Suppr超能文献

慢性不完全性脊髓损伤后高剂量睾酮联合非那雄胺对肌肉骨骼及身体成分的影响——一项随机、双盲、安慰剂对照的试点研究

Musculoskeletal and body composition response to high-dose testosterone with finasteride after chronic incomplete spinal cord injury-a randomized, double-blind, and placebo-controlled pilot study.

作者信息

Otzel Dana M, Nichols Larissa, Conover Christine F, Marangi Stephen A, Kura Jayachandra R, Iannaccone Dominic K, Clark David J, Gregory Chris M, Sonntag Christopher F, Wokhlu Anita, Ghayee Hans K, McPhaul Michael J, Levy Charles E, Plumlee Charles A, Sammel Robert B, White Kevin T, Yarrow Joshua F

机构信息

Brain Rehabilitation Research Center, Malcom Randall Department of Veterans Affairs Medical Center, North Florida/South Georgia Veterans Health System, Gainesville, FL, United States.

Department of Physiology & Aging, University of Florida College of Medicine, Gainesville, FL, United States.

出版信息

Front Neurol. 2024 Dec 11;15:1479264. doi: 10.3389/fneur.2024.1479264. eCollection 2024.

Abstract

BACKGROUND

High-dose testosterone replacement therapy (TRT), paired with finasteride (type II 5α-reductase inhibitor), improves body composition, muscle strength, and bone mineral density (BMD) in older men, without inducing prostate enlargement-a side effect associated with TRT. Men with spinal cord injury (SCI) exhibit neuromuscular impairment, muscle atrophy, bone loss, and increased central adiposity, along with low testosterone. However, sparse evidence supports TRT efficacy after SCI.

METHODS

This parallel-group, double-blind, placebo-controlled, and randomized clinical trial (RCT) is a pilot study that enrolled men ( = 12) with low to low-normal testosterone and gait impairments after chronic motor-incomplete SCI. Participants received high-dose intramuscular TRT (testosterone-enanthate, 125 mg/week) with finasteride (5 mg/day) vs. vehicle+placebo for 12 months. Change relative to baseline was determined for body composition, musculoskeletal outcomes, and prostate size, with effect sizes calculated between groups using Hedges' . Adverse events and feasibility were assessed.

RESULTS

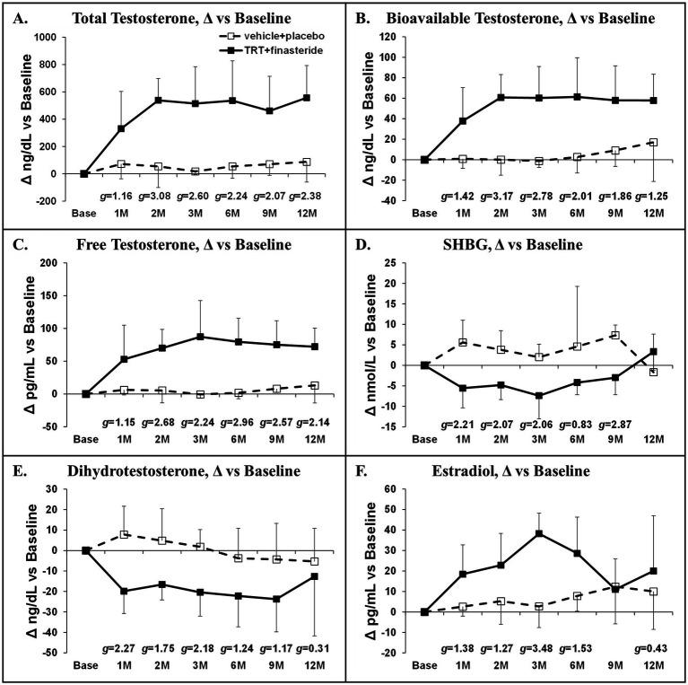
TRT + finasteride consistently increased testosterone ( = 1.16-3.08) and estradiol ( = 0.43-3.48), while concomitantly reducing dihydrotestosterone ( = 0.31-2.27). Very large effect sizes at both 6 and 12 months suggest TRT + finasteride increased whole-body fat-free (lean) mass (+3-4% vs. baseline,  = 2.12-2.14) and knee extensor (KE) whole-muscle cross-sectional area (+8-11% vs. baseline,  = 2.06-2.53) more than vehicle+placebo. Moderate-to-large effect sizes suggest TRT + finasteride increased KE maximal voluntary isometric torque (+15-40% vs. baseline,  = 0.47-1.01) and femoral neck and distal femur BMD from 6 months onward ( = 0.51-1.13), compared with vehicle+placebo, and reduced fat mass 9-14% within the whole-body, trunk, and android (visceral) regions at 12 months ( = 0.77-1.27). TRT + finasteride also produced small effect sizes favoring lesser prostate growth than vehicle+placebo ( = 0.31-0.43). The participant retention, drug compliance, and incidence and severity of adverse events were similar among the groups.

CONCLUSION

These data provide proof-of-concept and rationale for larger RCTs aimed at discerning the impact of TRT + finasteride on body composition, musculoskeletal health, and physical function in men with SCI, along with effect sizes and variance of responses to assist in planning subsequent trials.

CLINICAL TRIAL REGISTRATION

ClinicalTrials.gov, identifier NCT02248701.

摘要

背景

高剂量睾酮替代疗法(TRT)联合非那雄胺(II型5α-还原酶抑制剂)可改善老年男性的身体成分、肌肉力量和骨矿物质密度(BMD),且不会引起前列腺肿大——这是与TRT相关的一种副作用。脊髓损伤(SCI)男性存在神经肌肉功能障碍、肌肉萎缩、骨质流失和中心性肥胖增加,同时睾酮水平较低。然而,支持SCI后TRT疗效的证据稀少。

方法

这项平行组、双盲、安慰剂对照的随机临床试验(RCT)是一项试点研究,纳入了12名慢性运动不完全性SCI后睾酮水平低至低正常且存在步态障碍的男性。参与者接受高剂量肌肉注射TRT(庚酸睾酮,125mg/周)联合非那雄胺(5mg/天),与赋形剂+安慰剂进行对比,为期12个月。测定相对于基线的身体成分、肌肉骨骼指标和前列腺大小的变化,并使用Hedges' 计算组间效应量。评估不良事件和可行性。

结果

TRT联合非那雄胺持续增加睾酮(=1.16 - 3.08)和雌二醇(=0.43 - 3.48),同时降低双氢睾酮(=0.31 - 2.27)。6个月和12个月时的非常大的效应量表明,TRT联合非那雄胺比赋形剂+安慰剂更能增加全身无脂肪(瘦)体重(比基线增加3 - 4%,=2.12 - 2.14)和膝伸肌(KE)全肌肉横截面积(比基线增加8 - 11%,=2.06 - 2.53)。中度至大的效应量表明,与赋形剂+安慰剂相比,TRT联合非那雄胺从6个月起增加KE最大自主等长扭矩(比基线增加15 - 40%,=0.47 - 1.01)以及股骨颈和股骨远端BMD(=0.51 - 1.13),并在12个月时使全身、躯干和男性型(内脏)区域的脂肪量减少9 - 14%(=0.77 - 1.27)。TRT联合非那雄胺还产生了较小的效应量,表明其前列腺生长小于赋形剂+安慰剂(=0.31 - 0.43)。各组间的参与者保留率、药物依从性以及不良事件的发生率和严重程度相似。

结论

这些数据为更大规模的RCT提供了概念验证和理论依据,旨在确定TRT联合非那雄胺对SCI男性身体成分、肌肉骨骼健康和身体功能的影响,以及效应量和反应差异,以协助规划后续试验。

临床试验注册

ClinicalTrials.gov,标识符NCT02248701。

https://cdn.ncbi.nlm.nih.gov/pmc/blobs/d5de/11668665/285d428fb5c4/fneur-15-1479264-g001.jpg

文献检索

告别复杂PubMed语法,用中文像聊天一样搜索,搜遍4000万医学文献。AI智能推荐,让科研检索更轻松。

立即免费搜索

文件翻译

保留排版,准确专业,支持PDF/Word/PPT等文件格式,支持 12+语言互译。

免费翻译文档

深度研究

AI帮你快速写综述,25分钟生成高质量综述,智能提取关键信息,辅助科研写作。

立即免费体验