Suppr超能文献

煤矿地下水库中的水岩相互作用机制与水化学演化

Water-Rock Interaction Mechanisms and Hydrochemical Evolution in the Underground Reservoirs of Coal Mines.

作者信息

Zhang Haitao, Jiang Binbin, Zhang Haiqin, Li Peng, Wu Min, Hao Jingwei, Hu Yutian

机构信息

State Key Laboratory of Water Resource Protection and Utilization in Coal Mining, Beijing 102211, China.

School of Earth and Environment, Coal Industry Engineering Research Center for Comprehensive Prevention and Control of Mine Water Disaster, Anhui University of Science and Technology, Huainan 232001, China.

出版信息

ACS Omega. 2024 Oct 16;9(43):43834-43849. doi: 10.1021/acsomega.4c06809. eCollection 2024 Oct 29.

Abstract

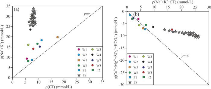
Coal-mine underground reservoirs play pivotal roles in water purification through water-rock interactions; however, underlying mechanisms associated with water-rock interactions remain unclear to date. To address this issue, this study considered the underground reservoirs of the Daliuta coal mine, Shendong to conduct the analysis. Through onsite sampling and laboratory simulation experiments, along with hydrochemical-diagram-based analysis, multivariate statistical analysis, and hydrogeochemical simulations, the sources and evolutions of major ions associated with the water of the underground reservoirs were elucidated. Results revealed that the suspended-solid content, turbidity, electrical conductivity, and total dissolved solid concentration in the water at the outlet of the underground reservoirs decreased significantly compared to corresponding values at the inlet. Alteration in the hydrochemical type of water was observed from the Cl·HCO-Na·Ca, Cl-Na·Ca·Mg, and Cl·SO-Na types at the inlet of the reservoirs to SO·Cl-Na at the outlet of the reservoirs. Further, the primary hydrogeochemical processes carried out along the water flow path in the underground reservoirs included mineral dissolution (including halite, silicate, calcite, gypsum, and anhydrite dissolution), pyrite oxidation, cation exchange, and clay-mineral adsorption. Water-rock interactions in the underground reservoirs can be categorized into three stages. The first stage was dominated by dissolution and oxidation, resulting in decreased water pH and overall increased concentrations of total dissolved solids along with major ions in the water. The second stage was dominated by clay-mineral adsorption and cation exchange, resulting in increased water pH and overall concentrations of Na and K as well as decreased concentrations of Ca, Mg, and total dissolved solids in the water body. The third stage was characterized by weak water-rock interactions, wherein the concentrations of total dissolved solids along with major ions, as well as the pH of the water stabilized. Thus, our research findings provide important theoretical references for understanding water-purification mechanisms and water-storage-duration optimization in coal-mine underground reservoirs.

摘要

煤矿地下水库通过水岩相互作用在水净化过程中发挥着关键作用;然而,迄今为止,与水岩相互作用相关的潜在机制仍不清楚。为解决这一问题,本研究以神东大柳塔煤矿的地下水库为研究对象进行分析。通过现场采样、实验室模拟实验,以及基于水化学图的分析、多元统计分析和水文地球化学模拟,阐明了与地下水库水体相关的主要离子的来源和演化。结果表明,地下水库出口处水体的悬浮固体含量、浊度、电导率和总溶解固体浓度相较于入口处相应值显著降低。观察到水体的水化学类型从水库入口处的Cl·HCO-Na·Ca、Cl-Na·Ca·Mg和Cl·SO-Na型转变为水库出口处的SO·Cl-Na型。此外,地下水库中沿水流路径发生的主要水文地球化学过程包括矿物溶解(包括石盐、硅酸盐、方解石、石膏和硬石膏溶解)、黄铁矿氧化、阳离子交换和粘土矿物吸附。地下水库中的水岩相互作用可分为三个阶段。第一阶段以溶解和氧化为主,导致水体pH值降低,总溶解固体以及水中主要离子的浓度总体增加。第二阶段以粘土矿物吸附和阳离子交换为主,导致水体pH值升高,Na和K的总浓度增加,而Ca、Mg和水体中总溶解固体的浓度降低。第三阶段的特点是水岩相互作用较弱,其中总溶解固体以及主要离子的浓度和水体pH值趋于稳定。因此,我们的研究结果为理解煤矿地下水库的水净化机制和优化蓄水时间提供了重要的理论参考。

https://cdn.ncbi.nlm.nih.gov/pmc/blobs/3ae5/11525509/0197915588bb/ao4c06809_0001.jpg

文献检索

告别复杂PubMed语法,用中文像聊天一样搜索,搜遍4000万医学文献。AI智能推荐,让科研检索更轻松。

立即免费搜索

文件翻译

保留排版,准确专业,支持PDF/Word/PPT等文件格式,支持 12+语言互译。

免费翻译文档

深度研究

AI帮你快速写综述,25分钟生成高质量综述,智能提取关键信息,辅助科研写作。

立即免费体验