Suppr超能文献

捷克共和国俄斯特拉发大学医院292例血液系统恶性肿瘤患者接种第三剂新冠mRNA疫苗后的免疫反应持续一年

One Year Duration of Immune Response Following a 3rd Booster Dose of mRNA Vaccine Against COVID-19 in 292 Patients With Hematological Malignancies in University Hospital Ostrava, Czech Republic.

作者信息

Šušol Ondrej, Šušolová Barbora, Klempíř Ondřej, Navrátil Milan, Gumulec Jaromír, Kořístek Zdeněk, Ďuraš Juraj, Kaščák Michal, Mihályová Jana, Stejskal Lukáš, Jelínek Tomáš, Richterová Petra, Szeligová Lenka, Plonková Hana, Zuchnická Jana, Dluhošová Barbora, Demel Ivo, Buffa David, Hradská Katarína, Popková Tereza, Muroňová Ludmila, Lachnit Martin, Lančová Klára, Hájek Roman

机构信息

Department of Haemato-Oncology, University Hospital Ostrava, Ostrava, Czech Republic.

Faculty of Medicine, University of Ostrava, Ostrava, Czech Republic.

出版信息

Cancer Med. 2024 Dec;13(24):e70503. doi: 10.1002/cam4.70503.

Abstract

AIMS

To evaluate antibody response to mRNA vaccine, identify subgroups with poor response and to determine long-term antibody durability in hematological patients.

MATERIALS AND METHODS

We have vaccinated 292 patients with all hematological malignancies with a third dose of mRNA COMIRNATY vaccine with a 12-month follow-up period in our center in Ostrava, Czech Republic.

RESULTS

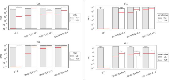
Antibody response for the whole cohort exceeded 74% through the whole 12-month follow-up. Lowest seroconversion was observed in CLL cohort (20/41, 48.8%), patients who received anti-CD20 therapy < 6 months before vaccination (8/30, 26.7%) and BTK inhibitors (3/6, 50.0%). On the contrary, patients with chronic myeloproliferative neoplasms and acute leukemia performed comparably with healthy population (33/33; 100% and 12/13; 92.3%, respectively). We have seen better results if the time interval between anti-CD20 therapy and additional vaccine dose was longer than 6 months (5/8 patients achieved seroconversion on 4th booster dose after previous failure). Also, 36 patients received a 4th dose of vaccine as a booster with measurable increase in protective antibodies in 50% (18/36).

CONCLUSIONS

Additional doses show promise for a well-timed revaccination even in poor responders. To our knowledge, no study comparable to our work in terms of follow-up length, vaccine consistency or variety of hematological malignancies and/or treatment has been reported yet. Our findings shed more light on long-term antibody response to mRNA vaccines against SARS-CoV-2 in patients with hematological cancer and bring important data for the evaluation of possible vaccine failure and scheduling of subsequent doses.

摘要

目的

评估血液系统疾病患者对mRNA疫苗的抗体反应,识别反应较差的亚组,并确定长期抗体持久性。

材料与方法

我们在捷克共和国俄斯特拉发的中心为292例患有各种血液系统恶性肿瘤的患者接种了第三剂mRNA新冠疫苗,并进行了为期12个月的随访。

结果

在整个12个月的随访期间,整个队列的抗体反应超过74%。在慢性淋巴细胞白血病队列中观察到最低的血清转化率(20/41,48.8%),在接种疫苗前<6个月接受抗CD20治疗的患者中(8/30,26.7%)以及接受布鲁顿酪氨酸激酶(BTK)抑制剂治疗的患者中(3/6,50.0%)。相反,慢性骨髓增殖性肿瘤和急性白血病患者的表现与健康人群相当(分别为33/33;100%和12/13;92.3%)。如果抗CD20治疗与额外疫苗剂量之间的时间间隔超过6个月,我们看到了更好的结果(5/8例患者在先前失败后于第4剂加强免疫时实现血清转化)。此外,36例患者接受了第4剂疫苗作为加强免疫,50%(18/36)的患者保护性抗体有可测量的增加。

结论

即使对于反应较差的患者,额外剂量的疫苗对于适时重新接种也显示出前景。据我们所知,尚未有在随访时长、疫苗一致性或血液系统恶性肿瘤和/或治疗种类方面与我们的研究相当的研究报告。我们的研究结果进一步揭示了血液系统癌症患者对针对SARS-CoV-2的mRNA疫苗的长期抗体反应,并为评估可能的疫苗失败和后续剂量安排带来了重要数据。

https://cdn.ncbi.nlm.nih.gov/pmc/blobs/aec2/11664122/11cc2af0f94c/CAM4-13-e70503-g004.jpg

文献AI研究员

20分钟写一篇综述,助力文献阅读效率提升50倍。

立即体验

用中文搜PubMed

大模型驱动的PubMed中文搜索引擎

马上搜索

文档翻译

学术文献翻译模型,支持多种主流文档格式。

立即体验