Suppr超能文献

法国接受波纳替尼治疗的慢性粒细胞白血病各阶段患者的临床结局——来自TOPASE观察性研究的数据

Clinical outcomes in patients in any phase of CML treated with ponatinib in France-Data from the TOPASE observational study.

作者信息

Huguet F, Guerci-Bresler A, Roth-Guepin G, Cayssials E, Slama B, Santagostino A, Penot A, Quittet P, Cony-Makhoul P, Saad A, Bastie J N, Hacini M, Coiteux V, Uzunov M, Roy L, Le Clech L, Berger M, Agneray A M, Messas E, Etienne G, Turhan A, Nicolini F E, Rousselot P

机构信息

Haematology Department, Cancer University Institute, University Hospital, Toulouse, France.

Fi LMC Centre Léon Bérard, Lyon, France.

出版信息

Br J Haematol. 2024 Dec;205(6):2295-2304. doi: 10.1111/bjh.19819. Epub 2024 Nov 6.

Abstract

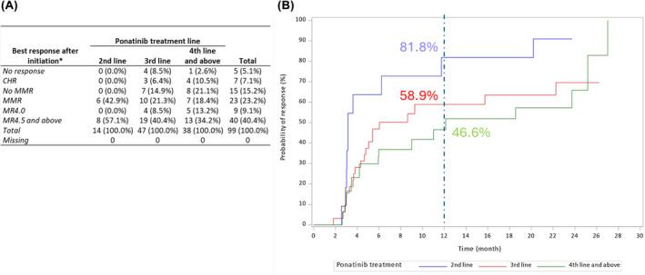
The TOPASE study was set up to evaluate the outcomes of chronic myeloid leukaemia [CML] patients treated with ponatinib (PON) in a real-world setting in France. One hundred and twenty CML patients, 105 in chronic phase (CP), 8 in accelerated phase (AP) and 7 in blastic phase (BP) were included. Fifty-one (49%) of the CP-CML patients were in third line of treatment. The trigger for PON initiation in CP-CML was 'poor response' in 67 patients, 'poor tolerance' in 28 patients and 'response enhancement' in seven patients. The median dose at initiation was 30 mg/day [Q1; Q3 = 15; 30] in CP-CML and 45 mg/day [Q1; Q3 = 30; 45] in AP/BP-CML. Of 98 CP-CML evaluable patients, 72 (73.5%) were considered as responders (MMR) at one time point at least once, especially for those in second line of treatment and/or presenting a T315I mutation. Ninety-six of 120 (80%) patients reported at least one adverse event. An arterial occlusive event (AOE) was reported in 11 patients (9.2%). Thus, these real-life data confirm the potency of ponatinib in resistant or intolerant patients with an acceptable safety profile in non-selected patients. NCT number: NCT04048564.

摘要

TOPASE研究旨在评估在法国真实临床环境中接受波纳替尼(PON)治疗的慢性髓性白血病(CML)患者的治疗结果。纳入了120例CML患者,其中105例处于慢性期(CP),8例处于加速期(AP),7例处于急变期(BP)。CP-CML患者中有51例(49%)处于三线治疗。CP-CML患者开始使用PON的原因是67例“反应不佳”,28例“耐受性差”,7例“增强反应”。CP-CML患者开始治疗时的中位剂量为30mg/天[四分位间距1(Q1);四分位间距3(Q3)=15;30],AP/BP-CML患者为45mg/天[Q1;Q3=30;45]。在98例可评估的CP-CML患者中,至少有72例(73.5%)在至少一个时间点被视为有反应者(主要分子反应),尤其是二线治疗患者和/或存在T315I突变的患者。120例患者中有96例(80%)报告了至少一种不良事件。11例患者(9.2%)报告了动脉闭塞事件(AOE)。因此,这些真实世界的数据证实了波纳替尼在耐药或不耐受患者中的疗效,且在未选择的患者中具有可接受的安全性。临床试验注册号:NCT04048564。

https://cdn.ncbi.nlm.nih.gov/pmc/blobs/1691/11637719/a0e0652ef0ed/BJH-205-2295-g003.jpg

文献检索

告别复杂PubMed语法,用中文像聊天一样搜索,搜遍4000万医学文献。AI智能推荐,让科研检索更轻松。

立即免费搜索

文件翻译

保留排版,准确专业,支持PDF/Word/PPT等文件格式,支持 12+语言互译。

免费翻译文档

深度研究

AI帮你快速写综述,25分钟生成高质量综述,智能提取关键信息,辅助科研写作。

立即免费体验