• 文献检索
  • 文档翻译
  • 深度研究
  • 学术资讯
  • Suppr Zotero 插件Zotero 插件
  • 邀请有礼
  • 套餐&价格
  • 历史记录
应用&插件
Suppr Zotero 插件Zotero 插件浏览器插件Mac 客户端Windows 客户端微信小程序
定价
高级版会员购买积分包购买API积分包
服务
文献检索文档翻译深度研究API 文档MCP 服务
关于我们
关于 Suppr公司介绍联系我们用户协议隐私条款
关注我们

Suppr 超能文献

核心技术专利:CN118964589B侵权必究
粤ICP备2023148730 号-1Suppr @ 2026

文献检索

告别复杂PubMed语法,用中文像聊天一样搜索,搜遍4000万医学文献。AI智能推荐,让科研检索更轻松。

立即免费搜索

文件翻译

保留排版,准确专业,支持PDF/Word/PPT等文件格式,支持 12+语言互译。

免费翻译文档

深度研究

AI帮你快速写综述,25分钟生成高质量综述,智能提取关键信息,辅助科研写作。

立即免费体验

西牧草盲蝽和埃氏牧草盲蝽(半翅目:盲蝽科)实用性性信息素诱捕器的研发

Development of practical pheromone lures for Lygus hesperus and Lygus elisus (Heteroptera: Miridae).

作者信息

Hall David R, Serrano Jacqueline, Yokota Glenn Y, Nieto Diego J, Farman Dudley I, McElfresh J Steven, Del Pozo-Valdivia Alejandro I, Millar Jocelyn G, Daane Kent M

机构信息

Natural Resources Institute, University of Greenwich, Chatham Maritime, Kent ME4 4TB, UK.

Departments of Entomology and Chemistry, University of California, Riverside, CA 92521, USA.

出版信息

J Econ Entomol. 2025 Feb 11;118(1):184-194. doi: 10.1093/jee/toae266.

DOI:10.1093/jee/toae266
PMID:39574341
原文链接:https://pmc.ncbi.nlm.nih.gov/articles/PMC11818382/
Abstract

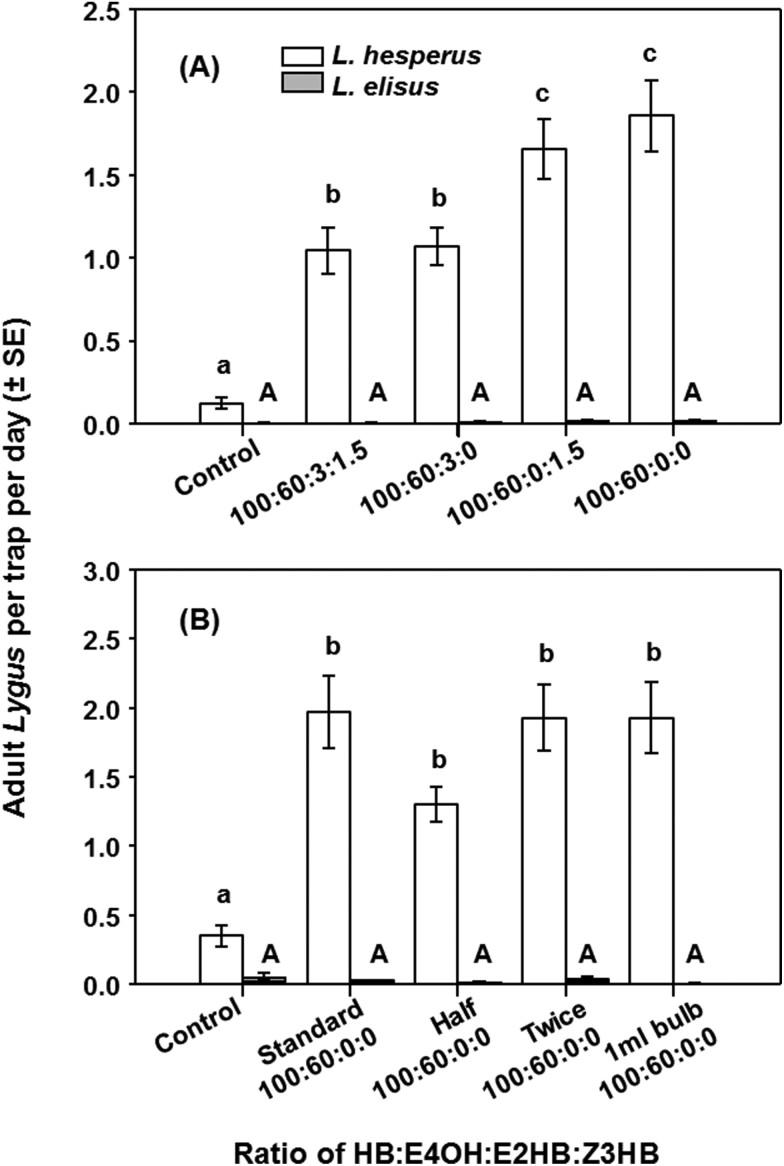
The mirid bugs Lygus hesperus (Knight) and L. elisus (van Duzee) are key pests of forage, fiber, and fruit crops. Our goals were to identify pheromone components produced by females of both species and to develop practical pheromone dispensers for use in monitoring these pests. Volatiles collected from virgin female L. elisus contained (E)-2-hexenyl butyrate (E2HB) as the major component with lesser amounts of hexyl butyrate (HB) and (E)-4-oxo-2-hexenal (E4OH) (ratio 117.2:100:17.1, respectively), whereas volatiles and solvent extracts from L. hesperus contained HB and E4OH as major components, with only small amounts of E2HB (100:23.6:3.4, respectively in volatiles). Dispensers fabricated from pipette tips released the components at ~10 µg/d in a ratio similar to the loading ratio. These lures were used to optimize the pheromone blends in field studies from 2012 to 2017. Blends of E2HB and E4OH attracted L. elisus, and a 100:60 blend was optimal. Blends of HB and E4OH attracted L. hesperus, and a 100:60 blend was adopted as a base blend. The additions of possible minor components such as (Z)-3-hexenyl butyrate, (E)-2-hexenal, or 1-hexanol did not improve the attraction of L. hesperus. In trials in alfalfa and strawberry, traps baited with blends of HB:E4OH (100:60) were equally or more effective for monitoring L. hesperus than sweep or vacuum samples, with pipette tip dispensers lasting 2-3 weeks under field conditions. The numbers of L. hesperus captured were lower than expected as compared with reports of pheromone trapping for other Lygus spp. Some possible reasons were investigated.

摘要

牧草盲蝽(Lygus hesperus (Knight))和埃氏牧草盲蝽(L. elisus (van Duzee))是牧草、纤维作物和水果作物的主要害虫。我们的目标是鉴定这两种昆虫雌虫产生的性信息素成分,并开发用于监测这些害虫的实用型性信息素诱捕器。从未交配的埃氏牧草盲蝽雌虫收集的挥发物中,丁酸(E)-2-己烯酯(E2HB)是主要成分,丁酸己酯(HB)和(E)-4-氧代-2-己烯醛(E4OH)含量较少(比例分别为117.2:100:17.1),而牧草盲蝽的挥发物和溶剂提取物中,HB和E4OH是主要成分,E2HB含量很少(挥发物中比例分别为100:23.6:3.4)。用移液管尖端制作的诱捕器以与负载比例相似的比例以约10 µg/天的速度释放这些成分。这些诱芯用于在2012年至2017年的田间研究中优化性信息素混合物。E2HB和E4OH的混合物吸引埃氏牧草盲蝽,100:60的混合物是最佳的。HB和E4OH的混合物吸引牧草盲蝽,100:60的混合物被用作基础混合物。添加可能的次要成分,如(Z)-3-己烯基丁酸酯、(E)-2-己烯醛或1-己醇,并没有提高牧草盲蝽的诱捕效果。在苜蓿和草莓试验中,用HB:E4OH(100:60)混合物诱捕的诱捕器在监测牧草盲蝽方面与扫网或真空取样法效果相当或更好,在田间条件下移液管尖端诱捕器可持续2至3周。与其他牧草盲蝽种的性信息素诱捕报告相比,捕获的牧草盲蝽数量低于预期。研究了一些可能的原因。

https://cdn.ncbi.nlm.nih.gov/pmc/blobs/86f6/11818382/44dbb3c80e95/toae266_fig5.jpg
https://cdn.ncbi.nlm.nih.gov/pmc/blobs/86f6/11818382/0aee462c473c/toae266_fig2.jpg
https://cdn.ncbi.nlm.nih.gov/pmc/blobs/86f6/11818382/d61fe1c83a56/toae266_fig4.jpg
https://cdn.ncbi.nlm.nih.gov/pmc/blobs/86f6/11818382/44dbb3c80e95/toae266_fig5.jpg
https://cdn.ncbi.nlm.nih.gov/pmc/blobs/86f6/11818382/0aee462c473c/toae266_fig2.jpg
https://cdn.ncbi.nlm.nih.gov/pmc/blobs/86f6/11818382/d61fe1c83a56/toae266_fig4.jpg
https://cdn.ncbi.nlm.nih.gov/pmc/blobs/86f6/11818382/44dbb3c80e95/toae266_fig5.jpg

相似文献

1
Development of practical pheromone lures for Lygus hesperus and Lygus elisus (Heteroptera: Miridae).西牧草盲蝽和埃氏牧草盲蝽(半翅目:盲蝽科)实用性性信息素诱捕器的研发
J Econ Entomol. 2025 Feb 11;118(1):184-194. doi: 10.1093/jee/toae266.
2
Sex pheromone component ratios and mating isolation among three Lygus plant bug species of North America.北美三种牧草盲蝽性信息素成分比例与交配隔离
Naturwissenschaften. 2013 Dec;100(12):1115-23. doi: 10.1007/s00114-013-1113-7.
3
Combining visual cues and pheromone blends for monitoring and management of the tarnished plant bug Lygus lineolaris (Hemiptera: Miridae).结合视觉线索和信息素混合物监测和管理变色盲蝽(半翅目:盲蝽科)。
Pest Manag Sci. 2023 Jun;79(6):2163-2171. doi: 10.1002/ps.7395. Epub 2023 Feb 20.
4
Field Evaluation of Potential Pheromone Lures for Lygus lineolaris (Hemiptera: Miridae) in the Mid-South.中南部地区牧草盲蝽(半翅目:盲蝽科)潜在性诱剂的田间评估
J Insect Sci. 2017 Jan 1;17(1). doi: 10.1093/jisesa/iew109.
5
Further studies on sex pheromones of female Lygus and related bugs: development of effective lures and investigation of species-specificity.进一步研究棉盲蝽及相关盲蝽科昆虫性信息素:有效诱芯的研制及种特异性研究。
J Chem Ecol. 2014 Jan;40(1):71-83. doi: 10.1007/s10886-013-0375-z. Epub 2014 Jan 4.
6
Attraction of male European tarnished plant bug, Lygus rugulipennis to components of the female sex pheromone in the field.雄性欧洲牧草盲蝽(Lygus rugulipennis)对雌性性信息素成分在田间的趋性
J Chem Ecol. 2005 Jun;31(6):1401-13. doi: 10.1007/s10886-005-5293-2.
7
Investigation of long-range female sex pheromone of the European tarnished plant bug, Lygus rugulipennis: chemical, electrophysiological, and field studies.欧洲牧草盲蝽性信息素远距离作用的研究:化学、电生理及田间试验
J Chem Ecol. 2004 Aug;30(8):1509-29. doi: 10.1023/b:joec.0000042065.19044.6d.
8
Lygus spp. (Heteroptera: Miridae) host-plant interactions with Lesquerella fendleri (Brassicaceae), a new crop in the arid southwest.草盲蝽属(半翅目:盲蝽科)与费氏亚麻荠(十字花科)的寄主植物相互作用,费氏亚麻荠是美国西南部干旱地区的一种新作物。
Environ Entomol. 2009 Feb;38(1):159-67. doi: 10.1603/022.038.0120.
9
The Black Book of Psychotropic Dosing and Monitoring.《精神药物剂量与监测黑皮书》
Psychopharmacol Bull. 2024 Jul 8;54(3):8-59.
10
Systemic pharmacological treatments for chronic plaque psoriasis: a network meta-analysis.系统性药理学治疗慢性斑块状银屑病:网络荟萃分析。
Cochrane Database Syst Rev. 2021 Apr 19;4(4):CD011535. doi: 10.1002/14651858.CD011535.pub4.

引用本文的文献

1
Identification of Female Sex Pheromone of a Plant Bug, Reuter (Hemiptera: Miridae).植物盲蝽(半翅目:盲蝽科)雌性性信息素的鉴定
Insects. 2025 Jan 23;16(2):111. doi: 10.3390/insects16020111.

本文引用的文献

1
Early Season Monitoring of Tarnished Plant Bug, , in Wild Hosts Using Pheromone Traps.使用性诱捕器对野生寄主上的牧草盲蝽进行早期监测
Insects. 2023 Oct 7;14(10):805. doi: 10.3390/insects14100805.
2
Immigration of Lygus spp. (Hemiptera: Miridae) and predaceous natural enemies to trap-cropped organic strawberry.牧草盲蝽属(半翅目:盲蝽科)及捕食性天敌迁入诱集作物种植的有机草莓地。
Environ Entomol. 2023 Oct 16;52(5):824-831. doi: 10.1093/ee/nvad085.
3
Combining visual cues and pheromone blends for monitoring and management of the tarnished plant bug Lygus lineolaris (Hemiptera: Miridae).
结合视觉线索和信息素混合物监测和管理变色盲蝽(半翅目:盲蝽科)。
Pest Manag Sci. 2023 Jun;79(6):2163-2171. doi: 10.1002/ps.7395. Epub 2023 Feb 20.
4
Optimization and field demonstration of the Lygus pratensis (Hemiptera: Miridae) sex pheromone.豌豆蚜(半翅目:盲蝽科)性信息素的优化与田间示范。
Pest Manag Sci. 2021 Feb;77(2):817-823. doi: 10.1002/ps.6083. Epub 2020 Sep 24.
5
Identification and field evaluation of the sex pheromone of Apolygus lucorum (Hemiptera: Miridae) in China.中国突额盲蝽性信息素的鉴定和田间评价。
Pest Manag Sci. 2020 May;76(5):1847-1855. doi: 10.1002/ps.5714. Epub 2020 Jan 6.
6
Sex pheromones and reproductive isolation in five mirid species.五种盲蝽科昆虫的性信息素与生殖隔离
PLoS One. 2015 May 14;10(5):e0127051. doi: 10.1371/journal.pone.0127051. eCollection 2015.
7
Further studies on sex pheromones of female Lygus and related bugs: development of effective lures and investigation of species-specificity.进一步研究棉盲蝽及相关盲蝽科昆虫性信息素:有效诱芯的研制及种特异性研究。
J Chem Ecol. 2014 Jan;40(1):71-83. doi: 10.1007/s10886-013-0375-z. Epub 2014 Jan 4.
8
Feeding injury to cotton caused by Lygus hesperus (Hemiptera: Miridae) nymphs and prereproductive adults.西牧草盲蝽若虫和未成熟成虫对棉花造成的取食伤害(半翅目:盲蝽科)
Environ Entomol. 2013 Oct;42(5):967-72. doi: 10.1603/EN13052.
9
Sex pheromone component ratios and mating isolation among three Lygus plant bug species of North America.北美三种牧草盲蝽性信息素成分比例与交配隔离
Naturwissenschaften. 2013 Dec;100(12):1115-23. doi: 10.1007/s00114-013-1113-7.
10
Dispersion, distribution, and movement of Lygus spp. (Hemiptera: Miridae) in trap-cropped organic strawberries.牧草盲蝽属(半翅目:盲蝽科)在间作诱集作物的有机草莓中的扩散、分布及移动情况
Environ Entomol. 2013 Aug;42(4):770-8. doi: 10.1603/EN12353.