• 文献检索
  • 文档翻译
  • 深度研究
  • 学术资讯
  • Suppr Zotero 插件Zotero 插件
  • 邀请有礼
  • 套餐&价格
  • 历史记录
应用&插件
Suppr Zotero 插件Zotero 插件浏览器插件Mac 客户端Windows 客户端微信小程序
定价
高级版会员购买积分包购买API积分包
服务
文献检索文档翻译深度研究API 文档MCP 服务
关于我们
关于 Suppr公司介绍联系我们用户协议隐私条款
关注我们

Suppr 超能文献

核心技术专利:CN118964589B侵权必究
粤ICP备2023148730 号-1Suppr @ 2026

文献检索

告别复杂PubMed语法,用中文像聊天一样搜索,搜遍4000万医学文献。AI智能推荐,让科研检索更轻松。

立即免费搜索

文件翻译

保留排版,准确专业,支持PDF/Word/PPT等文件格式,支持 12+语言互译。

免费翻译文档

深度研究

AI帮你快速写综述,25分钟生成高质量综述,智能提取关键信息,辅助科研写作。

立即免费体验

单核吞噬细胞系统掩盖了感染性关节置换的准确诊断。

The mononuclear phagocyte system obscures the accurate diagnosis of infected joint replacements.

机构信息

Department of Orthopaedic Surgery, Stanford University, 450 Broadway Street, Redwood City, CA, 94025, USA.

Department of Orthopaedic Surgery, Stanford School of Medicine, Biomedical Innovations Building, 240 Pasteur Drive, Palo Alto, CA, 94304, USA.

出版信息

J Transl Med. 2024 Nov 19;22(1):1041. doi: 10.1186/s12967-024-05866-5.

DOI:10.1186/s12967-024-05866-5
PMID:39563367
原文链接:https://pmc.ncbi.nlm.nih.gov/articles/PMC11575056/
Abstract

INTRODUCTION

Diagnosing infected joint replacements relies heavily on assessing the neutrophil response to bacteria. Bacteria form biofilms on joint replacements. Biofilms are sessile bacterial communities encased in a protective extracellular matrix, making them notoriously difficult to culture, remarkably tolerant to antibiotics, and able to evade phagocytosis. Phagocytized bacteria dramatically alter cytokine production and compromise macrophage antigen presentation. We hypothesize that a subset of joint replacements have a dormant infection that suppresses the neutrophil response to bacteria but can be distinguished from uninfected joint replacements by the response of the mononuclear phagocyte system (MPS) within periarticular tissue, synovial fluid, and circulating plasma.

METHODS

Single cell RNASeq transcriptomic and OLink proteomic profiling was performed on matched whole blood, synovial fluid, and periarticular tissue samples collected from 4 joint replacements with an active infection and 3 joint replacements without infection as well as 6 joint replacements with a prior infection deemed "infection-free" by the 2018 Musculoskeletal Infection Society criteria (follow-up of 26 ± 3 months).

RESULTS

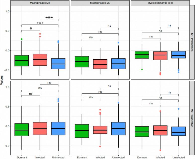
The MPS and neutrophil responses differ by infected state; the cellular distribution of the MPS response in the subset of joints with dormant infections resembled actively infected joints (p = 0.843, Chi-square test) but was significantly different from uninfected joints (p < 0.001, Chi-square test) despite the absence of systemic acute phase reactants and recruitment of neutrophils (p < 0.001, t-test). When compared to no infection, the cellular composition of dormant infection was distinct. There was reduction in classically activated M1 macrophages (p < 0.001, Fischer's test) and alternatively activated M2 macrophages coupled with an increase in classical monocytes (p < 0.001, Fischer's test), myeloid dendritic cells (p < 0.001, Fischer's test), regulatory T-cells (p < 0.001, Fischer's test), natural killer cells (p = 0.009, Fischer's test), and plasmacytoid dendritic cells (p = 0.005, Fischer's test). Hierarchical cluster analysis and single-cell gene expression revealed that classically M1 and alternatively M2 activated macrophages as well as myeloid dendritic cells can independently distinguish the dormant and uninfected patient populations suggesting that a process that modulates neutrophil recruitment (C1QA, C1QB, LY86, SELL, CXCL5, CCL20, CD14, ITGAM), macrophage polarization (FOSB, JUN), immune checkpoint regulation (IFITM2, IFITM3, CST7, THBS1), and T-cell response (VISIG4, CD28, FYN, LAT2, FCGR3A, CD52) was occurring during dormant infection. Gene set variation analysis suggested that activation of the TNF (FDR < 0.01) and IL17 (FDR < 0.01) pathways may distinguish dormant infections from the active and uninfected populations, while an inactivation of neutrophil extracellular traps (NETs) may be involved in the lack of a clinical response to a dormant infection using established diagnostic criteria. Synovial inflammatory proteomics show an increase in synovial CXCL5 associated with dormant infection (p = 0.011, t-test), suggesting the establishment of a chronic inflammatory state by the MPS during a dormant infection involved in neutrophil inhibition. Plasma inflammatory proteomics also support a chronic inflammatory state (EGF, GZMN, FGF2, PTN, MMP12) during dormant infection that involves a reduction in neutrophil recruitment (CXCL5, p = 0.006, t-test), antigen presentation (LAMP3, p = 0.047, t-test), and T-cell function (CD28, p = 0.045, t-test; CD70, p = 0.002, t-test) that are also seen during the development of bacterial tolerance.

DISCUSSION

All current diagnostic criteria assume each patient can mount the same neutrophil response to an implant-associated infection. However, the state of the MPS is of critical importance to accurate diagnosis of an implant-associated infection. A reduction in neutrophil recruitment and function mediated by the MPS may allow joint replacements with a dormant infection to be mischaracterized as uninfected, thus limiting the prognostic capabilities of all current diagnostic tests.

摘要

简介

诊断感染性关节置换物严重依赖于评估对细菌的中性粒细胞反应。细菌在关节置换物上形成生物膜。生物膜是一种由保护性细胞外基质包裹的静止细菌群落,使其极难培养,对抗生素具有极强的耐受性,并能逃避吞噬作用。被吞噬的细菌会显著改变细胞因子的产生,并损害巨噬细胞的抗原呈递。我们假设一部分关节置换物存在休眠性感染,这种感染抑制了中性粒细胞对细菌的反应,但可以通过关节周围组织、滑液和循环血浆中单核吞噬细胞系统(MPS)的反应与未感染的关节置换物区分开来。

方法

对来自 4 例活动性感染和 3 例无感染的关节置换物以及 6 例先前被认为符合 2018 年肌肉骨骼感染协会标准的“无感染”的关节置换物(随访 26±3 个月)的匹配全血、滑液和关节周围组织样本进行单细胞 RNA 测序转录组和 OLink 蛋白质组学分析。

结果

MPS 和中性粒细胞反应因感染状态而异;在休眠性感染的关节亚群中,MPS 的细胞分布与活动性感染的关节相似(p=0.843,卡方检验),但与未感染的关节明显不同(p<0.001,卡方检验),尽管没有全身性急性期反应物和中性粒细胞的募集(p<0.001,t 检验)。与无感染相比,休眠性感染的细胞组成是不同的。经典激活的 M1 巨噬细胞(p<0.001,Fisher 检验)和替代激活的 M2 巨噬细胞减少,同时经典单核细胞增加(p<0.001,Fisher 检验),髓样树突状细胞(p<0.001,Fisher 检验),调节性 T 细胞(p<0.001,Fisher 检验),自然杀伤细胞(p=0.009,Fisher 检验)和浆细胞样树突状细胞(p=0.005,Fisher 检验)增加。层次聚类分析和单细胞基因表达显示,经典的 M1 和替代的 M2 激活的巨噬细胞以及髓样树突状细胞可以独立区分休眠和未感染的患者群体,这表明一种调节中性粒细胞募集的过程(C1QA、C1QB、LY86、SELL、CXCL5、CCL20、CD14、ITGAM)、巨噬细胞极化(FOSB、JUN)、免疫检查点调节(IFITM2、IFITM3、CST7、THBS1)和 T 细胞反应(VISIG4、CD28、FYN、LAT2、FCGR3A、CD52)在休眠性感染期间发生。基因集变异分析表明,TNF(FDR<0.01)和 IL17(FDR<0.01)途径的激活可能将休眠性感染与活动性和未感染人群区分开来,而中性粒细胞细胞外陷阱(NETs)的失活可能与使用现有诊断标准对休眠性感染缺乏临床反应有关。滑液炎症蛋白质组学显示,与休眠感染相关的滑液 CXCL5 增加(p=0.011,t 检验),这表明在休眠感染期间,MPS 建立了一种涉及中性粒细胞抑制的慢性炎症状态。血浆炎症蛋白质组学也支持休眠感染时的慢性炎症状态(EGF、GZMN、FGF2、PTN、MMP12),这涉及到中性粒细胞募集的减少(CXCL5,p=0.006,t 检验)、抗原呈递(LAMP3,p=0.047,t 检验)和 T 细胞功能(CD28,p=0.045,t 检验;CD70,p=0.002,t 检验),这些也见于细菌耐受的发展。

讨论

所有现有的诊断标准都假设每个患者都能对植入物相关感染产生相同的中性粒细胞反应。然而,MPS 的状态对植入物相关感染的准确诊断至关重要。由 MPS 介导的中性粒细胞募集和功能的减少可能会导致带有休眠性感染的关节置换物被误诊为未感染,从而限制了所有现有诊断测试的预后能力。

https://cdn.ncbi.nlm.nih.gov/pmc/blobs/d42b/11575056/a2ee90d7f7e2/12967_2024_5866_Fig9_HTML.jpg
https://cdn.ncbi.nlm.nih.gov/pmc/blobs/d42b/11575056/a56f78520038/12967_2024_5866_Fig1_HTML.jpg
https://cdn.ncbi.nlm.nih.gov/pmc/blobs/d42b/11575056/b7ffeaa0365b/12967_2024_5866_Fig2_HTML.jpg
https://cdn.ncbi.nlm.nih.gov/pmc/blobs/d42b/11575056/ab81867cef8c/12967_2024_5866_Fig3_HTML.jpg
https://cdn.ncbi.nlm.nih.gov/pmc/blobs/d42b/11575056/b28bfccd4d2c/12967_2024_5866_Fig4_HTML.jpg
https://cdn.ncbi.nlm.nih.gov/pmc/blobs/d42b/11575056/76de2a2ad8a4/12967_2024_5866_Fig5_HTML.jpg
https://cdn.ncbi.nlm.nih.gov/pmc/blobs/d42b/11575056/f32dddf23132/12967_2024_5866_Fig6_HTML.jpg
https://cdn.ncbi.nlm.nih.gov/pmc/blobs/d42b/11575056/393163d6efb5/12967_2024_5866_Fig7_HTML.jpg
https://cdn.ncbi.nlm.nih.gov/pmc/blobs/d42b/11575056/4c4959da6203/12967_2024_5866_Fig8_HTML.jpg
https://cdn.ncbi.nlm.nih.gov/pmc/blobs/d42b/11575056/a2ee90d7f7e2/12967_2024_5866_Fig9_HTML.jpg
https://cdn.ncbi.nlm.nih.gov/pmc/blobs/d42b/11575056/a56f78520038/12967_2024_5866_Fig1_HTML.jpg
https://cdn.ncbi.nlm.nih.gov/pmc/blobs/d42b/11575056/b7ffeaa0365b/12967_2024_5866_Fig2_HTML.jpg
https://cdn.ncbi.nlm.nih.gov/pmc/blobs/d42b/11575056/ab81867cef8c/12967_2024_5866_Fig3_HTML.jpg
https://cdn.ncbi.nlm.nih.gov/pmc/blobs/d42b/11575056/b28bfccd4d2c/12967_2024_5866_Fig4_HTML.jpg
https://cdn.ncbi.nlm.nih.gov/pmc/blobs/d42b/11575056/76de2a2ad8a4/12967_2024_5866_Fig5_HTML.jpg
https://cdn.ncbi.nlm.nih.gov/pmc/blobs/d42b/11575056/f32dddf23132/12967_2024_5866_Fig6_HTML.jpg
https://cdn.ncbi.nlm.nih.gov/pmc/blobs/d42b/11575056/393163d6efb5/12967_2024_5866_Fig7_HTML.jpg
https://cdn.ncbi.nlm.nih.gov/pmc/blobs/d42b/11575056/4c4959da6203/12967_2024_5866_Fig8_HTML.jpg
https://cdn.ncbi.nlm.nih.gov/pmc/blobs/d42b/11575056/a2ee90d7f7e2/12967_2024_5866_Fig9_HTML.jpg

相似文献

1
The mononuclear phagocyte system obscures the accurate diagnosis of infected joint replacements.单核吞噬细胞系统掩盖了感染性关节置换的准确诊断。
J Transl Med. 2024 Nov 19;22(1):1041. doi: 10.1186/s12967-024-05866-5.
2
Synovial Cytokines and the MSIS Criteria Are Not Useful for Determining Infection Resolution After Periprosthetic Joint Infection Explantation.滑膜细胞因子和MSIS标准对确定人工关节感染翻修术后感染是否消退并无帮助。
Clin Orthop Relat Res. 2016 Jul;474(7):1630-9. doi: 10.1007/s11999-016-4710-x.
3
Blood culture flasks for culturing synovial fluid in prosthetic joint infections.用于培养人工关节感染关节液的血培养瓶。
Clin Orthop Relat Res. 2010 Aug;468(8):2238-43. doi: 10.1007/s11999-010-1254-3. Epub 2010 Feb 17.
4
Local and systemic activation of the mononuclear phagocyte system in aseptic loosening of total hip arthroplasty.全髋关节置换术后无菌性松动中单核吞噬细胞系统的局部和全身激活。
J Clin Immunol. 2009 Sep;29(5):681-90. doi: 10.1007/s10875-009-9305-9. Epub 2009 Jun 18.
5
An Evidence-Based Clinical Prediction Algorithm for the Musculoskeletal Infection Society Minor Criteria.基于证据的肌肉骨骼感染学会小标准临床预测算法。
J Arthroplasty. 2018 Sep;33(9):2993-2996. doi: 10.1016/j.arth.2018.04.047. Epub 2018 May 9.
6
The Leukocyte Esterase Test for Periprosthetic Joint Infection Is Not Affected by Prior Antibiotic Administration.白细胞酯酶试验对假体周围关节感染的诊断不受先前抗生素使用的影响。
J Bone Joint Surg Am. 2019 Apr 17;101(8):739-744. doi: 10.2106/JBJS.18.00615.
7
Tests for predicting reimplantation success of two-stage revision for periprosthetic joint infection: A systematic review and meta-analysis.预测人工关节周围感染二期翻修再植入成功率的试验:一项系统评价和荟萃分析。
Orthop Traumatol Surg Res. 2018 Nov;104(7):1115-1123. doi: 10.1016/j.otsr.2018.03.017. Epub 2018 Jul 17.
8
Serum interleukin 6 could be a valuable initial diagnostic tool in prosthetic knee joint infections.血清白细胞介素6可能是人工膝关节感染的一种有价值的初始诊断工具。
Eur J Orthop Surg Traumatol. 2019 Dec;29(8):1781-1788. doi: 10.1007/s00590-019-02519-y. Epub 2019 Jul 26.
9
Diagnostic accuracy of synovial fluid, blood markers, and microbiological testing in chronic knee prosthetic infections.滑膜液、血液标志物及微生物检测在慢性膝关节假体感染中的诊断准确性
Arch Orthop Trauma Surg. 2018 Feb;138(2):165-171. doi: 10.1007/s00402-017-2832-6. Epub 2017 Nov 4.
10
Is the Enzyme-linked Immunosorbent Assay More Accurate Than the Lateral Flow Alpha Defensin Test for Diagnosing Periprosthetic Joint Infection?酶联免疫吸附测定法比侧向流α防御素检测诊断人工关节周围感染更准确吗?
Clin Orthop Relat Res. 2018 Aug;476(8):1645-1654. doi: 10.1097/CORR.0000000000000336.

本文引用的文献

1
Host and microbial characteristics associated with recurrent prosthetic joint infections.与复发性人工关节感染相关的宿主和微生物特征。
J Orthop Res. 2024 Mar;42(3):560-567. doi: 10.1002/jor.25768. Epub 2023 Dec 26.
2
Association Between IL-17 and Chronic Obstructive Pulmonary Disease: A Systematic Review and Meta-Analysis.IL-17 与慢性阻塞性肺疾病的关系:系统评价和荟萃分析。
Int J Chron Obstruct Pulmon Dis. 2023 Aug 2;18:1681-1690. doi: 10.2147/COPD.S412626. eCollection 2023.
3
Bacterial and Metabolic Factors of Staphylococcal Planktonic and Biofilm Environments Differentially Regulate Macrophage Immune Activation.
细菌和代谢因子对金黄色葡萄球菌浮游和生物膜环境的影响不同,从而调节巨噬细胞的免疫激活。
Inflammation. 2023 Aug;46(4):1512-1530. doi: 10.1007/s10753-023-01824-3. Epub 2023 May 22.
4
Platelet-instructed SPP1 macrophages drive myofibroblast activation in fibrosis in a CXCL4-dependent manner.血小板指导的 SPP1 巨噬细胞以 CXCL4 依赖的方式驱动纤维化中的肌成纤维细胞激活。
Cell Rep. 2023 Feb 28;42(2):112131. doi: 10.1016/j.celrep.2023.112131. Epub 2023 Feb 18.
5
Altering the viscoelastic properties of mucus-grown biofilms affects antibiotic susceptibility.改变黏液生长生物膜的黏弹性会影响抗生素敏感性。
Biofilm. 2023 Jan 21;5:100104. doi: 10.1016/j.bioflm.2023.100104. eCollection 2023 Dec.
6
Trends in Total Joint Arthroplasty Among Patients With Rheumatoid Arthritis: The Effect of Recent Disease Modifying Antirheumatic Drug Utilization Guidelines.类风湿关节炎患者全关节置换术趋势:新型疾病修饰抗风湿药物应用指南的影响。
J Am Acad Orthop Surg Glob Res Rev. 2022 Dec 5;6(12). doi: 10.5435/JAAOSGlobal-D-22-00209. eCollection 2022 Dec 1.
7
Total joint arthroplasty following solid organ transplants: complications and mid-term outcomes.实体器官移植后全关节置换术:并发症及中期结果。
Int Orthop. 2022 Dec;46(12):2735-2745. doi: 10.1007/s00264-022-05597-6. Epub 2022 Oct 12.
8
Which serum markers predict the success of reimplantation after periprosthetic joint infection?哪些血清标志物可预测假体周围关节感染后再植入的成功率?
J Orthop Traumatol. 2022 Sep 16;23(1):45. doi: 10.1186/s10195-022-00664-5.
9
IL-17A and TNF synergistically drive expression of proinflammatory mediators in synovial fibroblasts via IκBζ-dependent induction of ELF3.IL-17A 和 TNF 通过 IκBζ 依赖性诱导 ELF3,协同驱动滑膜成纤维细胞中促炎介质的表达。
Rheumatology (Oxford). 2023 Feb 1;62(2):872-885. doi: 10.1093/rheumatology/keac385.
10
The human "contaminome": bacterial, viral, and computational contamination in whole genome sequences from 1000 families.人类“污染组”:1000 个家庭的全基因组序列中的细菌、病毒和计算污染。
Sci Rep. 2022 Jun 14;12(1):9863. doi: 10.1038/s41598-022-13269-z.