• 文献检索
  • 文档翻译
  • 深度研究
  • 学术资讯
  • Suppr Zotero 插件Zotero 插件
  • 邀请有礼
  • 套餐&价格
  • 历史记录
应用&插件
Suppr Zotero 插件Zotero 插件浏览器插件Mac 客户端Windows 客户端微信小程序
定价
高级版会员购买积分包购买API积分包
服务
文献检索文档翻译深度研究API 文档MCP 服务
关于我们
关于 Suppr公司介绍联系我们用户协议隐私条款
关注我们

Suppr 超能文献

核心技术专利:CN118964589B侵权必究
粤ICP备2023148730 号-1Suppr @ 2026

文献检索

告别复杂PubMed语法,用中文像聊天一样搜索,搜遍4000万医学文献。AI智能推荐,让科研检索更轻松。

立即免费搜索

文件翻译

保留排版,准确专业,支持PDF/Word/PPT等文件格式,支持 12+语言互译。

免费翻译文档

深度研究

AI帮你快速写综述,25分钟生成高质量综述,智能提取关键信息,辅助科研写作。

立即免费体验

植物-土壤系统中的碳氮化学计量学解释了多年苜蓿草地的退化。

Carbon and nitrogen stoichiometry across plant-soil system accounts for the degradation of multi-year alfalfa grassland.

作者信息

Wang Wei, Tian Tao, Li Meng-Ying, Wang Bao-Zhong, Mei Fu-Jian, Li Ji-Yuan, Wang Ning, Yang Yu-Miao, Zhang Qiang, Tao Hong-Yan, Zhu Li, Xiong You-Cai

机构信息

Key Laboratory of Soil Environment and Nutrient Resources in Shanxi Province, Shanxi Agricultural University, Taiyuan, China.

State Key Laboratory of Herbage Improvement and Grassland Agro-ecosystems, College of Ecology, Lanzhou University, Lanzhou, China.

出版信息

Front Plant Sci. 2024 Oct 18;15:1400261. doi: 10.3389/fpls.2024.1400261. eCollection 2024.

DOI:10.3389/fpls.2024.1400261
PMID:39494059
原文链接:https://pmc.ncbi.nlm.nih.gov/articles/PMC11527612/
Abstract

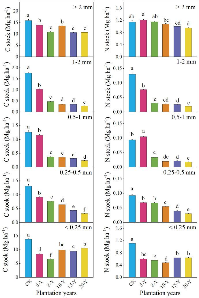
Alfalfa ( L.) grassland is prone to degradation following multi-year maintenance. Yet, its mechanism regarding the stoichiometry of carbon (C) and nitrogen (N) across plant-soil system is still unclear. To address this issue, the method of space-for-time sampling was employed to investigate alfalfa grasslands with five planting years (5-, 8-, 10-, 15-, and 20-year periods) in the semiarid Loess Plateau. The results showed that the alfalfa above- and underground biomass decreased steadily decrease after the fifth to eighth years, showing a degradation tendency with the extension of planting duration. The mean weight diameter of aggregate registered an increase with planting years. However, the C and N stocks decreased with planting years in five soil aggregate fractions. Specifically, they were the highest in the fifth year and then started to gradually decrease along the 8th, 10th, 15th, and 20th year. Redundancy and correlation analysis confirmed that the C and N stocks of soil aggregates were closely positively associated with those of plant. Overall, the highest stability of soil physical structure was found during the period from the fifth to eighth year, and, afterward, the stability declined. In conclusion, alfalfa plantation improved soil structure stability but aggravated soil C and N stocks, and biomass and soil aggregate indicators accounted for alfalfa field degradation after a certain year of plantation.

摘要

紫花苜蓿(Medicago sativa L.)草地在多年利用后易发生退化。然而,其在植物-土壤系统中碳(C)和氮(N)化学计量的机制仍不清楚。为解决这一问题,采用空间代替时间的采样方法,对黄土高原半干旱地区5个种植年限(5年、8年、10年、15年和20年)的紫花苜蓿草地进行了调查。结果表明,紫花苜蓿地上和地下生物量在第5至8年后稳步下降,随着种植年限的延长呈现退化趋势。团聚体平均重量直径随种植年限增加。然而,5种土壤团聚体组分中的碳和氮储量随种植年限减少。具体而言,它们在第5年最高,然后在第8年、第10年、第15年和第20年开始逐渐下降。冗余和相关性分析证实,土壤团聚体的碳和氮储量与植物的碳和氮储量密切正相关。总体而言,土壤物理结构在第5至8年期间稳定性最高,之后稳定性下降。综上所述,紫花苜蓿种植改善了土壤结构稳定性,但加剧了土壤碳和氮储量的下降,生物量和土壤团聚体指标是紫花苜蓿种植一定年限后草地退化的原因。

https://cdn.ncbi.nlm.nih.gov/pmc/blobs/0d88/11527612/410668fb2e04/fpls-15-1400261-g006.jpg
https://cdn.ncbi.nlm.nih.gov/pmc/blobs/0d88/11527612/fadc0de905c7/fpls-15-1400261-g001.jpg
https://cdn.ncbi.nlm.nih.gov/pmc/blobs/0d88/11527612/02861bffdd76/fpls-15-1400261-g002.jpg
https://cdn.ncbi.nlm.nih.gov/pmc/blobs/0d88/11527612/50ebc4ea69ff/fpls-15-1400261-g003.jpg
https://cdn.ncbi.nlm.nih.gov/pmc/blobs/0d88/11527612/23f7166261b1/fpls-15-1400261-g004.jpg
https://cdn.ncbi.nlm.nih.gov/pmc/blobs/0d88/11527612/bb037bd3b029/fpls-15-1400261-g005.jpg
https://cdn.ncbi.nlm.nih.gov/pmc/blobs/0d88/11527612/410668fb2e04/fpls-15-1400261-g006.jpg
https://cdn.ncbi.nlm.nih.gov/pmc/blobs/0d88/11527612/fadc0de905c7/fpls-15-1400261-g001.jpg
https://cdn.ncbi.nlm.nih.gov/pmc/blobs/0d88/11527612/02861bffdd76/fpls-15-1400261-g002.jpg
https://cdn.ncbi.nlm.nih.gov/pmc/blobs/0d88/11527612/50ebc4ea69ff/fpls-15-1400261-g003.jpg
https://cdn.ncbi.nlm.nih.gov/pmc/blobs/0d88/11527612/23f7166261b1/fpls-15-1400261-g004.jpg
https://cdn.ncbi.nlm.nih.gov/pmc/blobs/0d88/11527612/bb037bd3b029/fpls-15-1400261-g005.jpg
https://cdn.ncbi.nlm.nih.gov/pmc/blobs/0d88/11527612/410668fb2e04/fpls-15-1400261-g006.jpg

相似文献

1
Carbon and nitrogen stoichiometry across plant-soil system accounts for the degradation of multi-year alfalfa grassland.植物-土壤系统中的碳氮化学计量学解释了多年苜蓿草地的退化。
Front Plant Sci. 2024 Oct 18;15:1400261. doi: 10.3389/fpls.2024.1400261. eCollection 2024.
2
Changes in soil aggregate, carbon, and nitrogen storages following the conversion of cropland to alfalfa forage land in the marginal oasis of northwest China.中国西北边缘绿洲农田转变为苜蓿饲料地后土壤团聚体、碳和氮储量的变化。
Environ Manage. 2009 Jun;43(6):1061-70. doi: 10.1007/s00267-009-9284-x. Epub 2009 Feb 26.
3
[Dynamics of soil nitrogen, phosphorus and organic matter in alfalfa-crop rotated farmland in semiarid area of Northwest China].[中国西北半干旱地区苜蓿-作物轮作农田土壤氮、磷和有机质动态]
Ying Yong Sheng Tai Xue Bao. 2005 Mar;16(3):439-44.
4
[Degradation process and plant diversity of alfalfa grassland in North Loess Plateau of China].[中国黄土高原北部苜蓿草地的退化过程与植物多样性]
Ying Yong Sheng Tai Xue Bao. 2005 Dec;16(12):2321-7.
5
Shoot-soil ecological stoichiometry of alfalfa under nitrogen and phosphorus fertilization in the Loess Plateau.黄土高原氮磷施肥下紫花苜蓿的土壤生态化学计量学。
Sci Rep. 2021 Jul 22;11(1):15049. doi: 10.1038/s41598-021-94472-2.
6
Impacts of Cropping Systems on Aggregates Associated Organic Carbon and Nitrogen in a Semiarid Highland Agroecosystem.种植制度对半干旱高原农业生态系统中团聚体相关有机碳和氮的影响
PLoS One. 2016 Oct 20;11(10):e0165018. doi: 10.1371/journal.pone.0165018. eCollection 2016.
7
[Soil Aggregate Stability and Its Stoichiometric Characteristics in Forest within Different Vegetation Zones on the Loess Plateau, China].[中国黄土高原不同植被带森林土壤团聚体稳定性及其化学计量特征]
Huan Jing Ke Xue. 2019 Jun 8;40(6):2904-2911. doi: 10.13227/j.hjkx.201811109.
8
[Characteristics of soil microbial and nematode communities under artificial Medicago sativa grasslands with different cultivation years in semi-arid region of Loess Plateau, Northwest China].[中国西北黄土高原半干旱区不同种植年限人工紫花苜蓿草地土壤微生物和线虫群落特征]
Ying Yong Sheng Tai Xue Bao. 2020 Apr;31(4):1365-1377. doi: 10.13287/j.1001-9332.202004.034.
9
How Fencing Affects the Soil Quality and Plant Biomass in the Grassland of the Loess Plateau.围栏如何影响黄土高原草地的土壤质量和植物生物量
Int J Environ Res Public Health. 2017 Sep 25;14(10):1117. doi: 10.3390/ijerph14101117.
10
[Characters of soil organic matter functional groups in the fields planted with alfalfa (Medicago sativa) for different years in hilly regions of south Ningxia, Northwest China].宁夏南部山区不同种植年限紫花苜蓿(Medicago sativa)地土壤有机质官能团特征
Ying Yong Sheng Tai Xue Bao. 2012 Dec;23(12):3266-72.

本文引用的文献

1
Plant-soil interactions during the native and exotic range expansion of an annual plant.一年生植物在原生和外来分布范围扩张过程中的植物-土壤相互作用。
J Evol Biol. 2024 Jun 28;37(6):653-664. doi: 10.1093/jeb/voae040.
2
C:N:P stoichiometry of plants, soils, and microorganisms: Response to altered precipitation.植物、土壤和微生物的碳氮磷化学计量学:对降水变化的响应
Glob Chang Biol. 2023 Dec;29(24):7051-7071. doi: 10.1111/gcb.16959. Epub 2023 Oct 3.
3
The effect of alfalfa cultivation on improving physicochemical properties soil microorganisms community structure of grey desert soil.
苜蓿种植对改善荒漠灰土理化性质及微生物群落结构的影响。
Sci Rep. 2023 Aug 23;13(1):13747. doi: 10.1038/s41598-023-41005-8.
4
Influence of long-term fertilization on soil aggregates stability and organic carbon occurrence characteristics in karst yellow soil of Southwest China.长期施肥对西南喀斯特黄壤土壤团聚体稳定性及有机碳赋存特征的影响
Front Plant Sci. 2023 Jun 8;14:1126150. doi: 10.3389/fpls.2023.1126150. eCollection 2023.
5
Carbon dots promoted soybean photosynthesis and amino acid biosynthesis under drought stress: Reactive oxygen species scavenging and nitrogen metabolism.碳点促进干旱胁迫下大豆的光合作用和氨基酸生物合成:活性氧清除和氮代谢。
Sci Total Environ. 2023 Jan 15;856(Pt 1):159125. doi: 10.1016/j.scitotenv.2022.159125. Epub 2022 Sep 28.
6
Climate and litter C/N ratio constrain soil organic carbon accumulation.气候和凋落物碳氮比限制土壤有机碳积累。
Natl Sci Rev. 2019 Jul;6(4):746-757. doi: 10.1093/nsr/nwz045. Epub 2019 Mar 29.
7
Nitrogen addition stimulates soil aggregation and enhances carbon storage in terrestrial ecosystems of China: A meta-analysis.氮添加促进中国陆地生态系统土壤团聚体形成和碳储存:一项荟萃分析。
Glob Chang Biol. 2021 Jun;27(12):2780-2792. doi: 10.1111/gcb.15604. Epub 2021 Apr 10.
8
Towards the progress of ecological restoration and economic development in China's Loess Plateau and strategy for more sustainable development.推进中国黄土高原生态恢复和经济发展,实现更加可持续发展的战略。
Sci Total Environ. 2021 Feb 20;756:143676. doi: 10.1016/j.scitotenv.2020.143676. Epub 2020 Nov 21.
9
Fine root C:N:P stoichiometry and its driving factors across forest ecosystems in northwestern China.中国西北地区森林生态系统细根 C:N:P 化学计量特征及其影响因素。
Sci Total Environ. 2020 Oct 1;737:140299. doi: 10.1016/j.scitotenv.2020.140299. Epub 2020 Jun 20.
10
Legacy effects of precipitation amount and frequency on the aboveground plant biomass of a semi-arid grassland.降水总量和频率对半干旱草原地上植物生物量的遗留效应。
Sci Total Environ. 2020 Feb 25;705:135899. doi: 10.1016/j.scitotenv.2019.135899. Epub 2019 Dec 5.