abnormal expression is observed in various diseases, including cancer. Cancer stem cells (CSCs) are thought to act as a driving force in PDAC spread and recurrence. In pursuing the goal of unravelling the complexities of PDAC and its underlying molecular mechanisms, our study aimed to identify PDAC-associated miRNAs and relate them to disease progression, focusing on their involvement in various PDAC stages in patients and in reliable in vitro models, including pancreatic CSC (PaCSC) models.

METHODS

The miRNA profiling datasets of serum and solid biopsies of PDAC patients deposited in GEO DataSets were analyzed by REML-based meta-analysis. The panel was then investigated by Real Time PCR in serum and solid biopsies of 37 PDAC patients enrolled in the study, as well as on BxPC-3 and AsPC-1 PDAC cell lines. We extended our focus towards a possible role of PDAC-associated miRNAs in the CSC phenotype, by inducing CSC-enriched pancreatospheres from BxPC-3 and AsPC-1 PDAC cell lines and performed differential miRNA expression analysis between PaCSCs and monolayer-grown PDAC cell lines.

RESULTS

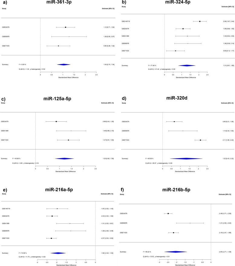
Meta-analysis showed differentially expressed miRNAs in blood samples and cancerous tissues of PDAC patients, allowing the identification of a panel of 9 PDAC-associated miRNAs. The results emerging from our patients fully confirmed the meta-analysis for the majority of miRNAs under investigation. In vitro tasks confirmed the aberrant expression of the panel of PDAC-associated miRNAs, with a dramatic dysregulation in PaCSC models. Notably, PaCSCs have shown significant overexpression of miR-4486, miR-216a-5p, and miR-216b-5p compared to PDAC cell lines, suggesting the recruitment of such miRNAs in stemness-related molecular mechanisms. Globally, our results showed a dual behaviour of miR-216a-5p and miR-216b-5p in PDAC while miR-4486, miR-361-3p, miR-125a-5p, miR-320d expression changes during the disease suggest they could promote PDAC initiation and progression.

CONCLUSIONS

This study contributed to an enhanced comprehension of the role of miRNAs in the development and progression of PDAC, shedding new light on the miRNA landscape in PDAC and its intricate interplay with CSCs, and providing specific insights useful in the development of miRNA-based diagnostic biomarkers and therapeutic targets.

摘要

背景

由于非特异性早期症状和缺乏早期诊断生物标志物,导致胰腺癌(PDAC)的诊断通常较晚。微小 RNA(miRNA)在调节多种生物过程中起着关键作用,其异常表达可见于多种疾病,包括癌症。癌症干细胞(CSC)被认为是 PDAC 扩散和复发的驱动力。为了揭示 PDAC 的复杂性及其潜在的分子机制,我们的研究旨在鉴定与 PDAC 相关的 miRNA,并将其与疾病进展相关联,重点关注它们在患者不同 PDAC 阶段以及可靠的体外模型中的作用,包括胰腺 CSC(PaCSC)模型。

方法

通过基于 REML 的荟萃分析分析了 GEO DataSets 中 PDAC 患者血清和实体活检 miRNA 谱数据集。然后,我们通过实时 PCR 对纳入研究的 37 例 PDAC 患者的血清和实体活检以及 BxPC-3 和 AsPC-1 PDAC 细胞系进行了检测。我们通过从 BxPC-3 和 AsPC-1 PDAC 细胞系中诱导富含 CSC 的类胰腺球体,将研究重点扩展到与 CSC 表型相关的 PDAC 相关 miRNA 可能发挥的作用上,并对 PaCSC 和单层培养的 PDAC 细胞系之间的差异 miRNA 表达进行了分析。

结果

荟萃分析显示 PDAC 患者血液样本和癌组织中存在差异表达的 miRNA,从而确定了一组 9 种与 PDAC 相关的 miRNA。我们患者的研究结果充分证实了大多数研究 miRNA 的荟萃分析。体外任务证实了与 PDAC 相关 miRNA 组的异常表达,在 PaCSC 模型中出现了明显的失调。值得注意的是,与 PDAC 细胞系相比,PaCSC 显示 miR-4486、miR-216a-5p 和 miR-216b-5p 的表达显著上调,表明这些 miRNA 参与了与干细胞相关的分子机制。总体而言,我们的结果显示 miR-216a-5p 和 miR-216b-5p 在 PDAC 中具有双重作用,而 miR-4486、miR-361-3p、miR-125a-5p 和 miR-320d 的表达变化表明它们可能促进 PDAC 的起始和进展。

结论

本研究有助于增强对 miRNA 在 PDAC 发生和发展中的作用的理解,揭示了 PDAC 中的 miRNA 景观及其与 CSCs 的复杂相互作用,并提供了 miRNA 为基础的诊断生物标志物和治疗靶点的开发提供了具体的见解。

https://cdn.ncbi.nlm.nih.gov/pmc/blobs/d4b5/11515555/ddda97594425/12885_2024_13007_Fig1_HTML.jpg

文献检索

告别复杂PubMed语法,用中文像聊天一样搜索,搜遍4000万医学文献。AI智能推荐,让科研检索更轻松。

立即免费搜索

文件翻译

保留排版,准确专业,支持PDF/Word/PPT等文件格式,支持 12+语言互译。

免费翻译文档

深度研究

AI帮你快速写综述,25分钟生成高质量综述,智能提取关键信息,辅助科研写作。

立即免费体验