Suppr超能文献

一项关于研究混合纳米流体在汽车散热器中应用的实验研究。

An experimental investigation examining the usage of a hybrid nanofluid in an automobile radiator.

作者信息

Hassaan Amr M

机构信息

Higher Technological Institute (HTI), 10th of Ramadan City, Egypt.

出版信息

Sci Rep. 2024 Nov 11;14(1):27597. doi: 10.1038/s41598-024-78631-9.

Abstract

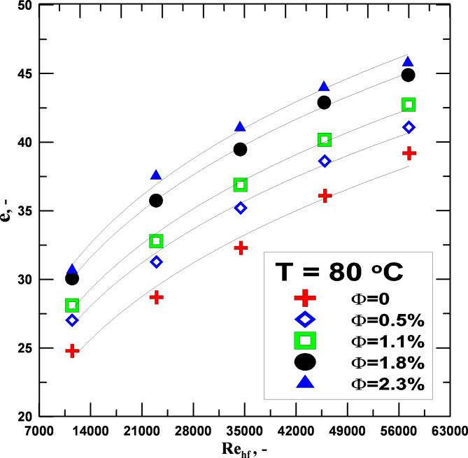
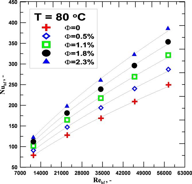
Several modifications have been made to the radiator's dimensions and materials as part of the evolution of the automotive cooling cycle. Coolant is an important factor that greatly affects the efficiency of the cooling cycle. In applications involving heat transmission, nanofluids have become a viable possibility coolant. Two distinct types of nanoparticles floating in the base fluid make up the hybrid nanofluid, a newly invented class of nanofluids. Tests of hybrid nanofluids as a working fluid substitute for conventional fluids have been assisted by the current study. In the radiator of a 2005 Honda, the MWCNT-AlO/water nanofluid was tested at various volumetric concentrations (Φ) using a 50:50 mixing ratio. The outcomes of the experiments were compared with those obtained by using pure water. The radiator's performance was evaluated by adjusting the fluid flow rate and operating the fluid at two distinct temperatures (60, 80 °C). The outcomes demonstrated that the convection heat transfer coefficient increased with a ratio reached 28.5% over the distilled water at the same temperature and flow rate. Both effectiveness and the Nusselt number had improved, coming in at 22.54% and 23.74%, respectively. Depending on the fluid concentration there is an increase in the pressure drop up to 24% than ordinary fluid. It discovered considerable agreement between the research outcomes by comparing them with earlier publications. An experimental correlation was inferred from the results to estimate the Nusselt number as a function of the Reynolds number and (Φ).

摘要

作为汽车冷却循环发展的一部分,散热器的尺寸和材料已经进行了多项改进。冷却液是极大影响冷却循环效率的一个重要因素。在涉及热传递的应用中,纳米流体已成为一种可行的冷却液选择。混合纳米流体是新发明的一类纳米流体,由两种悬浮在基础流体中的不同类型纳米颗粒组成。本研究助力了对混合纳米流体作为传统流体工作流体替代品的测试。在一辆2005款本田汽车的散热器中,使用50:50的混合比例,对多壁碳纳米管 - 氧化铝/水纳米流体在不同体积浓度(Φ)下进行了测试。将实验结果与使用纯水获得的结果进行了比较。通过调节流体流速并在两个不同温度(60、80°C)下运行流体来评估散热器的性能。结果表明,在相同温度和流速下,对流换热系数比蒸馏水提高了28.5%。效能和努塞尔数均有所提高,分别达到22.54%和23.74%。根据流体浓度,压降比普通流体增加了24%。通过将研究结果与早期出版物进行比较,发现二者有相当大的一致性。从结果中推断出一个实验关联式,以估计努塞尔数作为雷诺数和(Φ)的函数。

https://cdn.ncbi.nlm.nih.gov/pmc/blobs/d2ae/11554775/c7c493963fa0/41598_2024_78631_Fig1_HTML.jpg

文献AI研究员

20分钟写一篇综述,助力文献阅读效率提升50倍。

立即体验

用中文搜PubMed

大模型驱动的PubMed中文搜索引擎

马上搜索

文档翻译

学术文献翻译模型,支持多种主流文档格式。

立即体验