Suppr超能文献

胃肠胰神经内分泌肿瘤的流行病学、治疗及预后

Epidemiology, treatment and outcomes of gastroenteropancreatic neuroendocrine neoplasms.

作者信息

Uhlig Johannes, Nie James, Gibson Joanna, Cecchini Michael, Stein Stacey, Lacy Jill, Kunz Pamela, Kim Hyun S

机构信息

Division of Vascular and Interventional Radiology, Department of Diagnostic Radiology and Nuclear Medicine, University of Maryland, Baltimore, USA.

Department of Clinical and Interventional Radiology, University Medical Center Goettingen, Goettingen, Germany.

出版信息

Sci Rep. 2024 Dec 17;14(1):30536. doi: 10.1038/s41598-024-81518-4.

Abstract

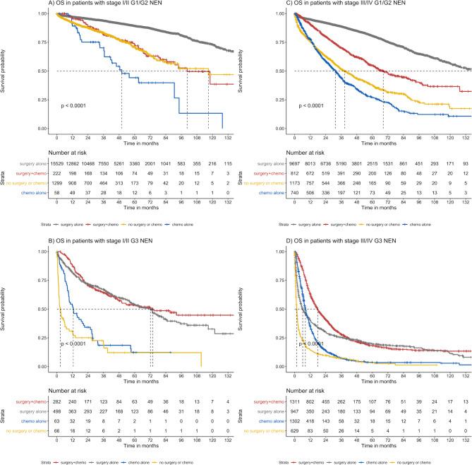
To investigate incidence, treatment patterns and outcomes of gastroenteropancreatic neuroendocrine neoplasms (GEP-NEN) in the United States. The 2019 National Cancer Database was searched for adult GEP-NEN patients. Main outcomes included overall and site-specific incidence, treatment patterns, and overall survival (OS). Overall survival was evaluated using averaged Cox regression. 86,324 GEP-NEN patients were included (6.33% of all GEP malignancies). From 2004 to 2016, annual GEP-NEN cases increased (n = 4,010 to n = 9,379), largely driven by low-stage, low-grade disease. Most patients received surgery, either alone (72.9%) or in combination with systemic therapy (4.9%). Longest overall survival (OS) was evident in patients with low stage and low grade GEP-NEN of the small intestine and rectum (p < 0.001). Patients undergoing surgical resection demonstrated longest OS. The addition of systemic therapy was most effective in high stage G3 NEN. Having higher income (≥$63,333) and private insurance or Medicare, but not Medicaid, was associated with improved survival. GEP-NEN incidence increases, likely due to improved detection and diagnosis. Treatment patterns have evolved to follow the latest international guidelines and site-specific improvement in survival is noted. In addition to disease specific factors, insurance access and socioeconomic factors emerged as potential targets for improving outcomes.

摘要

为了调查美国胃肠胰神经内分泌肿瘤(GEP-NEN)的发病率、治疗模式及预后。检索2019年国家癌症数据库中的成年GEP-NEN患者。主要结局包括总体及特定部位的发病率、治疗模式和总生存期(OS)。使用平均Cox回归评估总生存期。纳入了86324例GEP-NEN患者(占所有GEP恶性肿瘤的6.33%)。2004年至2016年期间,GEP-NEN年病例数增加(从4010例增至9379例),主要由低分期、低级别疾病驱动。大多数患者接受了手术,单独手术(72.9%)或联合全身治疗(4.9%)。小肠和直肠低分期、低级别GEP-NEN患者的总生存期最长(p<0.001)。接受手术切除的患者总生存期最长。全身治疗的加入对高分期G3 NEN最有效。收入较高(≥63333美元)且拥有私人保险或医疗保险而非医疗补助与生存期改善相关。GEP-NEN发病率增加,可能是由于检测和诊断的改善。治疗模式已发展为遵循最新国际指南,且特定部位的生存期有所改善。除了疾病特异性因素外,保险可及性和社会经济因素成为改善预后的潜在目标。

https://cdn.ncbi.nlm.nih.gov/pmc/blobs/1796/11652651/8ce8e34d2250/41598_2024_81518_Fig1_HTML.jpg

文献检索

告别复杂PubMed语法,用中文像聊天一样搜索,搜遍4000万医学文献。AI智能推荐,让科研检索更轻松。

立即免费搜索

文件翻译

保留排版,准确专业,支持PDF/Word/PPT等文件格式,支持 12+语言互译。

免费翻译文档

深度研究

AI帮你快速写综述,25分钟生成高质量综述,智能提取关键信息,辅助科研写作。

立即免费体验