Suppr超能文献

胰十二指肠切除术后从生化漏进展为临床相关术后胰瘘的危险因素。锁钥:预后营养指数。

Risk Factors For Progression From Biochemical Leak to Clinically Relevant Postoperative Pancreatic Fistula After Pancreaticoduodenectomy. The Key of the Lock: Prognostic Nutritional Index.

作者信息

Aydin Mehmet Can, Ozsay Oguzhan, Karabulut Kagan, Bircan Recep, Atalay Fatih, Ors Mehmet Batuhan

机构信息

Department of Gastrointestinal Surgery, Bursa State Hospital, Bursa, Türkiye.

Department of General Surgery, Ondokuz Mayıs University, Samsun, Türkiye.

出版信息

Turk J Gastroenterol. 2024 Nov 4;36(2):100-106. doi: 10.5152/tjg.2024.24425.

Abstract

BACKGROUND/AIMS: Postoperative pancreatic fistula (POPF), which is considered the most frightening complication after pancreatic oduodenectomy (PD), continues to be a serious problem even in experienced centers. In the present study, we aimed to determine the risk factors that increase the progression from biochemical leak (BL) to clinically relevant postoperative pancreatic fistula (CR-POPF) after PD.

MATERIALS AND METHODS

We retrospectively analyzed the data of 152 patients who underwent PD. A total of 71 patients who developed POPF were included in the study and divided into two groups: 52 patients remained in the BL stage and 19 patients progressed from BL to CR-POPF. The groups were compared in terms of preoperative data, perioperative findings, and postoperative results. Risk factors for progression from BL to CR-POPF were analyzed.

RESULTS

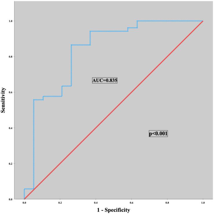
Preoperative prognostic nutritional index (PNI) was significantly lower in the CR-POPF group compared to the BL group (35.6 (30.1-47.9) vs 41.6 (33.5-58), P < .001). Receiver operating characteristic (ROC) curve analysis showed that the best cutoff of preoperative PNI value for predicting this progression was 38 (AUC = 0.835; 95% CI, 0.717-0.953; P = .001). While the progression rate was 58.3% in the group with PNI < 38, it was 10.6% with PNI ≥ 38. In univariate and multivariate analysis, preoperative PNI value was the only independent risk factor for progression from BL to CR-POPF after PD (OR, 15.428; 95% CI, 3.714-64.085; P < .01).

CONCLUSION

Preoperative PNI value is an important parameter predicting the progression from BL to CR-POPF after PD.

摘要

背景/目的:术后胰瘘(POPF)被认为是胰十二指肠切除术(PD)后最可怕的并发症,即使在经验丰富的中心,它仍然是一个严重的问题。在本研究中,我们旨在确定PD后增加从生化漏(BL)进展为临床相关术后胰瘘(CR-POPF)的危险因素。

材料与方法

我们回顾性分析了152例行PD患者的数据。共有71例发生POPF的患者纳入研究并分为两组:52例患者仍处于BL阶段,19例患者从BL进展为CR-POPF。比较两组患者的术前数据、围手术期表现和术后结果。分析从BL进展为CR-POPF的危险因素。

结果

与BL组相比,CR-POPF组术前预后营养指数(PNI)显著更低(35.6(30.1-47.9)对41.6(33.5-58),P <.001)。受试者工作特征(ROC)曲线分析显示,术前PNI值预测这种进展的最佳截断值为38(AUC = 0.835;95%CI,0.717-0.953;P =.001)。PNI < 38组的进展率为58.3%,PNI≥38组为10.6%。在单因素和多因素分析中,术前PNI值是PD后从BL进展为CR-POPF的唯一独立危险因素(OR,15.428;95%CI,3.714-64.085;P <.01)。

结论

术前PNI值是预测PD后从BL进展为CR-POPF的重要参数。

https://cdn.ncbi.nlm.nih.gov/pmc/blobs/9f05/11843267/bf48a3707cbf/tjg-36-2-100_f001.jpg

相似文献

4
Serum amylase on postoperative day one is a strong predictor of pancreatic fistula after pancreaticoduodenectomy: a retrospective cohort.
Turk J Med Sci. 2023 Aug 11;53(5):1271-1280. doi: 10.55730/1300-0144.5693. eCollection 2023.
5
Risk scoring system and predictor for clinically relevant pancreatic fistula after pancreaticoduodenectomy.
World J Gastroenterol. 2015 May 21;21(19):5926-33. doi: 10.3748/wjg.v21.i19.5926.
8
Novel risk scoring system for prediction of pancreatic fistula after pancreaticoduodenectomy.
World J Gastroenterol. 2019 Jun 7;25(21):2650-2664. doi: 10.3748/wjg.v25.i21.2650.

本文引用的文献

1
Serum amylase on postoperative day one is a strong predictor of pancreatic fistula after pancreaticoduodenectomy: a retrospective cohort.
Turk J Med Sci. 2023 Aug 11;53(5):1271-1280. doi: 10.55730/1300-0144.5693. eCollection 2023.
2
Early postoperative risk stratification in patients with pancreatic fistula after pancreaticoduodenectomy.
Surgery. 2023 Feb;173(2):492-500. doi: 10.1016/j.surg.2022.09.008. Epub 2022 Oct 29.
5
Effect of Modified Blumgart Anastomosis on Surgical Outcomes After Pancreaticoduodenectomy.
Turk J Gastroenterol. 2022 Feb;33(2):119-126. doi: 10.5152/tjg.2021.21701.
6
Preoperative Prognostic Nutritional Index is a significant predictive factor for posthepatectomy bile leakage.
Ann Hepatobiliary Pancreat Surg. 2021 Nov 30;25(4):477-484. doi: 10.14701/ahbps.2021.25.4.477.
8
Is Prognostic Nutritional Index an Indicator for Postoperative 90-Day Mortality in Laparoscopic Gastric Cancer Surgery?
Nutr Cancer. 2022;74(6):2088-2094. doi: 10.1080/01635581.2021.2002920. Epub 2021 Nov 15.

文献AI研究员

20分钟写一篇综述,助力文献阅读效率提升50倍。

立即体验

用中文搜PubMed

大模型驱动的PubMed中文搜索引擎

马上搜索

文档翻译

学术文献翻译模型,支持多种主流文档格式。

立即体验