Suppr超能文献

多层纳米乳液对β-胡萝卜素体外消化及抗氧化活性的影响

The Effect of Multilayer Nanoemulsion on the In Vitro Digestion and Antioxidant Activity of β-Carotene.

作者信息

Sun Mei Zi, Kim Do-Yeong, Baek Youjin, Lee Hyeon Gyu

机构信息

Department of Food and Nutrition, Hanyang University, 222, Wangsimni-ro, Seongdong-gu, Seoul 04763, Republic of Korea.

Division of Food and Nutrition, Chonnam National University, Gwangju 61186, Republic of Korea.

出版信息

Antioxidants (Basel). 2024 Oct 10;13(10):1218. doi: 10.3390/antiox13101218.

Abstract

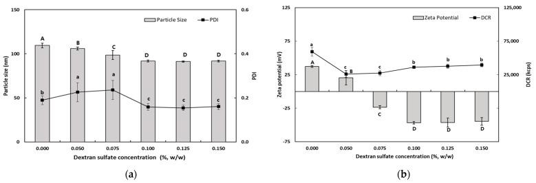
The objectives of this study were to design multilayer oil-in-water nanoemulsions using a layer-by-layer technique to enhance the stability of β-carotene and evaluate its effect on in vitro release and antioxidant activity. To prepare β-carotene-loaded multilayer nanoemulsions (NEs), a primary NE (PRI-NE) using Tween 20 was coated with chitosan (CS) for the secondary NE (SEC-CS), and with dextran sulfate (DS) and sodium alginate (SA) for the two types of tertiary NEs (TER-DS, TER-SA). The multilayer NEs ranged in particle size from 92 to 110 nm and exhibited high entrapment efficiency (92-99%). After incubation in a simulated gastrointestinal tract model, the release rate of free fatty acids decreased slightly after coating with CS, DS, and SA. The bioaccessibility of β-carotene was 7.02% for the PRI-NE, 7.96% for the SEC-CS, 10.88% for the TER-DS, and 10.25% for the TER-SA. The 2,2-diphenyl-1-picrylhydrazyl radical scavenging abilities increased by 1.2 times for the multilayer NEs compared to the PRI-NE. In addition, the cellular antioxidant abilities improved by 1.8 times for the TER-DS (87.24%) compared to the PRI-NE (48.36%). Therefore, multilayer nanoemulsions are potentially valuable techniques to improve the stability, in vitro digestion, and antioxidant activity of β-carotene.

摘要

本研究的目的是采用层层技术设计多层水包油纳米乳液,以提高β-胡萝卜素的稳定性,并评估其对体外释放和抗氧化活性的影响。为制备负载β-胡萝卜素的多层纳米乳液(NEs),使用吐温20制备的初级纳米乳液(PRI-NE)用壳聚糖(CS)包被形成二级纳米乳液(SEC-CS),并用硫酸葡聚糖(DS)和海藻酸钠(SA)包被形成两种类型的三级纳米乳液(TER-DS、TER-SA)。多层纳米乳液的粒径范围为92至110nm,具有较高的包封率(92-99%)。在模拟胃肠道模型中孵育后,用CS、DS和SA包被后游离脂肪酸的释放速率略有下降。β-胡萝卜素的生物可及性对于PRI-NE为7.02%,对于SEC-CS为7.96%,对于TER-DS为10.88%,对于TER-SA为10.25%。与PRI-NE相比,多层纳米乳液的2,2-二苯基-1-苦基肼自由基清除能力提高了1.2倍。此外,与PRI-NE(48.36%)相比,TER-DS(87.24%)的细胞抗氧化能力提高了1.8倍。因此,多层纳米乳液是提高β-胡萝卜素稳定性、体外消化率和抗氧化活性的潜在有价值技术。

https://cdn.ncbi.nlm.nih.gov/pmc/blobs/45c7/11504132/290feea053a1/antioxidants-13-01218-g001.jpg

文献检索

告别复杂PubMed语法,用中文像聊天一样搜索,搜遍4000万医学文献。AI智能推荐,让科研检索更轻松。

立即免费搜索

文件翻译

保留排版,准确专业,支持PDF/Word/PPT等文件格式,支持 12+语言互译。

免费翻译文档

深度研究

AI帮你快速写综述,25分钟生成高质量综述,智能提取关键信息,辅助科研写作。

立即免费体验