Suppr超能文献

具有R = Nd、Sm、Gd和Dy的A位有序四重钙钛矿RMnNiMnO中的B位有序和无序结构

B-Site-Ordered and Disordered Structures in A-Site-Ordered Quadruple Perovskites RMnNiMnO with R = Nd, Sm, Gd, and Dy.

作者信息

Belik Alexei A, Liu Ran, Tanaka Masahiko, Yamaura Kazunari

机构信息

Research Center for Materials Nanoarchitectonics (MANA), National Institute for Materials Science (NIMS), Namiki 1-1, Tsukuba 305-0044, Ibaraki, Japan.

Graduate School of Chemical Sciences and Engineering, Hokkaido University, North 10 West 8, Kita-ku, Sapporo 060-0810, Hokkaido, Japan.

出版信息

Molecules. 2024 Nov 21;29(23):5488. doi: 10.3390/molecules29235488.

Abstract

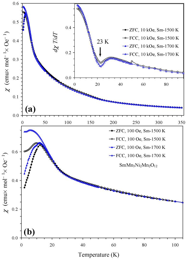
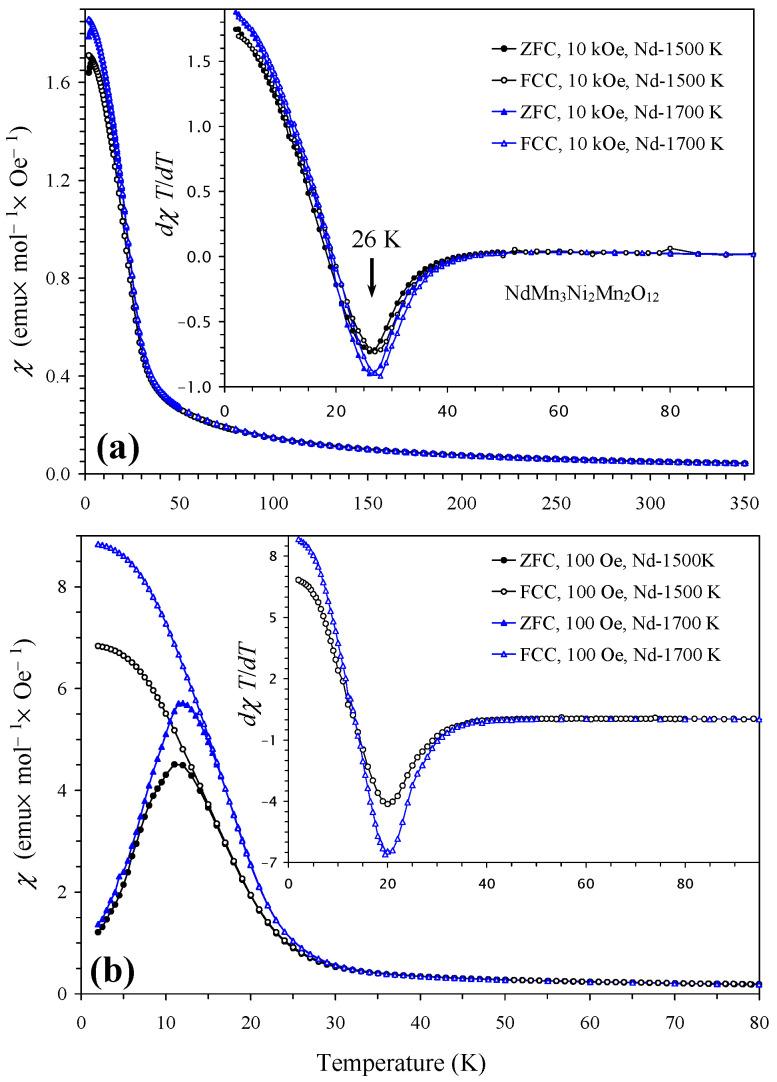
ABO perovskite materials with small cations at the A site, especially with ordered cation arrangements, have attracted a lot of interest because they show unusual physical properties and deviations from general perovskite tendencies. In this work, A-site-ordered quadruple perovskites, RMnNiMnO with R = Nd, Sm, Gd, and Dy, were synthesized by a high-pressure, high-temperature method at about 6 GPa. Annealing at about 1500 K produced samples with additional (partial) B-site ordering of Ni and Mn cations, crystallizing in space group -3. Annealing at about 1700 K produced samples with disordering of Ni and Mn cations, crystallizing in space group -3. However, magnetic properties were nearly identical for the -3 and -3 modifications in comparison with ferromagnetic double perovskites RNiMnO, where the degree of Ni and Mn ordering has significant effects on magnetic properties. In RMnNiMnO, one magnetic transition was found at 26 K (for R = Nd), 23 K (for R = Sm), and 22 K (for R = Gd), and two transitions were found at 10 K and 36 K for R = Dy. Curie-Weiss temperatures were close to zero in all compounds, suggesting that antiferromagnetic and ferromagnetic interactions are of the same magnitude.

摘要

A位含有小阳离子的ABO钙钛矿材料,特别是具有有序阳离子排列的材料,因其展现出异常的物理性质且偏离一般钙钛矿趋势而备受关注。在本工作中,通过在约6 GPa的高压高温方法合成了A位有序的四重钙钛矿RMnNiMnO,其中R = Nd、Sm、Gd和Dy。在约1500 K退火得到了具有额外(部分)Ni和Mn阳离子B位有序的样品,其结晶于空间群-3。在约1700 K退火得到了Ni和Mn阳离子无序的样品,其结晶于空间群-3。然而,与铁磁双钙钛矿RNiMnO相比,-3和-3变体的磁性几乎相同,在RNiMnO中,Ni和Mn的有序程度对磁性有显著影响。在RMnNiMnO中,发现对于R = Nd在26 K、对于R = Sm在23 K以及对于R = Gd在22 K出现一个磁转变,对于R = Dy在10 K和36 K发现两个转变。所有化合物的居里-外斯温度都接近零,这表明反铁磁和铁磁相互作用的强度相同。

https://cdn.ncbi.nlm.nih.gov/pmc/blobs/f3cd/11644023/0a272e024842/molecules-29-05488-g001.jpg

文献AI研究员

20分钟写一篇综述,助力文献阅读效率提升50倍。

立即体验

用中文搜PubMed

大模型驱动的PubMed中文搜索引擎

马上搜索

文档翻译

学术文献翻译模型,支持多种主流文档格式。

立即体验