Suppr超能文献

慢性阻塞性肺疾病全球倡议(GOLD)的急性加重病史分类与疾病转归

GOLD COPD Exacerbation History Categories and Disease Outcomes.

作者信息

Waeijen-Smit Kiki, Peerlings Daphne E M, Jörres Rudolf A, Watz Henrik, Bals Robert, Rabe Klaus F, Vogelmeier Claus F, Speicher Tim, Spruit Martijn A, Simons Sami O, Houben-Wilke Sarah, Franssen Frits M E, Alter Peter

机构信息

Department of Research and Development, Ciro, Horn, the Netherlands.

Department of Respiratory Medicine, Research Institute of Nutrition and Translational Research in Metabolism, Faculty of Health Medicine and Life Sciences, Maastricht University Medical Centre+, Maastricht, the Netherlands.

出版信息

JAMA Netw Open. 2024 Dec 2;7(12):e2445488. doi: 10.1001/jamanetworkopen.2024.45488.

Abstract

IMPORTANCE

Previous exacerbations of chronic obstructive pulmonary disease (ECOPD) are associated with future events. For more than a decade, patients at high risk have been defined as individuals with a history of 2 or more moderate ECOPD, 1 or more severe ECOPD, or both within 12 months, and treatments have been allocated accordingly, but these cutoffs lack validation.

OBJECTIVES

To validate ECOPD history categories by the Global Initiative for Chronic Obstructive Lung Disease (GOLD) and explore alternative cutoffs to estimate moderate and severe ECOPD and all-cause mortality in COPD.

DESIGN, SETTING, AND PARTICIPANTS: This cohort study analyzed data from patients with COPD in the German COPD and Systemic Consequences-Comorbidities Network (COSYCONET) study. Patients were recruited from September 2010 to December 2013. Analyses were conducted in September 2023 to August 2024.

MAIN OUTCOMES AND MEASURES

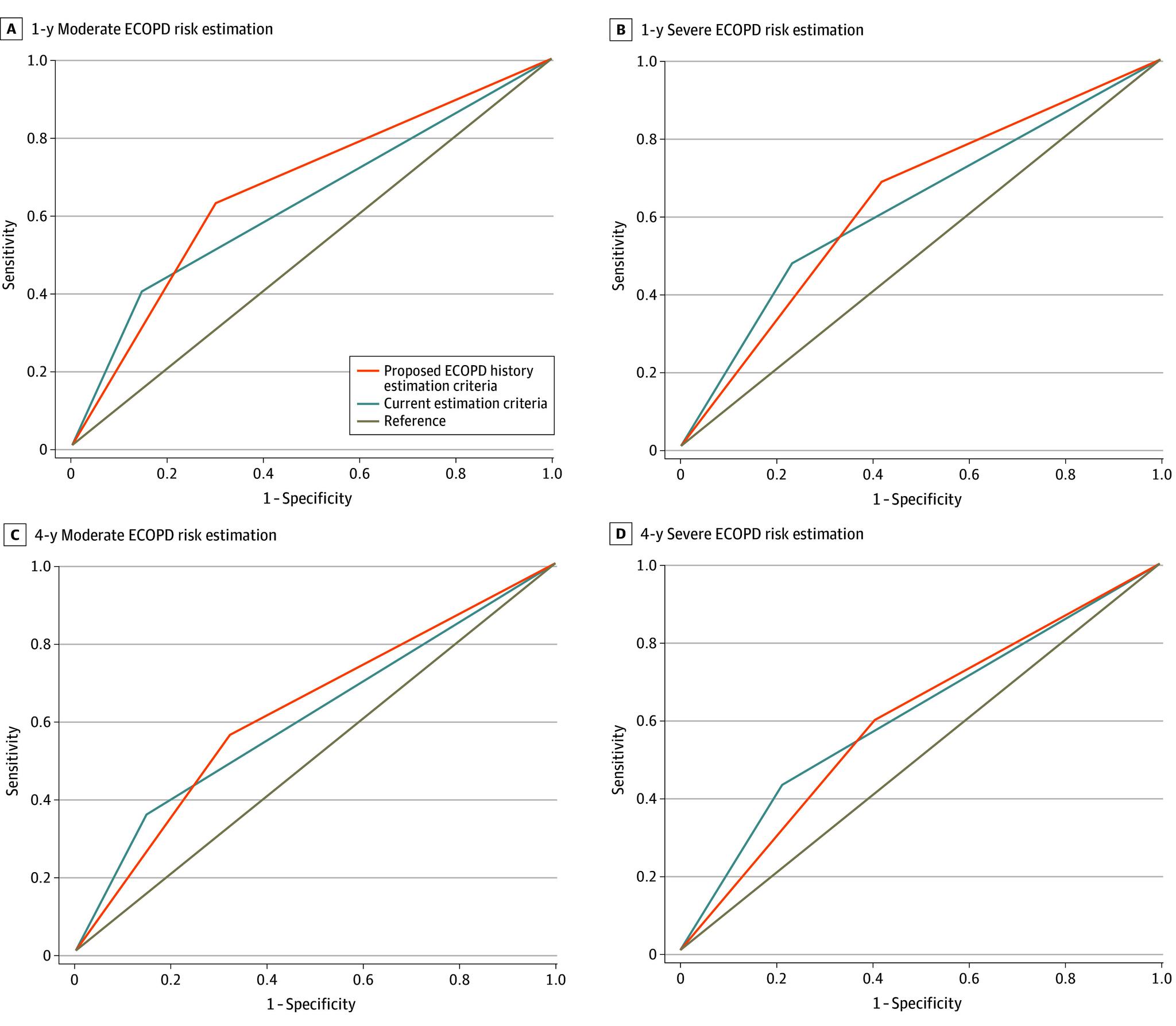
Risk of moderate and severe (ie, with hospitalization) ECOPD and all-cause mortality over a 4.5-year follow-up period were assessed using binomial logistic regressions and area under the receiver operating characteristic curves (AUROCs) with 95% CIs.

RESULTS

Among 2291 patients with COPD GOLD categories 1 to 4 (mean [SD] age, 65 [8] years; 1396 male [60.9%]), the mean (SD) estimated forced expiratory volume in the first second of expiration was 52.5% (18.6%). ECOPD history categories by GOLD had an AUROC of 0.63 (95% CI, 0.60-0.65) and 0.62 (95% CI, 0.58-0.66) to estimate moderate and severe ECOPD, respectively. A single previous moderate ECOPD within 12 months more accurately estimated future moderate and severe ECOPD (AUROC, 0.66; 95% CI, 0.64-0.69), and in line with GOLD, 1 previous severe ECOPD within 12 months estimated moderate and severe ECOPD (AUROC, 0.63; 95% CI, 0.60-0.67). The 4-year mortality rate was 219 patients (9.6%). Patients with 3 or more previous moderate ECOPD (odds ratio, 2.18; 95% CI, 1.27-3.72) or 1 or more previous severe ECOPD (odds ratio, 1.57; 95% CI, 1.29-1.91) within 12 months were more likely to die compared with patients without prior ECOPD.

CONCLUSIONS AND RELEVANCE

This study's findings suggest a limited estimative performance of ECOPD history categories by GOLD. Novel cutoffs were suggested, categorizing patients as without exacerbations or with high-risk exacerbations based on a history of 1 or more moderate ECOPD, 1 or more severe ECOPD, or both within 12 months.

摘要

重要性

既往慢性阻塞性肺疾病急性加重(ECOPD)与未来事件相关。十多年来,高危患者被定义为在12个月内有2次或更多次中度ECOPD、1次或更多次重度ECOPD病史或两者兼有的个体,并据此进行治疗分配,但这些临界值缺乏验证。

目的

通过慢性阻塞性肺疾病全球倡议(GOLD)验证ECOPD病史类别,并探索替代临界值以估计慢性阻塞性肺疾病(COPD)中的中度和重度ECOPD以及全因死亡率。

设计、设置和参与者:这项队列研究分析了德国慢性阻塞性肺疾病和全身后果-合并症网络(COSYCONET)研究中COPD患者的数据。患者于2010年9月至2013年12月招募。分析于2023年9月至2024年8月进行。

主要结局和测量指标

使用二项逻辑回归和受试者工作特征曲线下面积(AUROCs)及95%置信区间评估4.5年随访期内中度和重度(即需住院)ECOPD风险及全因死亡率。

结果

在2291例GOLD 1至4级COPD患者中(平均[标准差]年龄,65[8]岁;1396例男性[60.9%]),第一秒用力呼气量的平均(标准差)估计值为52.5%(18.6%)。GOLD的ECOPD病史类别估计中度和重度ECOPD的AUROC分别为0.63(95%置信区间,0.60 - 0.65)和0.62(95%置信区间,0.58 - 0.66)。既往12个月内单次中度ECOPD更准确地估计了未来中度和重度ECOPD(AUROC,0.66;95%置信区间,0.64 - 0.69),与GOLD一致,既往12个月内单次重度ECOPD估计中度和重度ECOPD(AUROC,0.63;95%置信区间,0.60 - 0.67)。4年死亡率为219例患者(9.6%)。与无既往ECOPD的患者相比,既往12个月内有3次或更多次中度ECOPD(比值比,2.18;95%置信区间,1.27 - 3.72)或1次或更多次重度ECOPD(比值比,1.57;95%置信区间,1.29 - 1.91)的患者死亡可能性更大。

结论和相关性

本研究结果表明GOLD的ECOPD病史类别估计性能有限。提出了新的临界值,根据既往12个月内有1次或更多次中度ECOPD、1次或更多次重度ECOPD或两者兼有的病史,将患者分类为无急性加重或有高危急性加重。

https://cdn.ncbi.nlm.nih.gov/pmc/blobs/a99d/11656261/77000ae96abb/jamanetwopen-e2445488-g001.jpg

文献检索

告别复杂PubMed语法,用中文像聊天一样搜索,搜遍4000万医学文献。AI智能推荐,让科研检索更轻松。

立即免费搜索

文件翻译

保留排版,准确专业,支持PDF/Word/PPT等文件格式,支持 12+语言互译。

免费翻译文档

深度研究

AI帮你快速写综述,25分钟生成高质量综述,智能提取关键信息,辅助科研写作。

立即免费体验